Численный анализ визуальной сложности архитектурной среды: поиск параметров, ассоциирующихся с психологическим комфортом
Автор: Э.К. Базарина, Т.А. Степанова
Журнал: Вестник Красноярского государственного педагогического университета им. В.П. Астафьева @vestnik-kspu
Рубрика: Психология личности
Статья в выпуске: 1 (75), 2026 года.
Бесплатный доступ
Постановка проблемы. В статье анализируется проблема негативного воздействия современной городской архитектурной среды на психоэмоциональное состояние человека. Несмотря на субъективные жалобы на однообразие, скуку и стресс в спальных районах, объективные, измеримые критерии, объясняющие эти эффекты с позиций психологии восприятия, до сих пор отсутствуют. Это затрудняет создание психологически комфортной визуальной среды. Цель статьи – провести сравнительный анализ объективных параметров визуальной сложности различных архитектурных стилей и природных ландшафтов для выявления численных характеристик, которые ассоциируются с визуальным комфортом на основе эволюционно сформированных механизмов восприятия. Исследование направлено на объективацию связи между формальными свойствами архитектуры и потенциальным психоэмоциональным воздействием, что создает основу для последующих экспериментальных работ. Методология и методы исследования. Методологическую основу исследования составляют положения нейроэстетики и психологии восприятия (С. Зеки, К. Фристон), объясняющие процесс восприятия как активное предсказание и минимизацию информационной неопределенности, а также теория биофилии (Э.О. Уилсон) и концепция предпочтения среды саванны (Г. Орианс), постулирующие врожденную связь человека с природными паттернами. Результаты исследования. Статистический анализ (ANOVA) выявил достоверные различия между группами изображений по ключевым параметрам. Установлено, что классическая архитектура XIX в. и биоурбанистическая архитектура по большинству параметров статистически не отличаются от природных ландшафтов, что свидетельствует об их потенциально высокой психологической комфортности. В отличие от них, архитектура XX и XXI вв. демонстрирует значимые отклонения: для панельных домов характерно резкое снижение вариабельности (визуальное однообразие), а для современной архитектуры – высокие значения плотности углов и цветовой энтропии, что создает повышенную когнитивную нагрузку и перенапряжение зрительной системы. Заключение. Предложенный подход на основе вычисляемых параметров визуальной сложности позволяет объективизировать связь между архитектурной средой и психоэмоциональным состоянием. Полученные данные могут быть использованы в психологии среды, градостроительстве и архитектурной практике для проектирования пространств, способствующих психическому благополучию человека. На основе выявленных закономерностей можно разработать программный плагин для сред проектирования, который в реальном времени будет оценивать визуальную сложность проекта и давать рекомендации по ее оптимизации.
Визуальное восприятие, психоэмоциональное состояние, нейроархитектура, визуальная сложность, психология среды, биофилия, психология восприятия, городская среда
Короткий адрес: https://sciup.org/144163666
IDR: 144163666 | УДК: 159.937.5
Numerical analysis of visual complexity of architectural environments: searching for parameters associated with psychological comfort
Statement of the problem. This article analyzes the negative impact of the modern urban architectural environment on a person’s psycho-emotional state. Despite subjective complaints of monotony, boredom, and stress in residential areas, objective, measurable criteria explaining these effects from a perceptual psychology perspective remain absent. This complicates the creation of a psychologically comfortable visual environment. The purpose of this article is to conduct a comparative analysis of the objective parameters of visual complexity across various architectural styles and natural landscapes to identify the numerical characteristics associated with visual comfort based on evolutionarily shaped perceptual mechanisms. The study aims to objectify the relationship between the formal properties of architecture and its potential psycho-emotional impact, thereby laying the foundation for subsequent experimental studies. Research methodology and methods. The methodological basis of the study is based on principles of neuroaesthetics and the psychology of perception (S. Zeki, K. Friston), which explain the process of perception as active prediction and minimization of informational uncertainty. It also draws on the theory of biophilia (E.O. Wilson) and the concept of savannah environment preference (G. Orians), which postulate an innate human connection with natural patterns. Research results. Statistical analysis (ANOVA) revealed significant differences between image groups across key parameters. It was found that classical 19th-century architecture and biourban architecture are statistically indistinguishable from natural landscapes across most parameters, indicating their potential for high psychological comfort. In contrast, 20th – and 21st-century architecture exhibits significant deviations: panel buildings are characterized by a sharp decrease in variability (visual monotony), while modern architecture exhibits high values of angular density and color entropy, creating increased cognitive load and strain on the visual system. Conclusion. The proposed approach, based on calculated visual complexity parameters, allows us to objectify the relationship between the architectural environment and psycho-emotional state. The obtained data can be used in environmental psychology, urban planning, and architectural practice to design spaces that promote human mental well-being. Based on the identified patterns, a software plugin for design environments can be developed that will evaluate a project’s visual complexity in real time and provide recommendations for its optimization.
