Использование нового ор-ганического удобрения при выращивании картофеля (Solanum tuberosum L.) в центральном районе Нечерноземной зоны
Автор: Баматов И.М., Фомичева Н.В., Смирнова Ю.Д., Рабинович Г.Ю.
Журнал: Сельскохозяйственная биология @agrobiology
Рубрика: Стимуляция роста растений
Статья в выпуске: 1 т.61, 2026 года.
Бесплатный доступ
Картофель — крупнейшая в мире продовольственная культура. Для повышения ее урожайности все чаще используют органические удобрения, которые способны также улучшить качество клубней и повысить почвенное плодородие. Органические удобрения в большинстве случаев получают из отходов животноводства и птицеводства посредством их компостирования. Так, разработана технология получения жидких препаратов для растениеводства, в которой продукт ферментации (ПФ) торфонавозной смеси (Всероссийский НИИ мелиорированных земель — филиал ФИЦ Почвенный институт им. В.В. Докучаева) служит промежуточным звеном. ПФ имеет комплексный состав (содержит агрономически значимую микрофлору, макро- и микроэлементы), поэтому его исследовали в качестве самостоятельного удобрения. В настоящей работе впервые при выращивании картофеля доказана эффективность продукта ферментации, что позволяет считать его новым органическим удобрением и получать в качестве целевого продукта по разработанной технологии наряду с жидкими препаратами. Цель работы — изучить влияние нового органического удобрения ПФ на направленность микробиологических процессов в почве при выращивании картофеля, оценить его продуктивность и отдельные показатели качества. Полевой опыт проводили в 2022-2024 годах в Тверской области. Среднеспелый картофель сорта Скарб выращивали на легкосуглинистой дерново-подзолистой почве агрополигона Губино ВНИИМЗ (Калининский МО). В течение 3 лет полевой опыт закладывали в пределах одного участка, предшественник — яровая пшеница. Продукт ферментации вносили локально при посадке картофеля из расчета 2, 4, 6, 8 т/га. Контролем служили учетные делянки без внесения удобрений (б/у). Для сравнения использовали также учетные делянки с локальным внесением компоста многоцелевого назначения (КМН) (разработчик ВНИИМЗ). Чтобы оценить влияние органических удобрений на почвенную микрофлору под картофелем, из пахотного горизонта (0-20 см) асептически отбирали почвенные образцы в фазы всходов, цветения и начала отмирания ботвы. В образцах методом предельных разведений с высевом на плотные питательные среды учитывали доминирующие для дерново-подзолистой почвы микроорганизмы. Для оценки интенсивности и направленности процессов превращения азота органического вещества почвы использовали микробиологические коэффициенты, которые рассчитывали по соотношению численности определяемых физиологических групп микроорганизмов. Органическое вещество почвы определяли по ГОСТ 26213-2021 (М., 2021), содержание нитратов в картофеле — по ГОСТ 29270-95 (М., 2010), крахмала — весовым методом по удельной массе клубней картофеля в воздухе и воде. Для определения величины вегетационного индекса NDVI (normalized difference vegetation index) растения картофеля в опыте (всего 960 растений) сканировали с помощью портативного прибора PSI PolyPen RP410/UVIS («Photon Systems Instruments», Чехия). Урожайность картофеля оценивали при сборе вручную со всей площади учетной делянки с последующим определением фракционного состава: крупный (> 100 г), средний (50-100 г) и мелкий (< 50 г) картофель. В среднем за 3 года исследований установлено, что наибольшее влияние на формирование урожая оказывали почвенные процессы в фазу всходов: в результате применения ПФ снижалась степень минерализации азота органического вещества почвы на 9-57 %, увеличивался коэффициент трансформации органических соединений в 1,2-3,7 раза (что косвенно свидетельствовало о накоплении органического вещества почвы и сохранении потенциального плодородия), повышалась численность доминирующей почвенной микрофлоры на 17-37 % относительно контроля. Выявлено статистически значимое повышение урожайности картофеля во всех вариантах с внесением ПФ по сравнению с контролем. Максимальная прибавка урожайности (34,4 %) была получена при использовании ПФ в дозе 8 т/га и сформирована за счет большего числа клубней с куста (на 11,3 %), увеличения средней массы одного клубня (на 22,2 %) и доли крупной фракции картофеля (на 31,4 %) по сравнению с вариантом без удобрений. Минимальная доза ПФ (2 т/га) на протяжении 3 лет приводила к получению стабильной прибавки урожайности — 21,7 %, чему способствовали максимальная численность почвенной микрофлоры в фазу цветения и период образования клубней картофеля (увеличение до 83 %), фотосинтетическая активность (индекс NDVI посадок картофеля 0,725±0,015 против 0,690±0,014 в контроле) и формирование наибольшего числа клубней (в среднем 9,8 шт. против 7,9 шт. в контроле) преимущественно семенного картофеля. Оценка экспериментальных данных, включая их математический анализ, позволила установить, что тип и доза органического удобрения определяют направленность микробиологических трансформаций в почве, которую необходимо учитывать при формировании агротехнологий. Выбор оптимальной дозы продукта ферментации зависит от цели выращивания картофеля: получение семенного материала (2 т/га) либо производство товарного картофеля на фоне увеличения почвенного плодородия (8 т/га).
