Лабораторный синтез гидроксипропилметилцеллюлозы технического качества из пеньки (технической конопли)

Автор: Асфандеев А.Ю., Кострюков С.Г., Бурмистрова А.А., Кузьмичева А.А.

Журнал: Огарёв-online @ogarev-online

Рубрика: Технические науки

Статья в выпуске: 4 т.13, 2025 года.

Бесплатный доступ

Введение. Гидроксипропилметилцеллюлоза (ГПМЦ) является важной производной целлюлозы, широко применяемой в различных отраслях промышленности. Цель исследования – разработка метода синтеза ГПМЦ из целлюлозы технической конопли, выступающей возобновляемым и экономичным сырьем. Материалы и методы. В работе использованы образцы целлюлозосодержащей пеньки и химические реагенты промышленного производства без дополнительной очистки. Синтез проводили в гетерогенной среде толуол/изопропанол. Для характеристики продукта применяли инфракрасную спектроскопию (ИК) с преобразованием Фурье, а также спектроскопию ядерного магнитного резонанса (ЯМР) на ядрах ¹H и ¹³C. Вязкость 2 %-ных водных растворов определяли с помощью вискозиметра Брукфильда (Brookfield). Результаты исследования. Успешно осуществлен синтез ГПМЦ из предварительно высушенной пеньки. Степень метилирования (DS) и гидроксипропилирования (MS) определена методом ЯМР-спектроскопии на ядрах ¹³C. Данные ИК-спектроскопии подтвердили образование эфира целлюлозы. Динамическая вязкость полученных образцов для 2 %-ных водных растворов составила от 35 до 58 Па · с. Обсуждение и заключение. Разработанный метод демонстрирует возможность эффективного получения ГПМЦ из возобновляемого конопляного сырья в лабораторных условиях. Процесс воспроизводимый и управляемый; выход целевого продукта составляет 76–81 %.

Еще

Гидроксипропилметилцеллюлоза (ГПМЦ), техническая конопля, пенька, диметилсульфат, окись пропилена, степень замещения, вязкость, ИК-спектроскопия, ЯМР-спектроскопия

Короткий адрес: https://sciup.org/147252807

IDR: 147252807   |   УДК: 663.534-037.12(076.5)   |   DOI: 10.15507/2311-2468.013.202504.401-410

Laboratory Synthesis of Technical-Grade Hydroxypropyl Methylcellulose from Hemp Shive (Industrial Hemp)

Introduction. Hydroxypropyl methylcellulose (HPMC) is an important cellulose derivative widely used in various industries. The aim of the study is to develop a method for synthesizing HPMC from industrial hemp cellulose, which is a renewable and cost effective raw material. Materials and Methods. The study used samples of cellulose containing hemp shive and industrially produced chemical reagents without additional purification. The synthesis was carried out in a heterogeneous medium of toluene/isopropanol. The product was characterized using Fourier transform infrared (FTIR) spectroscopy and nuclear magnetic resonance (NMR) spectroscopy on nuclei ¹H and ¹³C. The viscosity of 2 % aqueous solutions was determined using a Brookfield viscometer. Results. The synthesis of HPMC from pre dried hemp shive was successfully accomplished. The degree of methylation (DS) and hydroxypropylation (MS) was determined by ¹³C NMR spectroscopy. FTIR spectroscopy data confirmed the formation of cellulose ether. The dynamic viscosity of the obtained samples for 2 % aqueous solutions ranged from 35 to 58 Pa · s. Discussion and Conclusion. The developed method demonstrates the possibility of efficiently producing HPMC from renewable hemp raw material under laboratory conditions. The process is reproducible and controllable, with the yield of the target product ranging from 76 to 81 %.

Еще

Текст научной статьи Лабораторный синтез гидроксипропилметилцеллюлозы технического качества из пеньки (технической конопли)

           eISSN 2311-2468

EDN:                                   

Гидроксипропилметилцеллюлоза (ГПМЦ) является одной из наиболее широко применяемых производных целлюлозы благодаря уникальным свойствам, таким как способности к набуханию, образованию прозрачного термообратимого геля, а также способности выступать в качестве загустителя, стабилизатора и пленкообразователя [1]. Область ее применения охватывает пищевую, фармацевтическую, косметическую, лакокрасочную и строительную промышленность. Традиционно основным сырьем для производства ГПМЦ служит хлопковая или древесная целлюлоза высокой степени очистки1 [2].

  • 1    Бытенский В. Я., Кузнецов Е. П. Производство эфиров целлюлозы. Л.: Химия, 1974. 208 с.