Текст научной статьи Численный анализ визуальной сложности архитектурной среды: поиск параметров, ассоциирующихся с психологическим комфортом
Базарина Эрна Кирилловна – студентка института психолого-педагогического образования, Красноярский государственный педагогический университет им. В.П. Астафьева; ORCID: ; e-mail:
Степанова Татьяна Анатольевна - кандидат педагогических наук, доцент кафедры информатики и информационных технологий в образовании, Красноярский государственный педагогический университет им. В.П. Астафьева; ORCID: ; Scopus Author 57195938699; e-mail:
П остановка проблемы. Городская среда является постоянным визуальным окружением, формирующим текущее эмоциональное состояние и оказывающим влияние на личность в целом [Abdelmoula, Abdelmoula, 2023; Гордеева, Мухитов, 2022; Burtan et al., 2023]. В этом контексте особую актуальность приобретает изучение объективных измеримых факторов окружающей среды, оказывающих влияние на психоэмоциональное состояние человека.
Обзор научной литературы. Недавно появившееся направление «нейроархитектура» (или «нейроурбанизм») изучает нейрофизиологические основы восприятия архитектуры [de Paiva, 20181; Abbas et al., 2024, Appleton, 1996; Ding, Cui, 2018]. Восприятие архитектуры - мультисенсор-ный процесс, вовлекающий не только зрение, но и другие модальности [Higuera-Trujillo et al., 2021]. Однако визуальный канал остается ключевым.
Современная архитектура, особенно спальные районы с застройкой XX-XXI вв., часто критикуется за вызываемые ею негативные состояния: скуку, однообразие, тактильную бесплодность и сенсорную депривацию [Sennett, 1994]. Основная проблема заключается в субъективности таких оценок и отсутствии измеримых критериев, объясняющих, почему одни стили воспринимаются как красивые и гармоничные, а другие – как уродливые и угнетающие.
С позиций психологии личности устойчивое взаимодействие человека с окружающей средой не только формирует ситуативные эмоциональные состояния, но и затрагивает глубокие личностные структуры: самооценку, чувство идентичности, общий уровень субъективного благополучия [Ермолова, Юстус, 2022; Леонтьев и др., 2011]. Городская среда постоянно оказывает имплицитное влияние на человека, создавая соответствующие психологические установки о хаосе и угрозе или безопасности и порядке [Sargolini et al., 2025]. Однако восприятие этих «сообщений» не универсально, а опосредовано
2 de Paiva, A. (2018, march 4). 12 principles of NeuroArchitec ture and NeuroUrbanism // NeuroAU. The NeuroArchitectur cite. URL: (дата обращения: 15.12.2025).
индивидуально-психологическими особенностями, такими как уровень нейротизма, открытость новому опыту, когнитивным стилем или потребностью в структурированности информации [Frolova, 2025]. Таким образом, проблема влияния архитектуры на человека приобретает личностно-опосредованный характер, требующий учета как объективных параметров среды, так и субъективных, устойчивых особенностей индивида.
