Локальная устойчивость упругого стержня в среде с постоянным сопротивлением

Бесплатный доступ

В статье рассматривается анализ деформированной формы локальной потери устойчивости подкрепленного гибкого стержня, происходящей вследствие ограниченного расширения при нагреве. Множество упругих опор стержня моделируется как упругая среда, которая оказывает постоянное сопротивление продольным и поперечным перемещениям стержня. Стержень бесконечной длины разбивается на участок выпучивания и прилегающий участок сжатия. Длина участков неизвестна и подлежит определению в ходе решения. Часть потенциальной энергии, накопленной при сжатии, тратится на работу внутренних сил при изгибной деформации после потери устойчивости, что приводит к падению величины сжимающей силы на участке выпучивания. Задача поиска функций перемещения и критического значения безопасной температуры нагрева ставится в форме системы нелинейных дифференциальных уравнений относительно деформаций на участках гибкого стержня. Решение производится методом конечных разностей, который переводит систему дифференциальных уравнений в систему линейных алгебраических уравнений. Эта система замыкается граничными условиями и условиями трансверсальности. Достаточное количество узлов сетки для составления разностной схемы определяется итерационной процедурой, которая сравнивает два соседних решения. Критерием сравнения является кортеж площадей под графиками искомых функций, которые вычисляются численным интегрированием методом трапеций. Полученное решение сравнивается с классическим решением задачи устойчивости аналогично нагруженного стержня, которое не учитывает продольных перемещений, и с известным решением из области эксплуатации длинномерных железнодорожных путей, не учитывающих сопротивление продольным перемещениям на участке выпучивания. Уточнение результатов, полученное предложенным модифицированным методом расчета параметров деформированной формы гибкого стержня, имеет важное значение для контроля предкритического состояния моделируемой системы.

Еще

Локальная потеря устойчивости, стержень в упругой среде, нелинейные деформации, метод конечных разностей

Короткий адрес: https://sciup.org/148333110

IDR: 148333110   |   УДК: 539.3   |   DOI: 10.31772/2712-8970-2026-27-1-82-94

Local stability of an elastic beam in a medium with constant resistance

This article deals with the analysis of the deformed shape of local stability loss of a reinforced flexible beam, occurring due to constrained expansion during heating. The multiple elastic supports of the beam modeled as an elastic medium, which provides constant resistance to both longitudinal and transverse displacements of the rod. The infinitely long beam divided into a buckling region and an adjacent region under compression. The lengths of these regions are unknown and should be determined during the solution process. A part of the potential energy accumulated during compression is expended on the work of internal forces during bending deformation following the loss of stability. This leads to a reduction in the magnitude of the compressive force in the buckled region. The problem of determining the displacement functions and the critical value of the safe heating temperature is formulated as a system of nonlinear differential equations concerning the deformations in the regions of the flexible beam. The solution obtained using the finite difference method, which transforms a system of differential equations into a system of linear algebraic equations. This system takes the closed form with boundary conditions and transversality conditions. A sufficient number of grid nodes for constructing the difference scheme determined through an iterative procedure that compares two adjacent solutions. The criterion for comparison of solutions is a tuple of areas under the graphs of the sought functions, which are calculated through numerical integration using the trapezoidal rule. The obtained final solution compared with the classical solution to the stability problem of an evenly loaded beam, which does not take into account longitudinal displacements. Additionally, it is contrasted with the known solution in the field of operation of continuously welded railway tracks, which also disregards resistance to longitudinal displacements in the buckled region. The refined results obtained by the proposed modified method for calculation of the parameters of the deformed shape of a flexible beam is important for monitoring the pre-critical state of the modelling system.

Еще

Текст научной статьи Локальная устойчивость упругого стержня в среде с постоянным сопротивлением

Использование стержневых моделей является актуальным методом решения инженерных задач. Их преимущество – высокая степень соответствия между точными и численными решениями, относительная простота моделирования, решения и представления результатов в задачах определения напряженно-деформированного состояния. Отдельный класс задач составляют подкрепленные стержни, т. е. стержни, имеющие множество опор. Строго говоря, моделирование таких объектов должно производиться с дискретным подкреплением [1; 2]. Но при большом количестве близко расположенных опор подкрепление можно смоделировать распределенной нагрузкой, действующей на всей длине стержня. В последнем случае можно говорить о стержнях на упругом основании или в упругой среде. Задача устойчивости такого стержня под действием сжимающих сил в линейной относительно деформаций постановке рассмотрена в [3]. Деформации при этом происходят по всей длине стержня.

