Численное моделирование процесса тепломассообмена в вихревой трубке Ранка-Хилша
Автор: Гафуров М.М., Кулагина Т.А., Пьяных Т.А.
Журнал: Журнал Сибирского федерального университета. Серия: Техника и технологии @technologies-sfu
Рубрика: Исследования. Проектирование. Опыт эксплуатации
Статья в выпуске: 2 т.19, 2026 года.
Бесплатный доступ
В настоящее время остро стоящий вопрос о загрязнении окружающей среды в различных областях промышленности требует усовершенствования ныне действующих технологических процессов, производств и оборудования, а также внедрения новых наукоемких технологий. Результаты проведенных нами исследований позволяют утверждать, что снижение выбросов в окружающую среду и увеличение эффективности производства возможно на базе вихревого эффекта, открытого инженером Ж. Ранком в 1920 году. Показано, что вихревая трубка Ранка-Хилша является перспективным устройством, внедряемым в различные отрасли промышленности.
Вихревая труба, температурное разделение, численное моделирование
Короткий адрес: https://sciup.org/146283262
IDR: 146283262 | УДК: 536.24:532.517.4:519.87
Numerical Simulation of Heat and Mass Transfer in a Ranque-Hilsch Vortex Tube
The pressing issue of environmental pollution in various industrial sectors currently requires the improvement of existing technological processes, production facilities, and equipment, as well as the implementation of new high-tech technologies. The results of our research suggest that reducing environmental emissions and increasing production efficiency are possible using the vortex effect, discovered by engineer J. Ranque in 1920. It is demonstrated that the Ranque-Hilsch vortex tube is a promising device for implementation in various industries.
Текст научной статьи Численное моделирование процесса тепломассообмена в вихревой трубке Ранка-Хилша
Цитирование: Гафуров М. М. Численное моделирование процесса тепломассообмена в вихревой трубке Ранка-Хилша / М. М. Гафуров, Т. А. Кулагина, Т. А. Пьяных // Журн. Сиб. федер. ун-та. Техника и технологии, 2026, 19(2). С. 164–171. EDN: HLAEGS вихревой постановке в модели RNG k-ε (+SDF), среда представляет собой идеальный вязкий сжимаемый газ.
Математическая постановка задачи
Уравнение неразрывности:
дри 1 dpvr дх г dr '
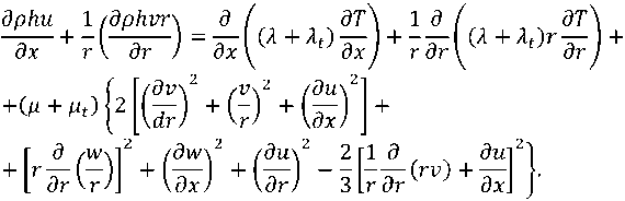
Уравнение изменения импульса в продольном направлении, описанное С. Г. Черным и др. [20]:
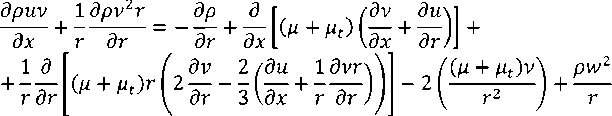
Уравнение изменения импульса в радиальном направлении [20] в виде:
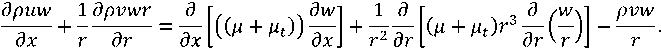
Уравнение изменение импульса в окружном направлении [20]:
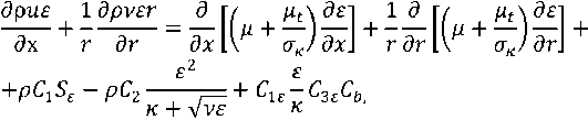
Уравнение изменения энергии, приведенное в [21] к виду:
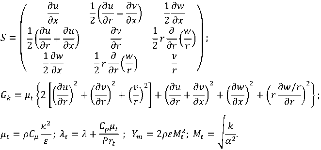
Уравнение изменения кинетической энергии турбулентных пульсаций, приведенное Кузь-
миновым А. В. в [22]:
дрик Idpvkr д г/ pt\dki 1 9 г/ РЛ дк дх г дг дх akJ dxi г dr L\ ак/ dr
+ Gk + Gb ~ P£ ~ Ym-
Уравнение изменения скорости диссипации турбулентной энергии:
u2 +v2
где – h — CpT 4--—--
Математическая поставка двумерной модели рассматривается при следующих граничных условиях:
– на оси симметрии ставятся условие симметрииv=O,v = O, где ср = (p, p, U, W, £, k) , dr
– на стенках вихревой трубы задается условие прилипания V = 0,
– на выходе из вихревой трубы задается статическое давление, равное атмосферному, p = patm = 101325 Па и дополнительно условие радиального распределения давления dP pw2 dr r
– на входе в вихревую трубу задается полное давление P — Pin и задается направление потока через направляющие косинусы. Также задаются интенсивность турбулентных пульсаций и гидравлический диаметр.