С точки зрения современной нейронауки мозг является «машиной предсказаний», стремящейся минимизировать информационную энтропию [Holmes, 2022]. Согласно Шмидхуберу [Zhao et al., 2025], эстетическое чувство возникает в момент снижения сложности воспринимаемого образа за счет выявления в нем закономерностей. Сложность изображения в широком смысле можно определить как количество и разнообразие информации, в нем содержащейся [McCormack, Gambardella, 2022]. Теория Бер-лайна [Berlyne, 1970] постулирует предпочтение промежуточных уровней сложности [Dehaene et al., 2021]. В контексте психологии среды теория биофилии [Wilson, 1984] утверждает, что человек подсознательно предпочитает среды, напоминающие природные, в которых формировалась наша видовая сенсорная система [Chatterjee, 2020; Orians, 1980; Marete, 2025].
Теоретическое обоснование анализа визуальной сложности. В качестве центрального объективного параметра для анализа архитектурной среды в данном исследовании выбрана визуальная сложность. Данный выбор имеет комплексное теоретическое обоснование на стыке нейронауки, психологии восприятия и эволюционной психологии.
С позиций нейроэстетики и теории предсказывающего мозга мозг функционирует как система, стремящаяся минимизировать ошибку предсказания (свободную энергию) при обработке сенсорных сигналов [Holmes, 2022]. Восприятие, в том числе эстетическое, связано с процессом успешного сжатия сенсорных данных и выявления в них закономерностей [Zhao et al., 2025; Zeki, 1999]. Визуальная сложность в этом
контексте может быть интерпретирована как мера непредсказуемости и информационной энтропии стимула, которая напрямую определяет когнитивные усилия, необходимые для его обработки. Оптимальные (не чрезмерные и не недостаточные) уровни сложности соответствуют эффективному протеканию этого процесса, что субъективно переживается как предпочтение, интерес или чувство красоты [Berlyne, 1970].
В рамках психологии восприятия и психологии среды, сложность является одной из ключевых формальных характеристик, определяющих психологическое воздействие окружения. Классические работы Д.Е. Берлайна по «новизне, сложности и гедонической ценности» установили связь между объективными параметрами стимула (сложность, неопределенность) и эмоционально-оценочными реакциями человека [Berlyne, 1970].
С точки зрения эволюционного подхода (теория биофилии) наша зрительная система адаптирована к обработке паттернов естественной среды, в которой она формировалась [Wilson, 1984; Orians, 1980]. Природные ландшафты обладают статистически измеримыми свойствами, такими как фрактальная структура и определенные распределения контуров и цветов [Redies et al., 2025]. Предполагается, что среды, чья сложность приближается к природной, будут восприниматься как более комфортные и менее стрессовые.
Цель исследования – провести сравнительный анализ объективных параметров визуальной сложности различных архитектурных стилей и природных ландшафтов для выявления численных характеристик, которые делают архитектурную среду визуально комфортной и близкой к естественной, эволюционно предпочитаемой среде обитания человека.
Методология исследования. Методологическую основу исследования составляют положения нейроэстетики и психологии восприятия (С. Зеки, К. Фристон), объясняющие процесс восприятия как активное предсказание и минимизацию информационной неопределенности, а также теория биофилии (Э.О. Уилсон) и концепция предпочтения среды саванны (Г. Орианс), постулирующие врожденную связь человека с природными паттернами.
Материалы и процедура. Для анализа были сформированы 5 групп визуальных стимулов (по 25 изображений в каждой): 1) архитектура XIX – начала XX в. (классическая); 2) панельные дома 2-й половины XX в.; 3) современная «яркая» архитектура XXI в.; 4) биоурбанистическая архитектура; 5) природные ландшафты (контрольная группа). Примеры изображений каждой из групп приведены в табл. 1. Изображения архитектурных объектов были получены методом случайной выборки из открытых онлайн-источников по соответствующим запросам, что обеспечило репрезентативность стилей. Изображения природных ландшафтов отобраны случайным образом из датасета Landscape Pictures.
Параметры анализа. Для каждого изображения с помощью библиотеки AestheticsToolbox в среде Python 3.12 были вычислены пять объективных параметров визуальной сложности, имеющих нейрофизиологическое обоснование.