Продукт ферментации, органическое удобрение, картофель, дерново-подзолистая почва, урожайность, микроорганизмы, фракции картофеля, NDVI
Короткий адрес: https://sciup.org/142247338
IDR: 142247338 | УДК: 633.491:631.87 | DOI: 10.15389/agrobiology.2026.1.172rus
Using a new organic fertilizer when growing potatoes (Solanum tuberosum L.) in the Central Non-Chernozem region
Potatoes are one of the world's most important food crops. To increase yields, organic fertilizers are increasingly used, as they can also improve tuber quality and enhance soil fertility. Organic fertilizers are primarily derived from livestock and poultry waste through composting. For instance, a technology has been developed to produce liquid preparations for crop production, where the fermentation product (PF) of a peat-manure mixture serves as an intermediate (All-Russian Research Institute of Reclaimed Lands a branch of the Federal Research Center Dokuchaev Soil Science Institute). PF has a complex composition, containing agronomically significant microflora, as well as macro- and microelements; therefore, it was studied as a standalone fertilizer. This study is the first to demonstrate the effectiveness of the fermentation product in potato cultivation, which allows it to be classified as a new organic fertilizer and produced as a target product alongside liquid preparations. The aim of the work was to study the effect of the new organic fertilizer PF on the direction of microbiological processes in the soil during potato cultivation, and to evaluate crop productivity and specific quality indicators. The field trial was conducted in 2022-2024 in the Tver region. Mid-season Skarb variety potatoes were grown on light loamy sod-podzolic soil at the Gubino agro-testing site (VNIIMZ, Kalininsky District). The trial was carried out on the same site for three years, with spring wheat as the preceding crop. The fermentation product was applied locally during planting at rates of 2, 4, 6, and 8 t/ha. Non-fertilized experimental plots served as the control. For comparison, plots with local application of multipurpose compost (KMN), developed by VNIIMZ, were also used. To assess the impact of organic fertilizers on soil microflora, soil samples were aseptically collected from the arable layer (0-20 cm) during the emergence, flowering, and early haulm senescence stages. Dominant microorganisms for sod-podzolic soil were quantified using the serial dilution method followed by plating on solid nutrient media. To evaluate the intensity and direction of nitrogen transformation in soil organic matter, microbiological coefficients were calculated based on the abundance ratios of specific physiological groups of microorganisms. Soil organic matter was determined according to GOST 26213-2021 (Moscow, 2021), nitrate content in potatoes according to GOST 29270-95 (Moscow, 2010), and starch content was measured gravimetrically based on the specific gravity of tubers in air and water. To determine the NDVI (normalized difference vegetation index), 960 potato plants were scanned using a portable PSI PolyPen RP410/UVIS (Photon Systems Instruments, Czech Republic) device. Yield was determined manually from the entire plot area, followed by grading into large (> 100 g), medium (50-100 g), and small (< 50 g) fractions. On average, over the three-year period, it was found that soil processes during the emergence phase had the greatest impact on yield formation. The application of PF reduced the mineralization of soil organic nitrogen by 9-57 % and increased the organic compound transformation coefficient by 1.2-3.7 times (indirectly indicating soil organic matter accumulation and preservation of potential fertility). Furthermore, the abundance of dominant soil microflora increased by 17-37 % compared to the control. A statistically significant increase in yield was observed in all PF treatments. The maximum yield increase (34.4 %) was achieved with 8 t/ha of PF, resulting from a higher number of tubers per hill (by 11.3 %), increased average tuber weight (by 22.2 % PF), and a larger proportion of the large fraction (by 31.4 %). The minimum PF dose (2 t/ha) provided a stable yield increase of 21.7 % over three years, supported by peak soil microflora activity during flowering and tuberization (up to an 83 % increase), higher photosynthetic activity (NDVI 0.725±0.015 vs 0.690±0.014 in control), and the formation of the highest number of tubers (average 9.8 pcs. vs 7.9 pcs. in control), primarily seed potatoes. An evaluation of experimental data, including their mathematical analysis, allowed us to establish that the type and dosage of organic fertilizer determine the direction of microbiological transformations in the soil, which should be considered when designing agricultural technologies. The optimal dose of the fermentation product depends on the production goal: obtaining seed material (2 t/ha) or producing ware potatoes while enhancing soil fertility (8 t/ha). Future research will focus on the effect of PF on other crops and its combined use with foliar applications of liquid preparations.
Текст научной статьи Использование нового ор-ганического удобрения при выращивании картофеля (Solanum tuberosum L.) в центральном районе Нечерноземной зоны
Картофель ( Solanum tuberosum L.) — важнейшая продовольственная культура во многих странах (1-3). За последние 10 лет производство картофеля значительно расширилось, что подтверждает его роль в мировой экономике (3). К ведущим производителям картофеля относятся Китай, Индия, Россия (4). На урожай картофеля влияют различные факторы, в том числе качественный семенной материал, методы обработки почвы, внесение удобрений, стимуляторов и др. (3, 5-7).
Для повышения урожайности сельскохозяйственных культур чаще всего применяют минеральные удобрения. Однако чрезмерное и/или длительное их использование представляет серьезную угрозу для почвы, качества выращиваемой продукции и здоровья людей (8-10). Альтернативой минеральным служит использование органических удобрений, что приводит не только к увеличению урожайности, но и значительному улучшению качества продукции, выращиванию органического картофеля (1, 11, 12). Кроме этого, органические удобрения способствуют долгосрочному повышению плодородия почв (13-16).
Органические удобрения получают из различных сырьевых ресурсов, в первую очередь из побочных продуктов животноводства и птицеводства (17). Навоз крупного рогатого скота и куриный помет применяют при выращивании картофеля в дозах от 15 до 100 т/га (18, 19). Однако неперера-ботанные навоз и помет могут представлять угрозу для почвы и здоровья людей, поэтому экологической и экономической альтернативой применению нативных побочных продуктов животноводства становятся их компостирование или ферментация (20, 21). При правильном проведении этих процессов можно получить высокоэффективные органические удобрения для сельского хозяйства (22, 23).
Внесение в почву компостов позволяет увеличить содержание в ней органических веществ, стимулировать рост растений и, в целом, служит устойчивым методом ведения сельского хозяйства (24-26). Например, в России в результате аэробной ферментации отходов животноводства получен почвенно-биологический комплекс, внесение которого в почву в количестве 6 т/га обогащает ее 600 кг органического вещества, что эквивалентно эффекту 40 т/га традиционного компоста (27). Учеными из Китая установлено, что внесение органических удобрений способствовало повышению урожайности картофеля на 23,5-34,5 %, увеличению содержание картофельного крахмала на 4,20-17,5 %, снижению содержание нитратов на 9,0256,0% и значительному улучшению физико-химических свойств почвы (28).
Имеет значение и способ использования органических удобрений. В частности, разбросной способ внесения влияет на рост и развитие растений картофеля, в том числе благодаря улучшению структуры почвы. При локальном способе внесения питательные вещества напрямую попадают в зону распределения основной массы корней и в большей степени используются растениями для усиления темпов своего роста и развития (29). Ученые из Дагестанского ГАУ и Российского университета дружбы народов также установили, что урожай картофеля при локальном способе применения органических удобрений был выше за счет более экономного расходование элементов питания на формирование 1 т урожая (30).