402                                                       Технические науки

В последние годы акцент в исследованиях смещается в сторону поиска альтернативных, возобновляемых и экономически эффективных источников целлюлозы. В таком контексте техническая конопля (пенька) представляет значительный интерес [3; 4]. Волокна конопли характеризуются высоким содержанием целлюлозы и при этом являются быстро возобновляемым ресурсом, требующим минимальных затрат пестицидов и воды при культивировании [5; 6]. Использование пеньки в качестве сырья для синтеза химических производных позволяет не только диверсифицировать сырьевую базу, но и повысить экономическую целесообразность переработки данного сельскохозяйственного растения [7].

Цель настоящего исследования – разработка метода синтеза ГПМЦ технического качества из целлюлозы, выделенной из пеньки, с использованием диметилсульфата и окиси пропилена в качестве алкилирующих агентов.

Для достижения поставленной цели было необходимо решить следующие задачи: подобрать оптимальные условия проведения реакции в гетерогенной среде (толуол/ изопропанол); получить образец гидроксипропилметилцеллюлозы и составить его комплексную характеристику с применением методов ЯМР-спектроскопии на ядрах ¹H и ¹³C для подтверждения химической структуры; определить основные технические параметры полученного эфира, включая степень замещения, молярную степень замещения и динамическую вязкость 2 %-ного водного раствора (по Брукфильду).

ОБЗОР ЛИТЕРАТУРЫ

Классический промышленный синтез ГПМЦ заключается в последовательном алкилировании щелочной целлюлозы хлорметаном и окисью пропилена. Этот процесс, как правило, проводится в автоклавах под давлением, что требует специализированного и дорогостоящего оборудования [8]. Разработка лабораторных методик синтеза, воспроизводимых в стандартных условиях при атмосферном давлении, выступает важной задачей, так как это упрощает и удешевляет реализацию исследований по модификации целлюлозы и оптимизации процессов, особенно на этапе опытно-лабораторных испытаний новых видов сырья.

В лабораторной практике для осуществления реакции этерификации в мягких условиях нередко применяют активные алкилирующие агенты, в частности диметилсульфат2. Реакцию часто проводят в гетерогенной среде, используя смеси органических растворителей (например, толуола и изопропанола), которые обеспечивают эффективное набухание целлюлозной матрицы и доступ реагентов к гидроксильным группам без растворения самого полимера [9].

Таким образом, разработка лабораторной методики синтеза ГПМЦ из альтернативного сырья в условиях атмосферного давления представляет собой актуальную научную и практическую задачу, решение которой откроет новые перспективы для исследований в области модификации целлюлозы и будет способствовать созданию более экономичных промышленных технологий.

  • 2    Vogel A. I., Furniss B. S. Vogel's Textbook of Practical Organic Chemistry. Harlow: Longman, 1989. 1514 p.

Technical sciences                                                            403

МАТЕРИАЛЫ И МЕТОДЫ

Исходные материалы и реактивы. Образцы пеньки (технической конопли), содержащие целлюлозу, были предоставлены ООО «Мордовские пенькозаводы» (Мордовия, г. Инсар), оксид пропилена – ПАО «Нижнекамскнефтехим» (Татарстан, г. Нижнекамск). Диметилсульфат, гидроксид натрия, изопропиловый спирт, уксусная кислота приобретались в АО «ВЕКТОН» (г. Санкт-Петербург).

Все химические реактивы использовались в исходном состоянии (без дополнительной очистки).

Инструментальные методы анализа. Спектра регистрировали на ИК-Фурье-спек-трометре «Инфра ЛЮМ ФТ-08» в диапазоне 400–4 000 см–1 с разрешением 4 см–1. Для повышения качества данных использовалась аподизация функций Бесселя. Время накопления – 60 с. Температура окружающей среды при нормальном атмосферном давлении и относительной влажности воздуха не выше 80 % составляла 20–25 °C.

Обработка спектров осуществлялась с помощью программного обеспечения «СпектраЛЮМ» (версии 2.0.1.295).

Спектра ЯМР 1Н и13С получали на спектрометре JEOL JNM ECX-400 (9,39 Т, 100,5 MГц) для растворов в D2O/H2O на частоте 100,5 МГц с использованием стандартной импульсной последовательности с увеличением времени релаксации (Т1) до 5 с без использования эффекта NOE.

Обработка спектров проводилась с помощью программы ACD/NMR Processor Academic Edition (версии 12.01).

Подготовка образцов для ЯМР-анализа. Перед регистрацией спектров ЯМР образцы ГПМЦ подвергали гидролизу для снижения вязкости растворов.

Методика гидролиза: 0,10 г эфира целлюлозы растворяли в 2 мл 4 %-ного раствора трифторметансульфоновой кислоты в D2O и нагревали в запаянной стеклянной ампуле при 100–110 °С в течение 90 мин. После окончания реакции смесь центрифугировали и отбирали пробу 0,9 мл для ЯМР-спектроскопии ¹H и ¹³C.