Общая сложность (Complexity) – на основе яркостных и цветовых градиентов (HOG), отражает общее количество визуальной информации.
Вариабельность (Variability) – уровень самоподобия изображения на основе активации CNN (AlexNet), низкие значения указывают на монотонность.
Плотность углов (Edge Density) – количество угловых элементов (фильтры Габора), коррелирует с когнитивной нагрузкой на зрительную систему.
Фрактальная размерность (Fractal Dimension) – мера самоподобия и масштабной инвариантности, характерная для природных сцен и эстетически предпочитаемых артефактов.
Цветовая энтропия (Color Entropy) – мера разнообразия и непредсказуемости распределения цветовых оттенков (энтропия Шеннона).
Статистический анализ. Для оценки достоверности различий между группами по каждому параметру был применен однофакторный дисперсионный анализ (ANOVA) с последующим попарным сравнением. Уровень статистической значимости был установлен на p < 0.05.
Таблица 1
Примеры изображений каждой из архитектурных групп
Table 1
Examples of images of each architectural group
Группа
Архитектура XIX – начала XX в. (XIX)
Пример изображения
Группа
Пример изображения
Панельные дома 2-й половины XX в. (XX)
Образцы «яркой» современной архитектуры (XXI)
Природные ландшафты (land)
Для каждого изображения в среде Python 3.12 с использованием библиотеки AestheticsToolbox [Redies et al., 2024] были вычислены пять параметров визуальной сложности.
Сложность – на основе яркостных и цветовых градиентов (HOG) [Minshan et al., 2025].
Вариабельность – уровень самоподобия на основе активации сверточных фильтров AlexNet [Brachmann et al., 2017].
Плотность углов – количество угловых элементов (с помощью фильтров Габора).
Фрактальная размерность – мера самоподобия и масштабной инвариантности [Bies et al., 2016; Redies et al., 2025].
Цветовая энтропия – мера разнообразия распределения цветовых оттенков (энтропия Шеннона) [Hannah et al., 2022].
Биоурбанисти-ческая архитектура (bio)
Статистическая обработка данных включала попарное сравнение групп изображений по каждому параметру с использованием однофакторного дисперсионного анализа (ANOVA) с последующей оценкой достоверности различий (p < 0.05).
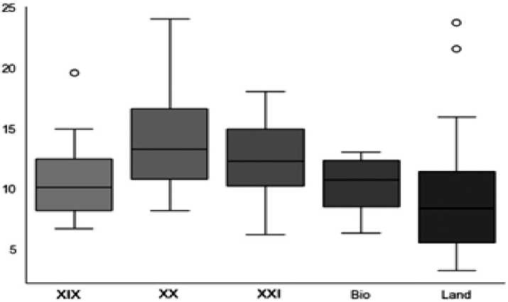
На рис. 1 представлена диаграмма сравнения анализируемых групп изображений по параметру «сложность». Как указывалось ранее, данный параметр характеризует количество информации, содержащееся в изображении, что непосредственно связано с когнитивными затратами на его восприятие.
В табл. 2 приведены результаты расчета достоверности различий между группами изображений по параметру «сложность». Указаны величины p-значения. Отличия считаем достоверными при p<0,05.
КРАСНОЯРСКОГО ГОСУДАРСТВЕННОГО
ПЕДАГОГИЧЕСКОГО УНИВЕРСИТЕТА им. В.П. АСТАФЬЕВА
Рис. 1. Группы изображений по параметру «сложность»
Fig. 1. Groups of images by complexity parameter
Таблица 2
Достоверность отличий (р) по параметру «сложность»
Reliability of differences (p) by the complexity parameter
3.0
1.0
XIX XX
XXI Bio
Land
Table 2
|
Сложность |
XIX |
XX |
XXI |
Bio |
Land |
|
XIX |
– |
0,0463 |
0,1843 |
0,5544 |
0,3465 |
|
XX |
– |
0,3096 |
0,0078 |
0,0050 |
|
|
XXI |
– |
0,0299 |
0,0366 |
||
|
Bio |
– |
0,5704 |
|||
|
Land |
– |
1e-5
Рис. 2. Группы изображений по параметру «вариабельность»
Fig. 2. Groups of images by the variability parameter
На рис. 2 представлена диаграмма сравнения анализируемых групп изображений по параметру «вариабельность», который характеризует степень разнообразия элементов изображения. Достоверность различий между группами изображений по данному параметру (p value) представлена в табл. 3.
