Модель формирования рациональной структуры цифровой системы менеджмента качества машиностроительного предприятия
Автор: Е.К. Савич, А.И. Хаймович
Журнал: Известия Самарского научного центра Российской академии наук @izvestiya-ssc
Рубрика: Машиностроение и машиноведение
Статья в выпуске: 6 т.27, 2025 года.
Бесплатный доступ
В статье представлена математическая модель формирования рациональной структуры цифровой системы менеджмента качества (СМК), учитывающая организационно-функциональные риски, барьеры и эффекты цифровизации процессов, а также ресурсные ограничения предприятия. Актуальность исследования обусловлена тем, что полная цифровизация всех процессов СМК в реальных условиях редко является экономически оправданной или организационно достижимой. Следовательно, возникает необходимость в научно обоснованном подходе, позволяющем определить рациональную структуру цифровой СМК, обеспечивающую баланс между уровнем цифровизации, управляемостью рисками и эффективностью функционирования системы. Предложен методологический подход, основанный на количественном определении уровня риска и уровня цифровизации каждого процесса СМК. Для учёта неопределённости исходных данных и субъективности экспертных оценок модель основана на нечеткой системе логического вывода. Такое решение обеспечивает гибкость и адаптивность модели, а также возможность ее практического применения в условиях неопределенности экспертных оценок. Разработанная модель формирует основу для аналитического выбора процессов, требующих приоритетной цифровизации, и оптимизации распределения ресурсов предприятия. Она позволяет определить рациональный уровень цифровизации каждого процесса, обеспечивающий достижение заданных показателей результативности и эффективности при минимальных затратах. Практическая реализация модели даёт возможность оценить взаимное влияние рисков и цифровизации на устойчивость всей системы менеджмента качества, а также выстроить адаптивную стратегию ее цифровой трансформации.
Система менеджмента качества, цифровизация процессов, математическая модель, нечеткая логика, уровень риска, уровень цифровизации, рациональная структура, управление качеством, цифровая зрелость, ресурсные ограничения
Короткий адрес: https://sciup.org/148332853
IDR: 148332853 | УДК: 658.562 | DOI: 10.37313/1990-5378-2025-27-6-124-132
Model for Forming a Rational Structure of a Digital Quality Management System for a Machine-Building Enterprise
The article presents a mathematical model for forming a rational structure of a digital quality management system (QMS), taking into account organizational and functional risks, barriers, and effects of process digitalization, as well as the enterprise’s resource constraints. The relevance of the study is due to the fact that the full digitalization of all QMS processes in real conditions is rarely economically justified or organizationally achievable. Therefore, there is a need for a scientifically grounded approach that allows determining a rational structure of a digital QMS, ensuring a balance between the level of digitalization, risk management, and the system’s efficiency. A methodological approach based on the quantitative determination of the risk level and the level of digitalization of each QMS process is proposed. To account for the uncertainty of the initial data and the subjectivity of expert assessments, the model is based on a fuzzy inference system. This solution ensures the fl exibility and adaptability of the model, as well as its practical application in the context of uncertainty in expert assessments. The developed model forms the basis for the analytical selection of processes that require priority digitalization and the optimization of resource allocation within the enterprise. It allows you to determine the optimal level of digitalization for each process, ensuring that you achieve the desired results and efficiency at the lowest possible cost. The practical implementation of the model enables you to assess the impact of risks and digitalization on the sustainability of your entire quality management system, as well as to develop an adaptive strategy for its digital transformation.
Текст научной статьи Модель формирования рациональной структуры цифровой системы менеджмента качества машиностроительного предприятия
Современные условия цифровой трансформации промышленности требуют принципиально нового подхода к проектированию и функционированию систем менеджмента качества (СМК). Традиционные СМК, ориентированные преимущественно на документированные процедуры и линейные управленческие связи, всё чаще интегрируются с цифровыми сервисами предприятий. Однако процесс цифровизации СМК сталкивается с рядом объективных ограничений, связанных с ресурсами, зрелостью процессов и неоднородностью организационной структуры предприятий [1-4].