Феномен локальной потери устойчивости элементов конструкций наблюдается во многих областях техники [4; 5]. При определенных нагрузках и ограничениях качественное изменение характера деформации происходит не на всей длине или поверхности рассматриваемого тела, а только в его малой части. Математически эквивалентной задачей является задача температурной потери устойчивости железнодорожного рельсового пути большой длины. При ограничен- ном расширении вследствие нагрева в рельсах возникает сжимающая сила, которая может привести к выбросу. Наиболее полное решение подобной задачи впервые получено А. Кэрром [6–8]. В ходе решения задачи по определению безопасной температуры нагрева железнодорожного пути им получены соотношения, связывающие поперечные перемещения прямолинейного гибкого стержня с температурой нагрева и сжимающей силой.

Первая деформированная форма гибкого стержня показана на рис. 1.

Ось x направлена вдоль оси недеформированного стержня. Задача симметричная, стержень разбивается на два участка: на одном из них, участке выпучивания длиной L , происходят и продольные, и поперечные перемещения сечений стержня, на другом, прилегающем участке длиной A , – только сжатие. Особенностью постановки задачи по Кэрру является учет снижения величины сжимающей силы после потери устойчивости, при этом длины участков гибкого стержня, на которых происходит деформация, неизвестны. Автор предлагает точное решение задачи как решение замкнутой системы дифференциальных уравнений и ссылается на других исследователей, решающих подобную задачу приближенными методами. Дальнейшие исследования в этой области учитывают различное моделирование соединений в рельсошпальной решетке и сопротивление балластной призмы [9–15]. Также рассматриваются геометрическая нелинейность и динамические составляющие поперечной нагрузки в дополнение к сжимающим силам [16–21] и накопленные упругие деформации [22; 23]. Однако эти исследования проводятся, преимущественно, при помощи численных методов с использованием прикладных CAE-программ или моделированием собственных конечных элементов. Недостатком такого подхода к решению задачи является невозможность анализа деформированной формы прямолинейного стержня, так как при центральном сжатии прямолинейный стержень остается прямым. Для качественного изменения деформации нужно пользоваться искусственными приемами: вводить локальные неровности в модель стержня или неравномерности в модель его сопротивлений.

Рис. 1. Деформированная форма гибкого стержня

  • Fig. 1.    Deformed shape of a flexible beam

В известном решении [7; 8] рассматриваемой задачи используются следующие допущения. Продольные и поперечные сопротивления относительному перемещению в соединении рельсошпальной решетки считаются абсолютно жесткими, а сопротивление повороту не учитывается. Тогда рельсошпальная решетка заменяется эквивалентным стержнем с соответствующими характеристиками поперечного сечения и под сопротивлением далее понимается сопротивление в относительном перемещении опор и основания. Сопротивление продольному перемещению на участке с поперечными перемещениями незначительно и им можно пренебречь. Это приводит к постоянству сжимающей силы на участке. Величина продольного и поперечного сопротивлений постоянна. Зависимость между температурой нагрева и поперечными перемещениями не однозначна, вследствие существования неустойчивой ветви равновесия деформированной формы. Это приводит к следующей форме решения: все параметры деформированной формы выражаются через величину сжимающей силы на участке выпучивания. Принимая некоторое значение этой силы, получаем решения для функций продольного и поперечного пере- мещений сечений стержня. А перебор значений силы в разумном диапазоне позволяет получить зависимость между наибольшими поперечными перемещениями и сжимающей силой или температурой нагрева стержня.

Постановка задачи

В данной работе предлагается модификация исходного решения из [7; 8] с учетом сопротивлений на всех участках гибкого стержня (рис. 2). При ограниченном расширении под действием температуры в стержне возникает сжимающая сила N t . На участке локальной потери устойчивости эта сжимающая сила уменьшается после деформации стержня и принимает значение N t . На рис. 2, а показан график изменения сжимающей силы в случае, когда продольным сопротивлением на участке с поперечными перемещениями пренебрегают [7]. На рис. 2, б показан график изменения сжимающей силы с учетом продольного сопротивления на всех участках. Величина силы N t – это параметр, перебором которого получаем решения. Графики на рис. 2 условные, величина A гораздо больше величины L , а сжимающая сила, строго говоря, изменяется нелинейно.