Разработана ферментационно-экстракционная технология получения жидких препаратов, предназначенных для растениеводства и земледелия (Всероссийский НИИ мелиорированных земель — филиал ФИЦ Почвенный институт им. В.В. Докучаева) (31). Основным исходным сырьем для нее служат навоз крупного рогатого скота и низинный торф. Регламентируемые параметры процесса ферментации обеспечивают создание определенных условий для жизнедеятельности микрофлоры исходного сырья, результатом чего становится эффективная трансформация исходной торфонавозной смеси в качественный продукт ферментации, а далее — в целевые препараты.
Продукт ферментации (ПФ) — промежуточное звено технологии получения жидких препаратов — характеризуется высокой численностью агрономически значимой микрофлоры (азоттрансформирующей, фосфатмо-билизующей, автохтонной и т.д.), физиологической активностью в связи с наличием в составе ферментов, витаминов, аминокислот и др., а также питательной ценностью за счет сбалансированного состава макро- и микроэлементов. Именно поэтому в указанной технологии ПФ служит основой для получения препаратов разного назначения. При этом комплексный состав продукта ферментации позволяет рассматривать его и в качестве самостоятельного органического удобрения.
В настоящей работе впервые при выращивании картофеля доказана эффективность продукта ферментации, что позволяет считать его новым органическим удобрением и получать в качестве целевого продукта по разработанной технологии наряду с жидкими препаратами.
Цель работы — изучить влияние нового органического удобрения ПФ на направленность микробиологических процессов в почве при выращивании картофеля, оценить его продуктивность и отдельные показатели качества.
Методика. Полевой опыт проводили в 2022-2024 годах в Тверской области. Среднеспелый картофель сорта Скарб выращивали на легкосуглинистой дерново-подзолистой почве (Albic Retisol) агрополигона Губино ВНИИМЗ (Калининский МО; 56,772283 ° N, 36,092138 ° E).
Формула строения профиля почвы: А1—А2В—В—Сд. Характеристика почвы была следующей: содержание гумуса — 1,9-2,1 %, Р 2 О 5 — 180205 мг/кг (по Кирсанову), К 2 О — 135-180 мг/кг (по Кирсанову), N лг — 4550 мг/кг, сумма поглощенных оснований — 7,2-9,3 ммоль/100 г, рН кс1 4,95-5,05.
В течение 3 лет полевой опыт закладывали в пределах одного участка, предшественник — яровая пшеница. Продукт ферментации вносили локально при посадке картофеля из расчета 2, 4, 6, 8 т/га. Опыт проводили в 4-кратной повторности на учетных делянках площадью 20 м2, расположенных систематически с выделением защитных полос.
Контролем служили учетные делянки без внесения удобрений (б/у). Для сравнения использовали также учетные делянки с локальным внесением компоста многоцелевого назначения (КМН). КМН (разработчик ВНИИМЗ) представляет собой экологически безопасное, высокоэффективное органическое удобрение, полученное аэробной ферментацией органического сырья. КМН вносили локально в количестве 4 т/га согласно рекомендациям по его применению в соответствии с ТУ 9841-003-006687322011.
Основные различия в производстве КМН и ПФ заключались в организации процесса ферментации и исходном сырье. В случае производства КМН в указанные годы ингредиентами были куриный помет и торф, а процесс ферментации сопровождался естественным подъемом и снижением 174
температур ферментируемой массы. При получении ПФ использовали навоз крупного рогатого скота и торф, а ферментацию проводили при искусственном поддержании заданных температур.
Органическое удобрение ПФ имело следующие характеристики: влажность — 63 %, общее микробное число (ОМЧ) — 8* 108 КОЕ/г, К общ. — 1,86 % а.с.в., Р 2 О 5 — 1,70 % а.с.в., К 2 О — 1,41 % а.с.в., С — 35,0 %, рНка 7,77; удобрение КМН: влажность — 60 %, ОМЧ — 2*108 КОЕ/г; К общ — 2,45 % а.с.в., Р 2 О 5 — 2,26 % а.с.в., К 2 О — 1,93 % а.с.в., С — 31,5 %; рНка 7,08. Применяемые в опыте органические удобрения отвечали требованиям экологической безопасности по санитарно-гигиеническим показателям.
Чтобы оценить влияние органических удобрений на почвенную микрофлору под картофелем, из пахотного горизонта (0-20 см) асептически отбирали почвенные образцы в фазы всходов, цветения и начала отмирания ботвы. В образцах методом предельных разведений с высевом на плотные питательные среды учитывали доминирующие для дерново-подзолистой почвы микроорганизмы: использующие органический азот (на мясопептонном агаре, МПА), использующие минеральные формы азота (на крахмало-аммиачном агаре, КАА) и мобилизующие фосфорорганические соединения (на питательной среде Менкиной). Суммарная численность микроорганизмов — условная величина, которую рассчитывали как сумму всех определяемых групп.
Для оценки интенсивности и направленности процессов превращения азота органического вещества почвы использовали микробиологические коэффициенты, которые рассчитывали по соотношению численности определяемых физиологических групп микроорганизмов. Коэффициент минерализации (Км) определяли по соотношению численности микроорганизмов, использующих минеральные формы азота, к численности микроорганизмов, использующих органические формы азота (КАА:МПА). Более высокие значения Км свидетельствовали о преобладании в почве процессов минерализации азота органического вещества.
Коэффициент трансформации органических соединений (Пм) рассчитывали по формуле Пм = (МПА + КАА) * (МПА:КАА) (32). Увеличение значения коэффициента Пм подтверждало направленность микробиологических процессов в сторону накопления органического вещества почвы и сохранения потенциального плодородия.
Органическое вещество почвы определяли по ГОСТ 26213-2021 (М., 2021), содержание нитратов в картофеле — по ГОСТ 29270-95 (М., 2010), крахмала — весовым методом по удельной массе клубней картофеля в воздухе и воде.
Для определения величины вегетационного индекса NDVI (normalized difference vegetation index) растения картофеля в опыте (всего 960 растений) сканировали с помощью портативного прибора PolyPen RP410/UVIS PSI («Photon Systems Instruments», Чехия).
