Features of Blood Crystallostasis Modulation by the Dinitrosyl Iron Complex: In vitro Study

Автор: A.K. Martusevich, L.K. Kovaleva, L.R. Dilenyan, A.V. Davydyuk, V.V. Kononets, E.G. Ivanova

Журнал: Журнал стресс-физиологии и биохимии @jspb

Статья в выпуске: 1 т.22, 2026 года.

Бесплатный доступ

The aim of the work was to evaluate the effect of free and deposited in the composition of dinitrosyl iron (DNIC) complexes of nitrogen monoxide on the crystallogenic properties and metabolic parameters of blood serum in vitro. Material and methods. The effect of various forms of nitric oxide (NO-containing gas mixtures from the Plason apparatus (initial or tenfold diluted gas flow – 80 and 800 ppm) and an experimental nitric oxide generator (20-100 ppm), glutathione-containing DNIC) on the crystallization of blood serum was studied in vitro. Shifts in the crystallogenic properties of biofluid were compared with changes in other physical and chemical parameters. Results. It has been shown that different forms of nitric oxide have different effects on the crystallogenic properties of blood serum in vitro, and the feature of the action of DNIC is the most pronounced stimulation of the structuring of biofluid (an increase in crystallizability by 1.28 times, and the structure index by 1.47 times), combined with a decrease in the destruction of elements (by 1.95 times) and an expansion of the marginal zone (in 1.56 times). It was revealed that these shifts correlate with the dynamics of other metabolic and physico-chemical parameters.

Еще

Nitric oxide, dinitrosyl iron complexes, crystallization, biocrystallomics

Короткий адрес: https://sciup.org/143185422

IDR: 143185422

Текст научной статьи Features of Blood Crystallostasis Modulation by the Dinitrosyl Iron Complex: In vitro Study

The discoverer of the physiologically deposited form of nitrogen monoxide, professor A.F. Vanin (2009), assumed the presence of numerous biological effects in dinitrosyl iron complexes (DNIC). It was DNIC that were first identified as a form of nitric oxide in biological systems in the first EPR experiments that demonstrated the presence of NO in various biological objects: yeast cells (Vanin et al. , 1963), muscle cells and neurocytes (Murad, 1994). At the same time, the effect of this particular substance on biological systems has been actively studied only in the last two decades.

It should be noted that DNIC are able to effectively interact with various substances that become their ligands (Giliano et al., 2011). The most common among them are thiol-containing compounds, in particular, glutathione or cysteine (Borodulin et al., 2013). Ligands determine the features of the additional effects of DNIC, determining the two-component nature of their activity, associated not only with the possibility of gradual or bolus release of nitric oxide, but also with the properties of functional groups of ligands (Vanin, 2009; Martusevich et al., 2013, 2014). Previously, bioregulatory properties were described for the compound in question, but the focus of these studies has shifted towards in vitro studies with isolated systems (Shumaev et al., 2004, 2006; Vanin, 2009; Vanin, Chazov, 2011). It should be noted that to a greater extent these studies relate to the disclosure of the effects of DNC on the state of pro- and antioxidant systems in a variety of biological and abiogenic systems, while much less attention is paid to the comparative analysis of the metabolic effects of various sources of nitrogen monoxide. In previous studies, our team compared these using the example of a number of indicators of blood energy metabolism (Martusevich et al., 2013), however, the response of biological fluid to treatment with NO or its donors should presumably be systemic in nature, but there is no information confirming this fact in the literature. In our opinion, experiments in blood samples conducted in vitro serve as a fairly convenient and visual model for demonstrating the considered conjugate metabolic effect of nitrogen monoxide on the biosystem. In this regard, the aim of the work was to evaluate the effect of free and deposited nitrogen monoxide in the composition of DNIC on the crystallogenic properties and metabolic parameters of blood serum in vitro.

MATERIALS AND METHOD

The experiments were performed on samples of whole preserved blood obtained from practically healthy donors (n=60). The effect of various forms of nitric oxide was studied (NO-containing gas mixtures from the Plason apparatus (initial or tenfold diluted gas flow – 80 and 800 ppm) and an experimental nitric oxide generator (20-100 ppm), glutathione-containing DNCs (injected intraperitoneally in 0.9% sodium chloride solution; the concentration of the compound is 0.30 mM, a single dose is 1.91 micrograms / g of animal weight). The processing time is 1 minute.

A comparative study of the crystallogenic properties of blood serum was performed in the samples. To obtain the biosubstrate facies, the micro-preparation was dehydrated in vivo without accelerating the crystallization process (temperature 18-20°C, humidity 50-70%). To describe the result of intrinsic crystallization of biosubstrates, a new system of criteria was used (Martusevich et al., 2022)., eliminating the dependence of the assessment on the type of biomaterial and specific structures of the facies. The main visuometric indicators evaluated on a point scale were crystallizability ("Cr" - reflects the quantitative side of crystallization, that is, the density of crystalline elements in the facies), the structure index ("SI" - characterizes the complexity of structure construction, from the most poorly organized amorphous bodies to branched dendritic polycrystals), the facia destruction degree ("FDD" - it is an indicator of the qualitative side of the process – the correctness of the formation of structures) and the severity of the marginal zone of the micropreparation ("Mz"; mainly protein macromolecules with native structure and conformation are concentrated in this zone). The assessment was carried out using 3 parallel facies, for which the values of the indicators were calculated in total. The entire facies area was analyzed, and the samples were photofixed using the Levenhuk complex.