Современная практика управления качеством демонстрирует, что полная цифровизация всех процессов СМК в большинстве случаев оказывается либо экономически нецелесообразной, либо организационно невыполнимой. Это обусловлено как различной значимостью процессов для достижения целей по качеству, так и неравномерным распределением ресурсов, компетенций и цифровой инфраструктуры на предприятиях. Следовательно, возникает необходимость в методологически обоснованном подходе к формированию рациональной структуры цифровой СМК, в которой уровень цифровизации каждого процесса определяется не произвольно, а с учётом его влияния на общую устойчивость и результативность системы.
Ключевыми факторами, определяющими целесообразность цифровизации отдельных процессов, выступают:
-
- организационно-функциональные риски, характеризующие возможные нарушения стабильности и результативности выполнения процессов;
-
- влияние цифровизации на снижение данных рисков, выражающееся в повышении точности, скорости и прозрачности процессов СМК;
-
- наличие барьеров цифровизации, связанных с технологическими, кадровыми или нормативными ограничениями;
-
- ресурсные возможности предприятия, определяющие допустимые пределы инвестиций в цифровую трансформацию.
Таким образом, задача рационализации структуры цифровой СМК сводится к поиску такого сочетания цифровизованных процессов, которое при заданных ресурсных и организационных ограничениях обеспечивает требуемый уровень результативности и эффективности СМК предприятия.
Для решения данной задачи предлагается построение математической модели формирования рациональной структуры цифровой СМК, основанной на двухэтапном подходе:
-
1) определение численного значения уровня риска процессов СМК, учитывающего вероятность возникновения рисков, значимости рисков по отношению к целям по качеству и последствий возникновения рисков для системы в целом;
-
2) определение уровня цифровизации процессов, позволяющего оценить влияние внедрённых цифровых инструментов на снижение рисков и повышение управляемости.
Особенностью СМК является высокая степень неопределённости и субъективности исходных данных, поэтому количественная оценка рисков зачастую ограничена экспертными суждениями. В таких условиях целесообразно использовать нечёткую систему логического вывода, позволяющую интерпретировать экспертные оценки в лингвистической форме и преобразовывать их в количественные показатели [5, 6].
Применение нечеткой логики обеспечивает гибкость моделирования, позволяет учесть неопределенность и многокритериальность управленческих решений, а также формализовать процесс выбора рациональной структуры цифровой СМК. Разработанная модель ориентирована на практическое использование при проектировании и оптимизации цифровых СМК, обеспечивая баланс между уровнем цифровизации, управляемостью рисками и эффективностью функционирования организации.
ОПРЕДЕЛЕНИЕ УРОВНЯ РИСКА ПРОЦЕССОВ СМК
Для построения рациональной структуры цифровой СМК необходимо количественно оценить влияние каждого процесса на устойчивость и результативность всей системы. Поскольку степень цифровизации напрямую связана с уровнем управляемости рисками, первым этапом моделирования является определение численного значения уровня риска процессов СМК. Такая оценка позволяет выявить критические процессы, где вероятность сбоев или несоответствий наиболее велика.
Расчет уровней риска учитывает вероятность возникновения риска, его значимость по отноше- нию к целям по качеству и последствия к которым возникновение данного риска может привести. При этом важным условием является возможность интерпретации экспертных суждений, так как точная количественная информация в управлении СМК, как правило, отсутствует.
Для каждого процесса Р. формируется множество рисков Р’., которые могут повлиять на СМК предприятия:
W^H^r^.....М S =? '
где : = 1 .. ” - количество рисков j -го процесса.
Оценка рисков проводится методом экспертного анализа:
-
л. ^ _2 1 - экспертная оценка вероятности возникновения i -ого риска j -го процесса;
-
S. Е '2 / - экспертная оценка значимости i -ого риска j -го процесса по отношению к целям качества;
-
•'. Е _ 2 1 - экспертная оценка последствия возникновения i -ого риска j -го процесса.