Урожайность картофеля определяли вручную со всей площади учетной делянки с последующим определением фракционного состава: крупный (> 100 г), средний (50-100 г) и мелкий (< 50 г) картофель.
Для оценки достоверности полученных результатов использовали математические, в том числе статистические, методы анализа в программе OriginPro 2016 («OriginLab», США). Регрессионный и дисперсионный анализ (ANOVA), метод анализа главных компонент (Principal Component Analysis, PCA), метод мин-макс нормализации (Min-Max Normalization) позволили наглядно представить и оценить полученные результаты, выявить наличие или отсутствие зависимостей между различными показателями.
Анализ главных компонент проводили на основе следующих пока зателей: численность почвенных микроорганизмов (млн КОЕ/г), коэффи циент минерализации органического вещества (Км), коэффициент транс формации органических соединений (Пм) и содержание органического вещества в почве (%). Перед применением PCA все переменные были стан дартизированы с использованием Z-преобразования:
X j -X O x ’
Z t =
где Zi — стандартизированное значение признака в наблюдении z; Xi — исходное (непреобразованное) значение признака в наблюдении i; X — сред нее арифметическое всех значений признака по выборке; ох — стандартное отклонение признака по выборке. Это позволило уравнять вклад признаков с различной размерностью и шкалой измерения. Стандартизированная матрица (6 вариантов х 4 признака) была подана на вход функции PCA библиотеки scikit-learn (Python), реализующей сингулярное разложение. Для анализа были выбраны две первые компоненты (PC1 и PC2), объясняющие 88,04 и 8,02 % дисперсии соответственно (eigenvalues: 3,5216 и 0,3208), что в сумме составляло 96,06 % общей вариации.
При проведении регрессионного анализа в качестве зависимой переменной рассматривалась урожайность картофеля (у ), а в качестве независимых — средние за сезон значения общей численности почвенных микроорганизмов ( Х 1 ), коэффициентов минерализации ( Х 2 ), коэффициентов трансформации органических соединений почвы ( хз ), содержания органического вещества ( Х 4 ).
Для комплексной оценки влияния органических удобрений на продуктивность картофеля использовали метод мин-макс нормализации, который визуализирован в форме радарной диаграммы. В сравнительный анализ были включены три ключевых показателя: число клубней с куста, средняя масса клубня и итоговая урожайность. Все значения были приведены к единому масштабу (0-1) для устранения различий в размерности и отражения относительного вклада каждого параметра в совокупную продуктивность. Контролем служил вариант без удобрений.
Микробиологические и агрохимические показатели определяли в 2-кратной аналитической повторности. Численность микроорганизмов в таблице, расчетные микробиологические коэффициенты на рисунках и значения индекса NDVI в тексте представлены в виде среднего значения выборки ( M) за 3 года и стандартного отклонения (±SD). Статистическую достоверность различий в урожайности картофеля оценивали по значениям наименьшей существенной разницы (НСР) при 5 % уровне значимости.
Результаты. Сезоны вегетации в годы исследований не сильно различались между собой по количеству выпавших осадков и средней температуре воздуха. Тем не менее в 2022 году в фазы бутонизации и цветения наблюдался длительный период отсутствия дождей, 2024 году от фазы всхо дов и до окончания цветения отмечали чередование засушливых и дождливых периодов, а 2023 год по влагообеспеченности почвы был близок к оптимальному для выращивания культуры картофеля.
Локальное применение ПФ, а также КМН при посадке картофеля позволило обеспечить прикорневую зону растений доступными элементами питания, агрономически полезной микрофлорой, физиологически активными веществами. В результате биологическая активность почвы увеличивалась уже в первый месяц вегетации культуры. Так, микробиологический анализ почвенных образцов в фазу всходов позволил установить, что сум марная численность определяемых групп микроорганизмов в вариантах с применением органических удобрений превышала контрольный вариант.
По мере возрастания дозы ПФ повышалась концентрация элементов питания в корнеобитаемом слое растений и увеличивалось количество микрофлоры, в том числе за счет поступающей с удобрением. При этом численность почвенных микроорганизмов увеличивалась от 17 до 37 %. Однако необходимо отметить, что статистически значимые различия по сравнению с контролем наблюдались только при применении 6 и 8 т/га ПФ, а также КМН, внесение которого способствовало формированию максимального микробного пула агрономически значимой микрофлоры — 31,5 млн КОЕ/г абсолютно сухой почвы (табл. 1).
1. Суммарная численность микроорганизмов в почве под картофелем ( Solanum tuberosum L.) сорта Скарб в фазу всходов при внесении компоста многоцелевого назначения (КМН) и продукта ферментации (ПФ) в разных дозах ( n = 24, М ±SD, Тверская обл., Калининский МО, 2022-2024 годы)
|
Вариант |
Численность микроорганизмов, млн/г |
Прирост численности микроорганизмов, % к контролю |
|
Контроль (без удобрений) |
22,3±3,4a |
|
|
КМН, 4 т/га |
31,5±3,7b |
41,3 |
|
ПФ, 2 т/га |
26,1±2,8ab |
17,0 |
|
ПФ, 4 т/га |
26,9±2,7ab |
20,6 |
|
ПФ, 6 т/га |
29,9±4,3b |
34,1 |
|
ПФ, 8 т/га |
30,6±4,0b |
37,2 |
Примечание. Разными латинскими буквами обозначены статистически значимые различия при р < 0,05.
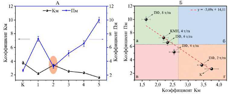
В контрольном варианте коэффициент минерализации был выше, чем в опытных вариантах, а в вариантах с ПФ значения Км постепенно уменьшались по мере увеличения дозы удобрения (рис. 1, А). Другими словами, применение органических удобрений ПФ и КМН значительно снижало степень минерализации азота органического вещества почвы на фоне ее достаточно высокой микробиологической активности (табл. 1). Статистический анализ показал сильную обратную взаимосвязь между Км и суммарной численностью определяемых почвенных микроорганизмов ( r = - 0,92, p < 0,05). Это свидетельствует о том, что в первый месяц развития картофеля, когда происходил активный рост корней и вегетативной массы, растения удовлетворяли свои потребности в доступных элементах питания за счет вносимых удобрений. Это позволяет сохранять почвенное плодородие.