To assess the state of oxidative blood metabolism, the intensity of lipid peroxidation (LPO) and the activity of the antioxidant system (AOA) were used, determined on a BHL-06 biochemiluminometer (Nizhny Novgorod) with the calculation of the area under the intensity curve, or the total light sum (LPO); the tangent of the angle of maximum inclination of the curve to the time axis (AOA). The level of malonic dialdehyde (MDA) in erythrocytes was determined using a test kit (AGAT CJSC, Russia).

LDH activity was used as a marker of the intensity of energy metabolism, and its orientation was judged by the ratio of the latter in direct (LDHdir) and reverse (LDHrev) reactions. LDH activity was determined in erythrocyte hemolysate in distilled water (1:40 by volume) according to the method of G.A. Kochetov (1980). The lactate level in erythrocytes was assessed using an automatic analyzer SuperGL Ambulance.

The pH, partial pressure of gases, concentration of basic plasma ions and acid-base equilibrium parameters were determined in blood plasma using an automatic analyzer ABL-77.

The calculations were performed using the SPSS 16.0 licensed program. The normality of the distribution of parameter values was evaluated using the Shapiro-Wilk criterion. Taking into account the nature of the distribution of the trait, the Student's T-test was used to assess the statistical significance of the differences.

RESULTS AND DISCUSSION

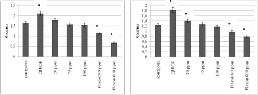
The study of the modification of the dehydration structuring of the biological fluid under consideration made it possible to reveal that the effect of nitrogen monoxide on the crystallogenic properties of blood serum is also directly determined by the concentration of NO and its form (free or deposited), as well as the presence of impurities of reactive oxygen species. At the same time, the most pronounced stimulating effect was revealed for the deposited form of nitric oxide – dinitrosyl iron complexes with glutathione ligands (Fig. 1).

Low concentrations of nitrogen monoxide have a modulating effect on the crystallogenic properties of human blood serum, and their effect is mainly realized in the modulation of protein properties. It has been established that the most optimal effect, manifested in the expansion of the marginal zone and the formation of regular centripetal faults in it, has a gas stream with a nitrogen oxide concentration of 20 ppm (Fig. 2B). On the contrary, high concentrations of NO contribute to the inhibition of the crystallogenic activity of the biological environment, repeatedly increasing the degree of destruction of the forming structural elements (Fig. 2A) and contributing to the formation of an additional band in the marginal zone of the micropreparation.

Studying the features of the coupling of the assessed indicators by calculating correlations between them and other physico-chemical parameters of the blood allowed us to demonstrate the presence of numerous relationships of varying strengths. Thus, the most distinct relationship was found between the parameters indicating the state of the blood's pro- and antioxidant systems and crystalloscopic parameters. In particular, the total antioxidant activity correlated with the structure index of and the facia destruction degree (the average strength relationship is r=0.61 and 0.58, respectively), as well as with the clearity of the marginal zone of the sample (weak but significant relationship is 0.39). The concentration of malonic dialdehyde in blood plasma also demonstrated the presence of correlations of average strength with the facia destruction degree and the formation of the marginal zone (r=0.72 and -0.62, respectively; p<0.05), and the crystallizability has a weak relationship approaching the average (r=0.47). The intensity of lipoperoxidation was associated with the severity of the marginal protein zone (r=0.58; p<0.05), as well as with the structure index and crystallizability of the biofluid (r=0.43 and 0.35, respectively; p<0.05 for both cases).

Less pronounced, but also numerous interdependencies have been established for the parameters of the energy metabolism of red blood cells and the physico-chemical parameters of blood in relation to its crystallogenic properties. At the same time, among the first group of indicators, the current lactate level in erythrocytes was of the greatest systemic importance, which showed a weak but statistically significant correlation with all the main criteria of the crystalloscopic test (p<0.05). In the second group of indicators, the redox potential of plasma turned out to be maximally related to the parameters of dehydration structuring. Its correlation coefficient with the structure index, crystallizability, and facia destruction degree was 0.34,

0.31, and -0.40, respectively (p<0.05 for all these cases). The pH of the blood plasma was associated only with the crystallizability and clearity of the marginal protein zone of the serum micropreparation (r=0.49 and 0.42, respectively; p<0.05 for both parameters).

A. Crystallizability

В. Structure index

Figure 1. The effect of various forms of nitric oxide on main parameters of own crystallization of blood serum in vitro ("*" - statistical significance of differences relative to the control sample p<0.05)

A. Facia destruction degree                                  B. Clearity of marginal zone

Figure 2. The effect of various forms of nitric oxide on additional parameters of own crystallization of blood serum in vitro ("*" - statistical significance of differences relative to the control sample p<0.05)

CONCLUSION

As a result of the study, it was shown that different forms of nitric oxide have an unequal effect on the crystallogenic properties of blood serum in vitro, and the feature of the action of DNIC is the most pronounced stimulation of the structuring of biofluid (an increase in crystallizability by 1.28 times, and the structure index – by 1.47 times), combined with a decrease in the destruction of elements (by 1.95 times) and an expansion the marginal zone (1.56 times). It was revealed that these shifts correlate with the dynamics of other studied metabolic and physico-chemical parameters. In general, the results of the our experimental studies in vitro, indicating not only the presence of shifts in individual parameters of metabolism and physico-chemical homeostasis of blood under the action of DNIC with glutathione ligands, clearly indicate the versatility and systemic response of the biological fluid to the studied effect. At the same time, the direction of changes in the indicators indicates the stabilizing nature of the identified response.

CONFLICTS OF INTEREST

The authors declares that they have no potential conflicts of interest.