Параметр плотности углов (рис. 3) описывает визуальную сложность – количество границ, переходов, углов, которые необходимо обработать зрительной системе для восприятия изображения. Классическая архитектура наравне с классической живописью характеризуются умеренными значениями данного параметра. Тем не менее даже для этих образцов эстетики параметр остается достоверно выше, чем в естественной среде, что обусловливает повышенную визуальную сложность городского окружения. Достоверность отличий между группами по данному параметру представлена в табл. 4.
Достоверность отличий (р) по параметру «вариабельность»
Таблица 3
Table 3
Reliability of differences (p) for the “variability” parameter
|
Вариабельность |
XIX |
XX |
XXI |
Bio |
Land |
|
XIX |
1,0000 |
0,0000 |
0,7812 |
0,4531 |
0,7697 |
|
XX |
1,0000 |
0,0000 |
0,0000 |
0,0000 |
|
|
XXI |
1,0000 |
0,3444 |
0,9767 |
||
|
Bio |
1,0000 |
0,2816 |
|||
|
Land |
1,0000 |
Рис. 3. Группы изображений по параметру «плотность углов» Fig. 3. Groups of images by the corner density parameter
Достоверность отличий (р) по параметру «плотность углов»
Table 4
Reliability of differences (p) by the angle density parameter
|
Плотность углов |
XIX |
XX |
XXI |
Bio |
Land |
|
XIX |
1,0000 |
0,0723 |
0,0024 |
0,0934 |
0,0000 |
|
XX |
1,0000 |
0,3092 |
0,4905 |
0,0000 |
|
|
XXI |
1,0000 |
0,0404 |
0,0000 |
||
|
Bio |
1,0000 |
0,0000 |
|||
|
Land |
1,0000 |
Таблица 4
Следующий параметр – фрактальная размерность (рис. 4). Как в природной среде, так и в художественных композициях обычно наблюдается, что соседние регионы демонстрируют большее сходство в своих пространственных характеристиках – текстурах, цветах, ориентации. Эти паттерны тесно связаны с такими понятиями, как масштабная инвариантность, самоподобие и фрактальное масштабирование. Масштабная инвариантность – это свойство объектов не изменяться при изменении их масштаба на определенную величину, т.е. при увеличении и уменьшении масштаба изображения. Самоподобие – это свойство, при котором форма состоит из частей, похожих на целое или друг на друга. Фрактальное масштабирование можно рассматривать как объединение масштабной инвариантности и самоподобия. Количественно оно определеляется как фрактальная размерность (D) [Bies et al., 2016; Redies et al., 2025]. Достоверность отличий (р) по параметру «фрактальная размерность» представлена в табл. 5.
Таблица 5
Достоверность отличий (р) по параметру «фрактальная размерность»
Reliability of differences (p) by the fractal dimension parameter
Table 5
|
Фрактальная размерность |
XIX |
XX |
XXI |
Bio |
Land |
|
XIX |
1,0000 |
0,0444 |
0,4546 |
0,8377 |
0,6509 |
|
XX |
1,0000 |
0,1013 |
0,0584 |
0,1893 |
|
|
XXI |
1,0000 |
0,5904 |
0,9161 |
||
|
Bio |
1,0000 |
0,7695 |
|||
|
Land |
1,0000 |
XIX XX XXI Bio Land
Рис. 4. Группы изображений по параметру «фрактальная размерность»
Fig. 4. Groups of images by the fractal dimension parameter
Параметр «цветовая энтропия» (рис. 5) четко демонстрирует, какое перенапряжение в системе визуального восприятия вызывает хаотичное «буйство красок» современной архитектуры спальных районов. Этот параметр в данном случае далеко превышает естественное распреде- ление цветов, а по эстетике данная архитектура недалеко ушла от фавелл. Визуальная система не ожидает, не настроена и не приспособлена к этому хаосу, что вызывает ее перманентное перенапряжение. Достоверность отличий (р) по параметру «цветовая энтропия» представлена в табл. 6.