На дерново-подзолистой почве Предуралья ученые также отмечали наиболее интенсивные процессы минерализации в контроле без удобрений, нежели при применении органических удобрений, что косвенно свидетельствует о роли последних в снижении скорости разложения гумуса и сохранении плодородия (33).
Известно (34, 35), что применение органических удобрений обеспечивает прямое внесение углерода в почву, который может быть стабилизирован с помощью протекающих в почве процессов различной природы (физических, химических и биохимических), способствующих долгосрочному накоплению (связыванию) углерода. В наших исследованиях об этом свидетельствует коэффициент трансформации органического вещества (Пм), увеличение которого подтверждало направленность микробиологических процессов в сторону накопления органического вещества почвы и сохранения потенциального плодородия.
По мере повышения дозы ПФ увеличивался коэффициент трансформации органического вещества почвы, то есть происходило его накопление (рис. 1, А). Эти выводы подкреплялись коэффициентами корреляции в фазу всходов: наблюдалась обратная взаимосвязь Км и Пм (r = -0,97, p < 0,05) и прямая зависимость содержания органического вещества почвы от Пм (r = 0,98, p < 0,05). Необходимо отметить, что в дальнейшем и в фазу цветения, и в фазу отмирания ботвы тенденции в изменении Км и Пм в почве при локальном внесении органических удобрений под картофель сохранялись, однако взаимосвязь между этими величинами постепенно ослабевала — r = -0,93 (p < 0,05) и r = -0,85 (p < 0,05) соответственно по фазам.
Рис. 1. Коэффициент минерализации (Км) и коэффициент трансформации органического вещества (Пм) (А) , а также зависимость Км и Пм (Б) в почве под картофелем ( Solanum tuberosum L.) сорта Скарб в фазу всходов при внесении компоста многоцелевого назначения (КМН) и продукта ферментации (ПФ) в разных дозах. А: К — контроль (без удобрений), 1 — КМН, 4 т/га, 2 — ПФ, 2 т/га, 3 — ПФ, 4 т/га, 4 — ПФ, 6 т/га, 5 — ПФ, 8 т/га; выделенная область означает почти полное совпадение значений Км и Пм для варианта с внесением ПФ в дозе 2 т/га. Б: Пространство графика разделено на четыре цветовые зоны по медианным значениям Км и Пм: a — низкий Км, высокий Пм (оптимальное состояние); б — высокий Км, высокий Пм (интенсивное, но потенциально нестабильное состояние); в — низкий Км, низкий Пм (вялотекущие процессы трансформации); г — высокий Км, низкий Пм (неблагоприятное состояние, сопровождающееся потерями органики) ( n = 24, М ±SD, Тверская обл., Калининский МО, 2022-2024 годы) .
В целом, по всем вариантам максимальное развитие в почве микроорганизмов, использующих минеральные формы азота и мобилизующих фосфорорганические соединения, определено в фазу цветения, а использующих органические формы азота — в фазу начала отмирания ботвы. В эти периоды вегетации картофеля по численности почвенных микроорганизмов выделялись два варианта с внесением ПФ в дозе 2 и 8 т/га. Вероятно, минимальная доза вносимого удобрения оказывала стимулирующее действие на почвенную микрофлору (увеличение численности указанных микроорганизмов в фазу цветения составило от 20 до 83 %) и оказала влияние на развитие растений картофеля. Активность исследуемых микроорганизмов почвы при внесении максимальной дозы ПФ, скорее всего, была обусловлена увеличением их общего пула с учетом дополнительного внесения микрофлоры самого удобрения. В результате к окончанию полевого опыта суммарная численность микроорганизмов в 2,9 раза превышала контроль без удобрений.
Интересной особенностью оказалось почти полное совпадение значений Км и Пм для варианта с внесением ПФ в дозе 2 т/га (см. рис. 1, А, выделенная область). Это может свидетельствовать о том, что при указанной дозировке установилось относительное равновесие между процессами разложения и стабилизации органического вещества. В этом состоянии микробиота эффективно использует доступные субстраты без избыточной мобилизации внутренних резервов почвы, что может быть интерпретировано как адаптационный ответ экосистемы на умеренное органическое воздействие.
Анализ взаимосвязи между Км и Пм (см. рис. 1, Б) позволил классифицировать опытные варианты по характеру микробиологических процессов, протекающих в почве, в зависимости от вида и дозы внесенного органического удобрения. Наиболее агрономически ценным был квадрант зоны «а» (низкий Км, высокий Пм), отражающий преобладание гумусообразующих процессов при минимальных потерях азота. В этой зоне надежно расположился вариант с внесением ПФ в дозе 8 т/га, демонстрируя наиболее сбалансированные и благоприятные микробиологические показатели. Варианты КМН (4 т/га) и ПФ (6 т/га), несмотря на расположение на границе с зоной «в», также попали в зону «а», что свидетельствует об их функциональной эффективности, хотя и в менее выраженной форме. Зона «б» (высокий Км, высокий Пм) на графике осталась незаполненной, что, вероятно, указывает на отсутствие стимуляции микрофлоры к интенсивному метаболизму на фоне высокой минерализации и может свидетельствовать о сбалансированном характере микробиологических процессов, не переходящих в фазу перегрузки. В зоне «в» (низкий Км, низкий Пм) оказалось пограничное положение некоторых вариантов, но фактически в эту область попал только ПФ (4 т/га). Такая структура указывала на отсутствие выра-женно заторможенных биологических режимов. Зона «г» (высокий Км, низкий Пм) характеризовала наиболее деградационные состояния почвы. В эту зону попали контроль (б/у) и ПФ (2 т/га). В варианте б/у наблюдались активные потери органического вещества без его эффективного закрепления в форме гумуса (Км > Пм). Попадание варианта ПФ (2 т/га) в зону «г» указывало на низкую микробиологическую эффективность в отношении поддержания и накопления органического углерода (Км ® Пм, см. рис. 1, А).