Расчет уровня риска проводится по формуле:
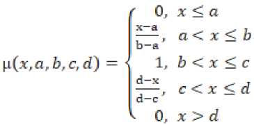
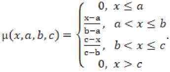
, а ~ ((“■/‘. где л - нечеткая оценка вероятности возникновения риска, 5 - нечеткая оценка значимости риска, С - нечеткая оценка последствия возникновения риска. Фазификация входных параметров проводится путем перевода в нечеткие лингвистические переменные с помощью функций принадлежности, при назначении на каждую лингвистическую переменную лингвистических терм. Для входных лингвистических терм используется функция типа «трапеция», которая параметризуется по четырем точкам , где : . Для выходов системы (выходных лингвистических термов) применяется функция принадлежности типа «треугольник», которая параметризуется по трем точкам , где : Причем все функции удовлетворяют условиям: ; для любого существует хотя бы один терм . На рис. 1 представлена система, предназначенная для оценки уровня риска процесса СМК. Рис. 1. Принципиальная схема нечеткой логики Мамдани оценки уровня риска процесса СМК На рис. 2 представлены графики разметки функций принадлежности входных и выходных пере- менных оценки уровня рисков. б) в) Рис. 2. Графики разметки функций принадлежности термов: а) «Вероятность риска» (низкая, средняя, высокая); б); «Значимость риска» (малозначимый, умеренный, критичный); в) «Последствия риска» (мягкий, средний, тяжелый); г) «Уровень риска» (низкий, средний, высокий) г) При этом: - низкий уровень риска обозначает, что риск практически не представляет угрозы или его вероятность и последствия очень малы; - средний уровень риска означает, что риск возможен и требует внимания, но его уровень не критичен; - высокий уровень риска требует обеспечение необходимости принятия немедленных мер, так как риск представляет серьёзную опасность. Далее сформированы нечеткие правила для переменной выхода «уровень риска» в пространстве трех координат, где две координаты – парные соотношения входных лингвистических переменных в числовом эквиваленте от 0 до 1, а третья координата – отклик системы нечеткого вывода : Если A «…» и S «…» и C «…», то R «…», где A, S, C - термы входных переменных, R - терм выходной переменной. В данном случае система содержит 27 правил. На рис. 3 представлены поверхности отклика нечеткого вывода для соотношений переменных при оценке уровня риска. а) б) в) Рис. 3. Поверхность отклика нечеткого вывода для соотношений переменных: а) «значимость риска» – «вероятность риска» при фиксированном значении переменной «последствия риска» равной 0,5; б) «последствия риска» – «вероятность риска» при фиксированном значении переменной «значимость риска» равной 0,5; в) «последствия риска» – «значимость риска» при фиксированном значении переменной «вероятность риска» равной 0,5 В целом, по правилам дефазификации результирующее значение уровня риска определяется как координата центра массы суммы всех выходных параметров (рис. 4). Выходом модели является вектор – уровни всех рисков процессов, входящих в структуру цифровой СМК, где n – число рисков всех процессов цифровой СМК. Рис. 4. Логика работа нечеткой системы определения уровня риска Таким образом, в результате получаем перечень процессов СМК, характеризующихся набором уровней рисков: ^P^R^ * 0 где р^ – j-й процесс,/ = 1,...,m – число процессов, входящих в СМК, R^ – уровень i-ого риска связанного с процессом P., i = 1,..., r – количество рисков j-го процесса. Так как, даже один высокий уровень риска из всего множества может существенно влиять на устойчивость процесса, то интегральный уровень риска всего процесса приравнивается к наибольшему из всех значений уровней риска: R^m = max^^^Rji') , тогда p = {(МяГРЛМя""}).....(₽„.