Таблица 6
Достоверность отличий (р) по параметру «цветовая энтропия»
Reliability of differences (p) by the color entropy parameter
Table 6
|
Цветовая энтропия |
XIX |
XX |
XXI |
Bio |
Land |
|
XIX |
1,0000 |
0,2807 |
0,0000 |
0,5819 |
0,6535 |
|
XX |
1,0000 |
0,0022 |
0,5893 |
0,1538 |
|
|
XXI |
1,0000 |
0,0003 |
0,0001 |
||
|
Bio |
1,0000 |
0,3451 |
|||
|
Land |
1,0000 |
7.0
6.5
6.0
5.0
4.5
4.0
XIX XX XXI Bio Land
Рис. 5. Группы изображений по параметру «цветовая энтропия»
Fig. 5. Groups of images by the color entropy parameter
Результаты исследования. Установлено, что классическая архитектура XIX в. и биоур-банистическая архитектура по большинству параметров статистически не отличаются от природных ландшафтов, что свидетельствует об их потенциально высокой психологической комфортности. В отличие от них, архитектура XX и XXI вв. демонстрирует значимые отклонения: для панельных домов характерно резкое снижение вариабельности (визуальное однообразие), а для современной архитектуры – аномально высокие значения плотности углов и цветовой энтропии, что создает повышенную когнитивную нагрузку и перенапряжение зрительной системы.
Статистический анализ (ANOVA) выявил достоверные различия между группами изображений по ключевым параметрам.
Архитектура XIX в. и биоурбанистическая архитектура по большинству параметров (сложность, вариабельность, фрактальная размер- ность, цветовая энтропия) статистически не отличались от природных ландшафтов (p > 0.05). Единственное значимое отличие – повышенная плотность углов (p < 0,001 для XIX в. и p < 0.05 для Bio), что является неотъемлемой чертой рукотворных объектов. Это свидетельствует об их потенциально высокой визуальной и психологической комфортности, соответствующей эволюционно предпочитаемым паттернам.
Панельные дома XX в. показали резко сниженную вариабельность (p < 0,001), что отражает визуальное однообразие и повышенную общую сложность (p < 0,01). Такое сочетание создает монотонную, когнитивно неблагоприятную среду, которая с позиций психологии может способствовать состоянию монотонии и феномену выученной беспомощности [Dumlu et al., 2025], где невозможность найти в окружении разнообразие и смысловые ориентиры ведет к снижению внутреннего локуса контроля и мотивационной пассивности.
Современная архитектура XXI в. продемонстрировала отклонения: высокие значения плотности углов (p < 0,001) и цветовой энтропии (p < 0,001). Хаотичное нагромождение элементов и цветов создает перманентную когнитивную перегрузку, приводящую к перенапряжению зрительной системы.
С точки зрения теории нагрузки на внимание такая среда является фактором хронического стресса.
Сводные данные представлены в табл. 7, где указаны направленность и достоверность отклонений параметров архитектурных стилей от природных ландшафтов.
Таблица 7
Отличия параметров визуальной сложности архитектурных стилей от природных ландшафтов
Table 7
Differences in the visual complexity parameters of architectural styles and natural landscapes
|
Сложность |
Вариабельность |
Плотность углов |
Фрактальная размерность |
Цветовая энтропия |
|
|
XIX |
– |
– |
↑ |
– |
– |
|
XX |
↑↑ |
↓↓ |
↑ |
– |
– |
|
XXI |
↑ |
– |
↑↑ |
– |
↑↑ |
|
Bio |
– |
– |
↑ |
– |
– |