Обратная зависимость между Км и Пм, визуализированная в виде отрицательного наклона линии тренда, подтверждала биологический антагонизм процессов минерализации и стабилизации органики. Полученные результаты демонстрируют, что тип и доза органического удобрения определяют преобладающее направление микробиологических трансформаций в почве, что должно учитываться при формировании агротехнологий, направленных на устойчивое управление органическим веществом и биологической активностью почв.
Климатические условия, а также микробиологические, биохимические и физико-химические процессы, происходившие в почве под влиянием органических удобрений, на протяжении всего опыта оказывали влияние на рост, развитие растений картофеля, формирование урожайности.
В 2022 году был получен наименьший урожай, что, скорее всего, связано с длительным острым недостатком почвенной влаги в критический период развития картофеля (фазу цветения). Наиболее благоприятные климатические условия наблюдались в 2023 году, что способствовало получению наибольшего урожая картофеля.
2. Урожайность картофеля ( Solanum tuberosum L.) сорта Скарб при внесении компоста многоцелевого назначения (КМН) и продукта ферментации (ПФ) в разных дозах ( n = 4, М ±SD, Тверская обл., Калининский МО)
|
Вариант |
Урожайность |
|||||||
|
2022 год |
2023 год |
2024 год |
среднее за 3 года |
|||||
|
г/куст |
±, % |
г/куст |
±, % |
г/куст |
±, % |
г/куст |
±, % |
|
|
Контроль (без удобрений) |
475±30 |
624±46 |
516±38 |
538 |
||||
|
КМН, 4 т/га |
632±27 |
33,1 |
780±50 |
25,0 |
671±40 |
30,0 |
694 |
29,0 |
|
ПФ, 2 т/га |
578±40 |
21,7 |
760±45 |
21,8 |
628±42 |
21,7 |
655 |
21,7 |
|
ПФ, 4 т/га |
590±37 |
24,2 |
768±47 |
23,1 |
643±39 |
24,6 |
667 |
24,0 |
|
ПФ, 6 т/га |
636±23 |
33,9 |
801±51 |
28,4 |
642±38 |
24,4 |
693 |
28,8 |
|
ПФ, 8 т/га |
683±35 |
43,8 |
815±48 |
30,6 |
672±42 |
30,2 |
723 |
34,4 |
|
НСР 0,05 |
48,1 |
71,1 |
58,6 |
|||||
На протяжении 3 лет все опытные варианты с внесением органических удобрений приводили к статистически значимой прибавке урожайности относительно контроля (табл. 2). В целом, по мере повышения дозы ПФ урожайность картофеля увеличивалась, однако значимых различий между отдельными вариантами не выявили. Максимальная урожайность была получена при внесении 8 т/га продукта ферментации: в среднем за три года прибавка по отношению к контролю составила 34,4 %, к варианту КМН - 18,6 %.
Положительный эффект также отмечали ученые в Республике Карелия при исследовании нового биоорганического удобрения на основе торфа с включением фитомелиоранта из викоовсяной смеси. Его внесение при выращивании картофеля локально в лунку из расчета 4 т/га и вразброс в дозе 20 т/га обеспечило увеличение числа клубней с одного растения на 19,3 % и повышение продуктивности соответственно на 10,0 и 21,8 % (36).
Интересно отметить, что меньшие дозы продукта ферментации (2 и 4 т/га) каждый год обеспечивали стабильную прибавку урожайности: соответственно 21,7 и 24 % (см. табл. 2). Для оценки влияния рассмотренных выше показателей на формирование урожая было выведено уравнение множественной регрессии:
у = 872,03 - 3,32864 • x i - 38,1557 • Х 2 + 28,8142 • х з - 16,9322 • Х 4 (р > 0,05).
Расчеты показали, что коэффициент детерминации составил R2 = 93,3 %; несмотря на это, индивидуальные коэффициенты регрессии и модель в целом не достигли статистической значимости (р > 0,05), что было обусловлено ограниченным объемом выборки и малым числом степеней свободы. Коэффициент детерминации, скорректированный с учетом числа степеней свободы, составил R2adj = 66,7 %. Таким образом, модель хорошо описывает имеющиеся экспериментальные данные (высокий R2), но ее статистическая устойчивость ограничена малым объемом выборки (что отражает R2adj). Полученные результаты следует рассматривать как отражающие общие тенденции и относительный вклад почвенных процессов в формирование урожайности, а не как строгую количественную модель прогнозирования.
По величинам коэффициентов регрессии можно судить, что в среднем за три года на формирование урожайности наибольшее влияние оказывали уровень минерализационных процессов в почве (значения Км, Х 2 ) и процессов трансформации органических соединений почвы (значения Пм, х з ), а наименьшее — суммарная численность почвенной микрофлоры ( x i ).
Для комплексной оценки биологического состояния почвы и выявления ключевых факторов, определяющих различия между агротехнологи-ческими системами, был применен также метод анализа главных компонент. На рисунке 2 представлена проекция шести агротехнологических систем на пространство главных компонент PCA. Первая компонента (PC1) отражала гумусонакапливающий потенциал системы (вклад трансформации органических веществ и органического углерода). Ее формировали переменные с положительными нагрузками (Пм, органическое вещество и численность микроорганизмов) и отрицательным вкладом — Км (минерализация). Вторая компонента (PC2) отражала преимущественно микробную активность, без прямой связи с накоплением гумуса. Овалами выделены устойчивые группы с характерным микробиологическим режимом: деградированный (б/у), переходный (ПФ, 2 т/га), сбалансированный (КМН, 4 т/га и ПФ, 4 и 6 т/га), оптимизированный (ПФ, 8 т/га).
На основании анализа главных компонент была проведена кластеризация шести агротехнологических вариантов по биологическому состоянию 180
почвы. Распределение точек в пространстве PC1—PC2 позволило выделить четыре устойчивых группы (биологические кластеры), различающиеся по степени микробиологической устойчивости и потенциалу гумусонакопления.