б

Рис. 2. Сжимающие силы на участке локальной потери устойчивости:

а – пренебрежение сопротивлением продольным перемещения на участке выпучивания;

б – учет сопротивления продольным перемещениям на участке выпучивания

  • Fig. 2.    Compressive forces in the area of local loss of stability:

a – neglecting of the resistance to longitudinal displacement in the buckling region;

б – taking into account the resistance to longitudinal displacement in the buckling region

Система уравнений, описывающая деформированную форму гибкого стержня на участке локальной потери устойчивости с учетом переменного сопротивления, имеет следующий вид:

( J L )’- ( EF ( e l -a T ) v L ) '=-p ;

■       ( EF ( e l -a T ) ) =- r ;                                  (1)

( EF (e a -a T})=- r, где е n

= u ‘ +- ( v )

n 2 n

, n = A, L - деформации на участке; un = un ( x ) - продольные перемещения на

участке; vn = vn ( x ) - поперечные перемещения на участке; р - сопротивление поперечным перемещениям; r – сопротивление продольным перемещениям; E – модуль Юнга; J – осевой момент инерции поперечного сечения эквивалентного стержня; F – площадь поперечного сечения эквивалентного стержня; а - коэффициент линейного температурного расширения; T - температура нагрева. Деформация е L относится к участку с продольными и поперечными перемещениями, деформация е A - к участку без поперечных перемещений. Все операции дифференцирования производятся по переменной x .

С учетом графика сжимающей силы на рис. 2, б , первый интеграл второго уравнения в (1) можно записать в виде

EF ( е L - а T ) = - N t - rx .

Тогда, принимая во внимание выражение для деформаций и тот факт, что на участке без поперечных перемещений vA = 0, перепишем систему уравнений (1) относительно перемещений u и v :

( EJv L )" + ( ( N + rx ) v L ) '=-р ;

EF ^ u L + 2 ( v L ) 2 —а T j| =- r ;

( EF ( u A - а T ) ) =- r .

Численная реализация

Раскроем скобки в первом уравнении системы (2):

v L +

( N +4 v -+ -L v ;=

EJ L EJ L EJ

Переведем континуальную систему в дискретную методом конечных разностей. Нанесем на участке L равномерную сетку с количеством узлов n . Для аппроксимации производных поперечного перемещения разностными схемами выберем пятиточечный шаблон. Заменим значения производных в узлах сетки их дискретными аналогами:

v L =

( v L ) j + 1 -( v L ) j - 1

2h vL =

v „ JvLj-A v Ll+t v j

L                 h 2                ;

( v jl-^ v j+^ v j-^

2 h 3

v L "=

( vL )j+2 - 4 ( vL ) j+1 + 6 ( vL ) j - 4 ( vL ) j -1 + ( vL ) j-2 h4

где h = L /( n – 1) – шаг равномерной сетки. Подставляя эти выражения в (3), после преобразований, получаем разностную схему для вычисления поперечных перемещений сечений гибкого стержня:

( v L ) j + 2

' h 2 ( N t + rx j )

EJ

\

3 h 3 r

+--4

2 EJ

( v L ) j + 1

+

6 -

\

2 h 2 ( N t + rx j ) '

EJ

( v L ) J

+

' h 2 ( N t + rxJ )

EJ

h 3 r

2 EJ

- 4 ( v L ) J - 1 7

+ ( v L ) j - 2

h 4p

EJ .

Записывая такие уравнения для всех точек сетки, получаем систему из n уравнений, в которые входят n +4 неизвестных перемещений в узлах. Лишние неизвестные – это перемещения законтурных узлов, которые появляются при записи уравнений (5) в узлах на границе контура стержня. Запишем граничные условия для функции поперечных перемещений на участке L :

v L ( 0 ) = 0; v L ( 0 ) = 0; V l ( L ) = 0; v L ( L ) = 0. (6)

В рассматриваемой постановке задачи устойчивости неизвестны длины ни всего гибкого стержня, ни его участков. Тогда для замыкания решения нужно добавить уравнение трансверсальности – условие того, что конец деформированной формы стержня на рассматриваемом участке лежит на прямой, совпадающей с осью абсцисс:

v1(L ) = 0.

Теперь раскроем скобки в оставшихся двух уравнениях (2):

u l + V l V l =

r

. EF

u A =

r

. EF

В этой системе каждое уравнение описывает продольные перемещения на одном участке стержня. При построении разностной схемы, на каждом из участков строится отдельная сетка (рис. 3). Количество узлов в каждой сетке одинаковое, длина участков различна и, соответственно, шаги сеток тоже разные. При записи разностных уравнений в каждой точке сеток, на каждом из участков появляются независимые законтурные узлы.