Измерение динамической вязкости. Динамическую вязкость определяли на ротационном вискозиметре Brookfield DV-II+PRO (Brookfield Engineering Laboratories, Inc., США) для 1 %-ных водных растворов ГПМЦ.

РЕЗУЛЬТАТЫ ИССЛЕДОВАНИЯ

Получение гидроксипропилметилцеллюлозы. Грубоизмельченные волокна пеньки выдержали в сушильном шкафу при 100–105 °C в течение 6 ч, затем – измельчали до фракции 0,1–0,2 мм на дробилке для зерна «Фермер» (Уралспецмаш, г. Миасс).

Полученный порошок пеньки обрабатывали 30 %-ным раствором гидроксида натрия. Для этого 30 г растительного материала в течение 24 ч замачивали при комнатной температуре в растворе щелочи, приготовленном из 40 г сухого NaOH и 80 мл воды.

Осадок растительного материала отфильтровывали на воронке Бюхнера под вакуумом и подсушивали в сушильном шкафу при 100–110 °С в течение 3 ч. Полученную массу помещали в круглодонную трехгорлую колбу объемом 1 л, снабженную механической мешалкой, и заливали 20 мл 40 %-ного раствора гидроксида натрия, а также смесью 210 мл толуола и 80 мл пропанола-2.

Реакционную смесь интенсивно перемешивали при нагревании до 40–45 °С на протяжении 1 ч. Затем к ней добавляли диметилсульфат (0,35 моль; 44,15 г; 33,2 мл) и окись пропилена (0,11 моль; 6,4 г; 7,5 мл), после чего вновь интенсивно перемешивали при той же температуре в течение 6 ч. По окончании реакции продукт отфильтровывали под вакуумом.

Полученный осадок подсушивали на воздухе в течение 1–2 ч, затем помещали в химический стакан и нейтрализовали раствором уксусной кислоты (массовая доля кислоты 40 %) до pH 3–4 (требуется 50–60 мл). Сразу после нейтрализации продукт отфильтровывали под вакуумом. Осадок на фильтре промывали изопропиловым спиртом.

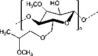
Окончательная сушка проводилась в два этапа: на воздухе – в течение 24 ч; в сушильном шкафу при 100–105 °С – еще 6 ч. В результате получили 35 г светло-коричневого порошка. На рисунке 1 приведена схема получения ГПМЦ.

NaOH

H 2 O

(CH ) 2 SO 4

Р и с . 1 . Схема получения гидроксипропилметилцеллюлозы с использованием окиси пропилена и диметилсульфата, созданная в программе ChemDraw

F i g . 1 . Scheme for obtaining hydroxypropylmethylcellulose using propylene oxide and dimethyl sulfate, created in ChemDraw software

Источник : здесь и далее рисунки составлены авторами Source : here and further, tables are compiled by the authors

Для изучения влияния алкилирующих реагентов на процесс синтеза было проведено пять экспериментов, в которых варьировали количество диметилсульфата и окиси пропилена. В таблице приведены сетка экспериментов, а также параметры замещения и вязкости полученных образцов ГПМЦ.

Таблица. Параметры замещения и вязкости экспериментальных образцов

Table. Substitution and viscosity parameters of experimental samples

Масса диметилсульфата (C2H6O4S), г / Dimethyl sulfate mass, g

Масса окиси пропилена (C3H6O), г / Propylene oxide mass, g

Параметры замещения / Substitution parameters

Вязкость 1 %-ного водного раствора, Па · с /

Viscosity of 1 % aqueous solution, Pa · s

Выход, % / Yield, %

DS (метил) / DS (methyl)

Х MeО , % / Х MeО , %

MS (2-ги-дроксипро-пил) / MS (2-hydroxy-propyl)

Х ГПО , % / Х HPO , %

1

2

3

4

5

6

7

8

Эксперимент № 1 / Experiment no. 1

30,00

5,00

1,41

21,76

0,21

8,12

35

81

Эксперимент № 2 / Experiment no. 2

40,00

6,00

1,65

24,62

0,24

9,04

40

78

Эксперимент № 3 / Experiment no. 3

44,15

6,40

1,75

25,52

0,31

11,37

44

77

Окончание таблицы / End of table

1

2

3

4

5

6

7

8

Эксперимент № 4 / Experiment no. 4

50,00

7,00

1,85

26,44

0,41

14,53

49

79

Эксперимент № 5 / Experiment no. 5

55,00

7,50

2,18

30,19

0,48

16,34

58

76