1.0-
|. 2 т/га
0,5-
КМН. 4 т/га
0,0-
а ■ ПФ, 6 т/га \ ■ ПФ, 4 т/га
ПФ, 8 т/га
-0,5-
-1,0-
К
-1,5-
-3
-2
О
РС1
Рис. 2. Распределение агротехнологических вариантов по первым двум главным компонентам PCA (PC1 — активность микробиоты, PC2 — гумусонакопительный потенциал) с выделением кластеров биологического состояния почвы под картофелем ( Solanum tuberosum L.) сорта Скарб без удобрений (К) , при внесении компоста многоцелевого назначения (КМН) и продукта ферментации (ПФ) в разных дозах (Тверская обл., Калининский МО, 2022-2024 годы).
Вариант б/у характеризовался наиболее низкими значениями PC1 и PC2, что отражало дефицит органического углерода, преобладание минера-лизационных процессов и общую микробную депрессию. Такая система была неспособна к накоплению гумуса и демонстрировала минимальные показатели урожайности. Вариант ПФ (2 т/га) находился в зоне низкого PC1, но умеренно высокого PC2. Это указывало на активное микробное сообщество, функционирующее преимущественно в режиме разложения органики. Недостаточная доза органического удобрения не обеспечивала переход в стабильную гумусоформирующую фазу. Почвенная система в этом варианте была биологически неустойчива и уязвима к внешним стрессорам. Варианты КМН, ПФ (4 и 6 т/га) оказались близки по координатам в пространстве PC1—PC2 и располагались в области умеренно положительных значений. Эти варианты отражали переход системы к биологической стабилизации, при которой активность микробов уравновешена трансформационными процессами и происходит постепенное накопление органического вещества. Вариант ПФ (8 т/га) выделялся отдельной позицией с наибольшим значением PC1 и умеренным PC2. Это свидетельствовало о максимальном гумусонакапливающем потенциале при отсутствии чрезмерной микробной нагрузки. Этот режим может рассматриваться как эталонный с точки зрения биологической продуктивности и устойчивости агроэкосистемы.
Метод PCA позволил не только количественно оценить вклад отдельных биологических показателей в формирование микробиологического плодородия почвы, но и визуально дифференцировать агротехнологические системы по степени их устойчивости. Полученные кластеры подтверждают эффективность применения органических удобрений в дозах не менее 4 т/га, а максимальные биологические и агрономические показатели достигались при внесении 8 т/га ПФ.
Анализ структуры урожая в среднем за 2022-2024 годы показал, что прибавка урожайности во всех опытных вариантах была сформирована за счет увеличения числа клубней с куста, средней массы одного клубня и перераспределения фракций картофеля в сторону увеличения товарности (табл. 3). Подобные результаты получены пензенскими учеными при использовании гранулированного удобрения из индюшиного помета, произведенного в ООО «Биоорганика» (Нижнеломовский р-н Пензенской обл.). Его однократное применение в дозах от 1 до 3 т/га приводило к повышению общей урожайности картофеля на 17,4-76,2 % и товарности на 1,2-2,9 % (абс.) за счет увеличения числа клубней с одного куста и средней массы одного клубня (37).
3. Структура урожая картофеля ( Solanum tuberosum L.) сорта Скарб при внесении компоста многоцелевого назначения (КМН) и продукта ферментации (ПФ) в разных дозах ( n = 12, М ±SD, Тверская обл., Калининский МО, 2022-2024 годы)
|
Вариант |
Среднее число клубней с куста, шт. |
Средняя масса 1 клубня, г |
Товарность, % |
Соотношение массы крупных: средних: мелких клубней |
|
Контроль (без удобрений) |
7,9±1,9 |
67,1±3,7a |
87,9±2,5 |
0,35 : 0,53 : 0,12 |
|
КМН, 4 т/га |
9,4±1,7 |
75,0±5,5ab |
91,0±4,5 |
0,41 : 0,50 : 0,09 |
|
ПФ, 2 т/га |
9,8±1,7 |
67,1±6,1a |
88,9±2,9 |
0,34 : 0,55 : 0,11 |
|
ПФ, 4 т/га |
9,4±2,1 |
71,2±5,1a |
89,1±4,4 |
0,38 : 0,51 : 0,11 |
|
ПФ, 6 т/га |
9,0±2,3 |
76,7±6,7ab |
90,2±3,1 |
0,43 : 0,47 : 0,10 |
|
ПФ, 8 т/га |
8,8±1,9 |
82,0±4,0b |
91,8±2,4 |
0,46 : 0,46 : 0,08 |
Примечание. Разными латинскими буквами обозначены статистически значимые различия при р < 0,05.
Также в полевых опытах, проведенных на территории Республики Марий Эл, при выращивании картофеля локально использовали гранулированное органическое удобрения на основе ферментированного птичьего помета производства ООО «Эко в дом» в дозах от 0,5 до 2,0 т/га. Благодаря возрастающим дозам удобрения, наблюдалась тенденция к увеличению числа клубней на одном растении за счет товарной фракции, а средняя масса клубня повышалась на 6,1-11,5 г. При этом наиболее эффективной оказалась максимальная из исследуемых доз — 2 т/га (38).
В наших исследованиях каждый год показатели, представленные в таблице 3, в контрольных вариантах были статистически значимо ниже аналогичных показателей при использовании органических удобрений. Однако погодные условия повлияли на разброс данных по годам. Например, в 2022 году в варианте б/у среднее число клубней с куста было 5,8 шт., в 2023 — 9,2 шт., в 2024 — 8,8 шт. В результате при усреднении данных за 3 года можно было судить о тенденции изменения указанных показателей, за исключением статистически значимого увеличения средней массы одного клубня при внесении максимальной дозы ПФ (см. табл. 3).
Необходимо отметить, что минимальная доза внесения продукта ферментации стимулировала образование максимального числа клубней и преимущественно средней фракции, которую, исходя из наибольшего поперечного диаметра клубней (ГОСТ 33996-2016. М., 2017), можно отнести к семенному картофелю. Максимальные дозы ПФ обеспечили формирование меньшего числа клубней, но более крупного размера.
Влияние органических удобрений на продуктивность картофеля и структуру урожая можно оценить с помощью радарной диаграммы (рис. 3). Контрольный вариант продемонстрировал минимальные значения по всем показателям, что было логично обусловлено отсутствием поступления органических веществ в почву и ограниченным потенциалом растений. Его значения приняли нулевые позиции на графике и служили базой для оценки эффективности других вариантов.