Рис. 3. Равномерные сетки на участках гибкого стержня

  • Fig. 3.    Uniform grids on the flexible beam regions

Рассмотрим эту систему как уравнения только относительно продольных перемещений u и заменим соответствующие производные на разностные аналоги:

( U L J1 - 2 ( U L ) j + ( 4 ) j - 1 =- ( V L ) j ( V LJ - i f •

^                                              EF                       (8)

[        (Ua )j+i - 2(Ua )j+(Ua )j-1 =-Er, где h1 = h – шаг сетки на участке выпучивания, h2 = A/(n – 1) – шаг сетки на прилегающем участке. Граничные условия для функции продольных перемещений складываются из условий на концах стержня и условий сопряжения участков:

u L ( 0 ) = 0; u A ( L 0 ) = 0; u L ( L ) = u A ( L ) ; u L ( L ) = u A ( L )

Для замыкания решения добавим условие того, что конец деформированной формы стержня лежит на прямой, совпадающей с осью абсцисс:

u A ( L 0 ) = 0

Теперь задача вычисления перемещений сечения гибкого стержня при заданной сжимающей силе сводится к задаче решения системы линейных алгебраических уравнений C·w = b. Здесь

C =

(c

v

0 ^

C u )

– блочная матрица, состоящая из матрицы Cv коэффициентов при поперечных

перемещениях v , включающей в себя уравнения (5), записанные для всех узлов первого участка совместно с граничными условиями (6) и (7), и матрицы Cu коэффициентов при продольных перемещениях u , состоящей из уравнений (8), записанных для всех узлов сетки на обоих участках стержня, совместно с граничными условиями (9) и (10). w = ( v ; u )T – вектор перемещений сечений стержня, состоящий из перемещений v = vL и u = ( uL ; uA )T. b = ( bv ; bu )T – вектор свободных членов, состоящий из вектора bv правых частей уравнений относительно v и вектора bu правых частей уравнений относительно u . Окончательно можно записать

C v

I 0

0 ¥ v

Cu к

u

(b A bv

\ bu У

.

Блочная форма матрицы C позволяет вычислить поперечные перемещения на участке выпучивания v независимо от остальной части модели решением системы уравнений Cv · v = bv . По значению функции v j в узлах сетки можно вычислить и значения производных этой функции в узлах, которые, при подстановке в (8), позволяют получить значения продольных перемещений ( uA ) j и ( uL ) j в узлах сетки решением системы Cu · u = bu .

Рис. 4. Блок-схема решателя

Fig. 4. Flowchart of the solver

Достаточное количество узлов сетки определяется путем сравнения двух соседних решений. В качестве начального приближения принимается количество узлов n в шаблоне разностной аппроксимации. Если относительная разность площадей под графиками функций соседних решений не превышает наперед заданного значения ε , итерационный процесс поиска достаточного количества узлов останавливается. В противном случае увеличивается количество узлов сетки на количество узлов в разностном шаблоне. Значения функции между соседними значениями в узлах определяются линейной интерполяцией. Площадь под графиком вычисляется при помощи численного интегрирования методом трапеций. Такой критерий вычисляется для функций поперечного перемещения v и продольного перемещения u . А также для первой и второй производной функции v . Блок-схема алгоритма вычисления функций перемещения представлена на рис. 4.

Результаты расчета

Расчет проведен в системе компьютерной алгебры с использованием параметров эквивалентного стержня из работ [7; 8], переведенных в СИ: E = 2,06·105 МПа, J = 8,99·106 мм4, F = 1,45·104 мм2, α = 1,05·10–5 °С–1, ρ = 5,886 Н/мм, r = 9,81 Н/мм. Значение останова алгоритма ε = 0,001. Сравнение результатов расчета для наименьшей величины сжимающей силы на участке выпучивания Nt = 882,9 кН приведено в табл. 1. Расчет номер 1 – решение без продольных перемещений из [3], расчет номер 2 – решение без учета продольного сопротивления на участке выпучивания из [7], расчет номер 3 – решение с учетом продольных сопротивлений на всех участках деформированного стержня. Продольные перемещения в расчете 1 не определены (значение «н/о» в таблицах), участок без поперечных перемещений в модели отсутствует. В качестве расчетной длины стержня, которая должна быть известна заранее, принимается длина участка выпучивания, полученная в расчете 3.