Решение системы уравнений осуществлялось при помощи метода конечных объемов. Для аппроксимации конвективных потоков использовалась неявная схема первого порядка точности с применением метода Roe FDS для нахождения основных газодинамических потоков на гранях ячеек.
Анализ результатов исследования
На рис. 1а, б, в, г отображены поля скорости при подаче в трубку сжатого газа с тангенциальным углом закрутки и различным давлением. Закрученный пристеночный поток движется в противоположную сторону до клапана на горячем конце трубки, где часть газа выходит через сопло, другая часть в точке застоя вблизи клапана образует приосевой поток, движущийся в обратную сторону. Видно, что скорость приосевого потока ниже периферийного. Ближе к холодному концу трубки в области сопла происходит явное изменение поля при различных показаниях давления на входе. Можно отметить, что при повышении давления с 4 бар до 4,5 бар и 5 бар происходит не только изменение поля, но и частичное изменение скорости, ярко выраженное на рис. 1б.
Вследствие наличия генератора с шестью форсунками течение более симметричное по оси, однако при изменении давления на входе в трубку происходит изменение полей в областях горячего и холодного концов трубок, в продольном сечении трубки видна зависимость температуры от давления на входе (рис. 2).
Рис. 1. Поле скоростей: а – при давлении 3 бар, б – 4 бар, в – 4,5 бар, г – 5 бар
Fig. 1. Velocity field: a – under pressure 3 bar, b – 4 bar, c – 4.5 bar, d – 5 bar
Рис. 2. Поле полной температуры: а – 3 бар, б – 4 бар, в – 4,5 бар, г – 5 бар
Fig. 2. Full temperature field: a – 3 bar, b – 4 bar, c – 4.5 bar, d – 5 bar
Рис. 3. Поле абсолютного давления: а – 3 бар, б – 4 бар, в – 4,5 бар, г – 5 бар
Fig. 3. Absolute pressure field: a – 3 bar, b – 4 bar, c – 4.5 bar, d – 5 bar
Изменение полей абсолютного давления на рис. 3 отчетливо выделяется изменением на холодном конце трубки при всех показателях давления на входе. При показателях 4,5 бар на входе в трубку в продольном сечении трубки вблизи оси, при дальнейшем увеличении показателей давления на входе поле изменяется, как и при показаниях давления 3, 4 бара.
Выводы
Произведено численное моделирование двумерного течения в двухпоточной ВТРХ при помощи пакета программ ANSYS FLUENT. Получены результаты, подтверждающие эффект температурного разделения. Пакет программ позволяет рассчитать некоторые параметры: температура потоков воздуха на выходе, распределение полей температуры, скорости потока и абсолютного давления. Показана зависимость температуры на выходе от давления на входе в трубку. Отмечается неустойчивое течение потоков.