Рис. 3. Радарная диаграмма нормализованных показателей продуктивности картофеля ( Solanum tuberosum L.) сорта Скарб при внесении компоста многоцелевого назначения (КМН) и продукта ферментации (ПФ) в разных дозах ( n = 12, Тверская обл., Калининский МО, 2022-2024 годы) .
Наибольшую сбалансированность показателей продемонстрировал вариант с внесением ПФ в дозе 8 т/га. Он характеризовался максимальными нормализованными значениями по средней массе клубня и урожайности (1,00), а также достаточно высоким показателем числа клубней (0,56). Такой профиль отражал гармоничное развитие генеративных органов и эффективное их наполнение, что указывало на всестороннюю положительную реакцию культуры на эту агротехнологию.
Варианты КМН (4 т/га) и ПФ (6 т/га) также показали высокие значения урожайности (соответственно 0,88 и 0,87) и средней массы клубня (0,60 и 0,75) при числе клубней 0,94 и 0,56. Эти варианты характеризовались интенсивным типом продуктивности, при котором урожай формируется преимущественно за счет увеличения массы, а не числа клубней. Подобная стратегия особенно эффективна в условиях ограниченного водообеспечения посадок картофеля и высоких агрономических рисков. Вариант ПФ (4 т/га) продемонстрировал близкие к указанным значения, но при несколько более выраженном смещении в сторону увеличения числа клубней (0,94) при снижении их массы (0,42), что несколько ограничивало итоговую урожайность (0,68). Это могло быть обусловлено конкуренцией между органами растения за ограниченный пул ассимилятов, особенно в условиях дефицита элементов питания. Вариант ПФ (2 т/га) оказался лидером по числу клубней (1,00), однако продемонстрировал минимальную среднюю массу (0,00) и умеренную урожайность (0,58). Этот вариант характеризовался экстенсивной продуктивной стратегией: было получено большое число средних клубней, что может быть целесообразно в семеноводческих целях, но не оптимально при выращивании картофеля на товарную продукцию. Образование большего числа семенных клубней картофеля в результате внесения органических удобрений при посадке картофеля отмечали и другие ученые, объясняя этот факт более медленным высвобождением питательных веществ в период активного роста растений (7).
Исходя из анализа радарной диаграммы (см. рис. 3) можно заключить, что наиболее агрономически эффективным был вариант с внесением ПФ в дозе 8 т/га, обеспечивающий максимальное сочетание массы и урожайности при умеренном числе клубней. Варианты КМН (4 т/га) и ПФ (6 т/га) демонстрировали устойчиво высокие показатели при потенциальной экономичности, а варианты с более низкими дозами (ПФ 2 и 4 т/га)
оказались ограничены по продуктивности. Представленный подход позволяет не только оценить абсолютную эффективность удобрений, но и выявить характер стратегии формирования урожая (интенсивную, экстенсивную или сбалансированную), что имеет важное значение при принятии решений в области агротехнологического планирования.
Содержание нитратов в клубнях картофеля во всех вариантах было в 2-2,5 раза ниже, чем ПДК для этой культуры. Количество крахмала в опытных вариантах по годам варьировало от 15,4 до 17,2 % (против 14,015,7 % в варианте б/у). В среднем за 3 года максимальное содержание крахмала (16,4 %) отмечали в варианте с внесением минимальной дозы ПФ. Это обстоятельство можно сопоставить со значениями вегетационного индекса NDVI, которые были измерены в фазу созревания клубней, когда происходит максимальный отток питательных веществ из ботвы в корневую систему (39). В этот период поступающие в клубни сахара очень быстро превращаются в крахмал, который интенсивно накапливается (40). Локальное внесение ПФ в дозе 2 т/га способствовало более интенсивной фотосинтетической активности растений: вегетационный индекс NDVI = 0,725±0,015 был статистически значимо выше контроля (NDVI = 0,690±0,014). Содержание крахмала и значения NDVI находились в умеренно сильной взаимосвязи ( r = 0,71, р < 0,05).
Таким образом, локальное внесение нового органического удобрения — продукта ферментации (ПФ) в дозах 2-8 т/га при посадке картофеля сорта Скарб приводило к статистически значимому увеличению урожайности по сравнению с вариантом без удобрений. Наибольшее влияние на формирование урожая под влиянием различных доз ПФ оказывали почвенные процессы, происходящие в фазу всходов: наблюдалось снижение степени минерализации азота органического вещества почвы на 9-57 %, увеличение коэффициента трансформации органических соединений в 1,2-3,7 раза, косвенно свидетельствующее о накоплении органического вещества почвы, повышение численности доминирующей почвенной микрофлоры на 1737 %, что, в целом, направлено на сохранение потенциального плодородия. Максимальная прибавка урожайности (34,4 %) получена при внесении ПФ в дозе 8 т/га и была сформирована за счет большего числа клубней с куста (на 11,3 %), увеличения средней массы одного клубня (на 22,2 %) и доли крупной фракции картофеля (на 31,4 %). Минимальная доза ПФ (2 т/га) на протяжении 3 лет приводила к стабильной прибавке урожайности на 21,7 %, чему способствовали максимальная численность почвенной микрофлоры в фазу цветения и период образования клубней картофеля, фотосинтетическая активность растений картофеля (значения вегетационного индекса NDVI) и формирование наибольшего числа клубней преимущественно средней фракции. Полученные результаты свидетельствуют, что продукт ферментации, который служит промежуточным звеном ферментационноэкстракционной технологии получения жидких препаратов, обладает комплексным составом и может быть с успехом использован в качестве самостоятельного органического удобрения. Математически доказано, что локальное использование разных доз ПФ может целенаправленно регулировать развитие растений картофеля в зависимости от агротехнических задач: получение семенного материала (2 т/га) либо максимальное производство товарного картофеля на фоне увеличения почвенного плодородия (8 т/га). В дальнейшем планируется изучить влияние ПФ при выращивании других сельскохозяйственных культур, а также актуальным представляется разработка комплексного подхода по применению целевых продуктов обозначенной технологии (ПФ и жидких препаратов) в течение вегетации сельскохо-
çÿéñòâåííûõ ðàñòåíèé.
ФГБНУ ФИЦ Почвенный институт им. В.В. Докучаева,