Таблица 1

Результаты расчета параметров деформированной формы при Nt = 882,9 кН

Номер расчета

Температура нагрева T , °С

Длина участка L , м

Длина участка A , м

Наибольшие поперечные перемещения v , мм

Наибольшие продольные перемещения u , мм

1

28,15

6,423

н/о

219,68

н/о

2

43,69

6,502

51,447

219,41

4,23

3

44,61

6,424

47,605

205,88

3,67

Анализ результатов в табл. 1 показывает, что поперечные перемещения в расчетах 1 и 2 очень близки, разница между ними составляет 0,12 %. При использовании в расчете 1 в качестве расчетной длины стержня двойной длины участка L из расчета 2, они получаются еще ближе и разница между ними уменьшается до 0,06 %. Наибольшие поперечные перемещения тогда составят 219,54 мм. При этом безопасная температура нагрева в расчете 1 имеет заниженное значение по сравнению с результатами расчетов, учитывающих продольные перемещения сечений стержня. Уточненный расчет 3 показывает более низкие продольные и поперечные перемещения сечений стержня по сравнению с известным решением расчета 2. При этом значение температуры нагрева получается более высоким. В табл. 2 приведено сравнение результатов расчета для температуры T = 50 °С.

Расчет 1 показывает неудовлетворительные результаты для закритической области. Помимо очень большого значения сжимающей силы, деформированная форма содержит несколько полуволн. Расчет 3 показывает меньшие деформации по сравнению с расчетом 2. Но большее падение сжимающей силы при меньших перемещениях сечений гибкого стержня.

Графики поперечных и продольных перемещений сечений гибкого стержня при величине сжимающей силы N t = 882,9 кН приведены на рис. 5. Сплошной синей линией показаны функции перемещений, полученные в расчете 2, прерывистой красной линией – функции из расчета 3.

а                                              б

Рис. 5. Функции перемещения в расчетах 2 и 3 при сжимающей силе Nt = 882,9 кН: а – поперечные перемещения v ; б – продольные перемещения u

Fig. 5. Displacement functions in solutions 2 and 3 under compressive force N t = 882,9 kN: a – lateral displacement v ; б – longitudinal displacement u

а                                              б

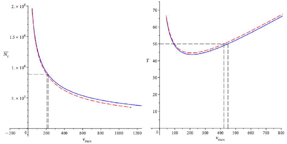
Рис. 6. Зависимости сжимающей силы на участке выпучивания и температуры нагрева от наибольших поперечных перемещений:

а – сжимающая сила N t ( v max ); б – температура нагрева T ( v max )

Fig. 6. Compressive force in the buckling region and the heating temperature as functions of the largest lateral displacement:

a – compressive force Nt ( v max); б – heating temperature T ( v max)

Результаты расчета параметров деформированной формы при T = 50 °C

Таблица 2

Номер расчета

Сжимающая сила на участке L N̅ t , кН

Длина участка L , м

Длина участка A , м

Наибольшие поперечные перемещения v , мм

Наибольшие продольные перемещения u , мм

1

1568,25

6,994

н/о

443,29

н/о

2

617,05

7,777

100,427

449,19

15,81

3

602,19

7,709

93,526

422,15

13,88

Графики зависимости между наибольшими поперечными перемещениями стержня и величиной сжимающей силы Nt в центре деформированной области, и температурой нагрева T приведены на рис. 6.

Заключение

Рассмотрен подход к решению задачи температурной устойчивости подкрепленного гибкого стержня. Достоинством предложенного решения является учет сопротивления продольному перемещению на всех участках стержня. Анализ результатов, приведенных в табл. 1 и 2, а также на рис. 5 и 6 показывает, что уточненное решение дает более высокое значение безопасной температуры нагрева, а также большее падение сжимающей силы на участке выпучивания при одинаковой температуре. Уточнение величины перемещений сечений стержня при потере устойчивости важно для контроля предкритического состояния. Также можно отметить, что классическое решение задачи потери устойчивости стержня в [3], не учитывающее продольных перемещений и падения сжимающей силы на участке выпучивания, дает неудовлетворительные результаты. Снижение величины сжимающей силы, которое происходит вследствие затрат части потенциальной энергии, накопленной при сжатии, на изгиб гибкого стержня после потери устойчивости, оказывает важное влияние на величину деформаций и критическую температуру. Предполагается развитие предложенного подхода при помощи учета нелинейного характер сопротивлений упругого основания продольным и поперечным перемещениям. А также получение подобных решений для следующих форм потери устойчивости. Помимо рассмотренной симметричной формы практически важное значение имеют асимметричная форма и формы с большим количеством полуволн.