«"») . Несмотря на обоснованную актуальность цифровизации процессов и процедур СМК также существуют и барьеры, которые могут возникнуть на данном этапе. В связи с этим после определения уровня рисков процессов СМК необходимо установить требуемый уровень цифровизации данных процессов, так как именно этот показатель отражает способность процессов эффективно функционировать в цифровой среде и компенсировать выявленные риски ОПРЕДЕЛЕНИЕ УРОВНЯ ЦИФРОВИЗАЦИИ ПРОЦЕССОВ СМК Уровень цифровизации характеризует глубину внедрения цифровых технологий, уровень автоматизации процессов, использование аналитических инструментов, а также интеграцию процессов в единую информационную инфраструктуру предприятия. Таким образом, количественная оценка уровня цифровизации процессов является вторым ключевым этапом построения математической модели формирования рациональной структуры цифровой СМК, обеспечивающим баланс между устойчивостью, результативностью и экономической целесообразностью внедрения цифровых инструментов. Определение уровня цифровизации позволяет связать результаты оценки рисков с возможностями их минимизации посредством цифровых решений. При этом входными параметрами модели являются: R "^ = Rj e [0,1] – результат вывода интегральной оценки уровня риска j-го процесса СМК; ^ E [0,1] – экспертная оценка эффекта влияния цифровизации j-го процесса СМК на деятельность предприятия; ^ E [0Д] – экспертная оценка негативных эффектов, препятствующих реализации цифровизации j-го процесса СМК. На рис. 5 представлена система, предназначенная для оценки уровня риска процесса СМК. Рис. 5. Принципиальная схема нечеткой логики Мамдани оценки уровня цифровизации процессов СМК Определение требуемого уровня цифровизации j-го процесса СМК 4 определяем по формуле: Lj = fMamdani (^' ^,D^,Lj E [0,1] , P = {(^^И)|’"ей},F = {(e,^(e))|eeE},D={(d,^(d))|deD}, где R – результат вывода нечеткой системы оценки уровня риска процесса СМК, Ё – нечеткая оценка положительного эффекта влияния цифровизации процесса СМК на деятельность предприятия, D – нечеткая оценка негативных эффектов, препятствующих реализации цифровизации процессов СМК; R, E, D – универсум (диапазон возможных значений) для каждой лингвистической переменной; , , - функции принадлежности, отражающие степень соответствия элемента множеству. На каждую лингвистическую переменную назначим лингвистические термы и в соответствии с (1) и (2) составим функции принадлежности. На рис. 6 приведены графики разметки функций принадлежности для входных и выходных лингвистических термов оценки уровня цифровизации процессов СМК. При этом уровень цифровизаци процесса: - уровень 0 – цифровизация процесса не осуществляется, процесс не включен в структуру цифровой СМК, рекомендуется цифровизовать процесс при наличии ресурсов; - уровень 1 – частичная цифровизация процесса, охват менее 30% объектов; - уровень 2 – частичная цифровизация процесса, охват более 60% объектов; - уровень 3 – автоматизированный процесс применяется повсеместно (охват более 90% объектов). В) Г) Рис. 6. Графики разметки функций принадлежности термов: а) «Уровень риска» (низкий, средний, высокий); б) «Эффект цифровизации» (слабый, умеренный, сильный); в) «Барьеры цифровизации» (отсутствуют, минимальные, умеренные, максимальные); г) «Уровень цифровизации» (уровень 0, уровень 1, уровень 2, уровень 3) Система нечетких правил для определения уровня цифровизации процессов СМК, содержит 36 правил. На рис. 7 представлены поверхности отклика нечеткого вывода для соотношений переменных при оценке уровня цифровизации процессов СМК. а) б) в) Рис. 7. Поверхность отклика нечеткого вывода для соотношений переменных: а) «эффект цифровизации» - «уровень риска» при фиксированном значении переменной «барьеры цифровизации» равном 0,5; б) «барьеры цифровизации» - «уровень риска» при фиксированном значении переменной «эффект цифровизации» равном 0,5; в) «барьеры цифровизации» - «эффект цифровизации» при фиксированном значении переменной «уровень риска» равном 0,5 На рис. 8 представлена логика работы нечеткой системы определения уровня цифровизации процессов СМК. Таким образом, на выходе для каждого процесса P} получаем уровень цифровизации l e [0,1] после дефаззификации. Рис. 8. Логика работы нечеткой системы определения уровня цифровизации процессов СМК Выводом решения является структурная модель цифровой СМК [7], представленная в виде те- пловой карты с цветовым отображением требуемого уровня цифровизации процесса (рис. 9). в системе ЦИФРОВАЯ СИСТЕМА МЕНЕДЖМЕНТА КАЧЕСТВА Управление СМК организации Определен не контексте организации Контекстная модель СМК Матрица Пронесения модель < МИ . требований потребите лей АмаЛИ! удовлетворенное 1И потреОиттлеА П«х «травления Оценка рисков продукта М МТ А управление качеством и* втапе проектирования и разработки продукции и процессов Оценки рисков и во маожнос тей процессов СМК прадутсшвт и СМИ (1хЛ» МП процессов Аудиты СМК, процесс ОТ, продукции Основные процессы СМК организации Управлении качеством на втапе производства СМК обеспечивающих процессов организации Управление ресурсами для и измерений монитсринга 3 в «работка матриц Управление инфраструктурой Управление технологическим оборудованием и сснасткой Управление компетентностью персонала Предиятивнат Рис. 9. Структурная модель цифровой системы менеджмента качества Ограничения математической модели представляют собой систему условий, определяющих допустимую область решений и обеспечивающих реалистичность получаемых результатов. Ведение системы ограничений позволяет перейти от теоретического описания взаимосвязей между рисками и цифровизацией к оптимизационной задаче, направленной на поиск рациональной структуры цифровой СМК, при которой обеспечивается максимальная результативность системы при задан- ных ресурсах и управляемых рисках. Ограничениями предложенной математической модели являются: - финансовые ограничения:^iZ/W^^ , - временные ограничения: S"=11№ ^ T , - кадровые ограничения: Ski h.w< н„„. гдеj = 1, ...,n– число процессов структуры СМК предприятия; fj^t^L) и h^ – финансовые, временные и кадровые ресурсы соответственно для цифровизации i-го процесса на уровень цифровизации L; L = {0,1,2,3} - уровень цифровизации j-го процесса; , ^max и ^max - установленные ограничения по бюджету, времени и кадрам, соответственно. Однако, предприятие уже может иметь цифровизованные процессы СМК. Для учета данных ограничений необходимо провести оценку сквозной цифровизации процессов СМК. По результатам оценки уровня цифровизации процессов в действующей системе, необходимо определить разницу между уровнями цифровизации действующей системы и требуемой в соответствии с тепловой картой структуры цифровой СМК (рисунок 9). Следовательно, ограничения примут вид: - финансовые ограничения: ^7=1 (ДО ~ fj^^} ^ F,nax, - временные ограничения на сценарий: S”=1 (t/L) - ^(Лдейсгв.)) < Tmax, - кадровые ограничения на сценарий: S"=1 (^(i) ^j (^действ.)) — Hmax, где Действ. = {04,2,3} - уровень цифровизации j-го процесса действующей системы СМК, причем если ^действ. > ^ , то требуемый уровень цифровизации принимается равным нулю (i = 0). ЗАКЛЮЧЕНИЕ При ограниченных ресурсах и неравномерной зрелости процессов СМК полная их цифровизация не всегда является рациональным и экономически оправданным решением, следовательно, разработанная математическая модель позволяет количественно описать взаимосвязь между рисками и уровнем цифровизацией процессов и определить оптимальную конфигурацию системы при заданных ресурсных ограничениях. Использование нечеткой системы логического вывода обеспечивает возможность обработки экспертных оценок и принятия решений в условиях неопределённости, характерной для управленческих и организационных задач. Модель формирования рациональной структуры цифровой СМК ориентирована на практическое применение при проектировании и совершенствовании СМК на предприятиях машиностроения. Использование модели способствует повышению управляемости процессами, снижению структурной избыточности, рациональному распределению ресурсов и формированию сбалансированной цифровой архитектуры СМК.



















