Оценка активности ферментов антиоксидантной системы в популяциях сосны обыкновенной Чернобыльской зоны отчуждения
Автор: Смирнова А.С., Ханова А.С., Гераськин С.А.
Рубрика: Научные статьи
Статья в выпуске: 4 т.34, 2025 года.
Бесплатный доступ
Оценена активность антиоксидантных ферментов супероксиддисмутазы, каталазы, аскорбатпероксидазы и глутатионпероксидазы в хвое сосны обыкновенной, подвергающейся хроническому радиационному воздействию в Чернобыльской зоне отчуждения. Исследовано влияние хронического облучения на уровень антиоксидантных ферментов при смене сезонов. Показано снижение активности супероксиддисмутазы и глутатионпероксидазы в хвое, собранной в зимний период на загрязнённых участках. Не обнаружено устойчивого изменения активности каталазы и аскорбатпероксидазы в хвое сосен Чернобыльской зоны отчуждения в ответ на хроническое облучение. Выявлены закономерности изменения уровней активности супероксиддисмутазы, аскорбатпероксидазы и глутатионпероксидазы в разные сезоны года. Продемонстрировано снижение активности двух антиоксидантных ферментов, участвующих в утилизации пероксида водорода, на фоне отсутствия повышенной генерации фермента супероксиддисмутазы в зимнее время.
Радиобиология, охрана окружающей среды, сосна обыкновенная, хроническое облучение, радиоадаптация растений, антиоксидантные ферменты, супероксиддисмутаза, каталаза, аскорбатпероксидаза, глутатионпероксидаза
Короткий адрес: https://sciup.org/170211342
IDR: 170211342 | УДК: 582.475.4:577.15:615.272:614.876(470) | DOI: 10.21870/0131-3878-2025-34-4-95-106
Evaluation of antioxidant enzyme activity in Scots pine populations from the Chernobyl exclusion zone
Activity of antioxidant enzymes superoxide dismutase, catalase, ascorbate peroxidase and glutathione peroxidase in Scots pine needles exposed to chronic radiation exposure in the Chernobyl exclusion zone was evaluated. Effect of radioactive contamination on the level of antioxidant enzymes during seasonal changes in Scots pine populations has been studied. Activity of superoxide dismutase and glutathione peroxidase in conifers collected in winter in polluted areas was reduced. There was no steady change in the activity of catalase and ascorbate peroxidase in pine needles of the Chernobyl exclusion zone in response to chronic radiation. We discover patterns of changes in the activity levels of superoxide dismutase, ascorbate peroxidase and glutathione peroxidase in different seasons of the year. Activity of two antioxidant enzymes involved in the utilization of hydrogen peroxide was reduced due to the absence of increased generation of superoxide dismutase enzyme in winter.
Текст научной статьи Оценка активности ферментов антиоксидантной системы в популяциях сосны обыкновенной Чернобыльской зоны отчуждения
В настоящее время всё больший интерес приобретает оценка воздействия облучения на живые организмы на участках с повышенным радиационным фоном. Такими участками являются обширные лесные территории, загрязнённые в результате крупных радиационных аварий на ПО «Маяк» (1957 г.) и на Чернобыльской АЭС (1986 г.). Влияние ионизирующего излучения на высшие растения представляет интерес в первую очередь для сельского хозяйства и экологии. Несмотря на важную роль, которую играют растения в современной биосфере, воздействие ионизирующего излучения на растения изучено гораздо хуже, чем на млекопитающих [1]. Ещё одна проблема связана с тем, что подавляющее большинство имеющейся в научной литературе информации об ответных реакциях растений на облучение получено в условиях контролируемых лабораторных и вегетационных экспериментов с высокими уровнями облучения. Полученная в полевых условиях информация о последствиях хронического облучения в популяциях растений носит фрагментарный характер, что связано со сложностью проведения и интерпретации результатов полевых исследований. Существенным доводом в пользу проведения полевых исследований является несоответствие между лабораторными тестами и полевыми данными, полученными на представителях биоты, обитающих в условиях хронического облучения [2]. В реальном мире на растения воздействует множество факторов разной природы, что невозможно учесть в рамках лабораторных исследований. Территория зоны отчуждения ЧАЭС, в рамках которой уровни радиоактивного загрязнения не формируют летальных доз, позволяет изучить отдалённые последствия хронического облучения для популяций растений. Анализ ответа антиоксидан-
Смирнова А.С. – мл. науч. сотр.; Ханова А.С. – науч. сотр..; Гераськин С.А.* – зав. лаб., д.б.н., проф. НИЦ «Курчатовский институт» – ВНИИРАЭ.
тных ферментов растений на низкодозовое хроническое облучение имеет большое значение для расширения наших представлений о механизмах адаптации растений к изменениям окружающей среды. Целью данной работы является оценка активности ферментов антиоксидантной системы в популяциях сосны обыкновенной, подвергающихся хроническому радиационному воздействию в Чернобыльской зоне отчуждения.
Материалы и методы
Объект исследования. Объектом исследования были выбраны популяции сосны обыкновенной ( Pinus sylvestris L.). Сосна обыкновенная обладает высокой радиочувствительностью и повсеместно распространена на территориях, загрязнённых в результате аварии на ЧАЭС, что делает её перспективным объектом для проведения исследований эффектов хронического облучения.
Экспериментальные участки и пробоотбор. Экспериментальные участки (Гнездинка, Масаны и Кулажин) расположены в Белорусском секторе Чернобыльской зоны отчуждения и характеризуются контрастным уровнем и составом радиоактивного загрязнения. Контрольные участки Рудинка 1 и Рудинка 2 находятся в Козелужском лесничестве Хойникского лесхоза. Мощности поглощённой в хвое дозы приведены в табл. 1. Подробное описание экспериментальных участков и методов оценки поглощённой растениями дозы приведены в работе [3].
Таблица 1
Мощность поглощённой в хвое дозы на экспериментальных участках [3]
|
Участок |
Рудинка 1 |
Рудинка 2 |
Гнездинка |
Масаны |
Кулажин |
|
Мощность поглощённой дозы, мГр/год |
0,8 |
0,7 |
3,3 |
38 |
87 |
Пробоотбор был проведён в мае и ноябре 2023 г. Для этого с 10-11 деревьев на каждом участке отбирали двухлетнюю хвою на высоте 12-16 м от земли и сразу фиксировали в жидком азоте.
Определение активности супероксиддисмутазы. Активность супероксиддисмутазы (SOD, КФ 1.15.1.1) определяли по ингибированию фоторедукции нитросинего тетразолия с помощью супероксидных радикалов, которые образуются при автоокислении рибофлавина в присутствии метионина и ЭДТА [4]. Методика была модифицирована.
Для анализа отбирали навеску хвои 0,05 г и гомогенизировали в жидком азоте с добавлением поливинилпиролидона (PVP). Гомогенат суспендировали в холодном 0,1 М калий-фосфатном буфере (pH=7,8) и центрифугировали в течение 20 мин при скорости 14500 об./мин на центрифуге с охлаждением (Eppendorf, Германия). Реакционную среду готовили последовательным смешением 490 мкл калий-фосфатного буфера, 100 мкл 1 мМ раствора ЭДТА, 100 мкл 1% раствора тритона Х-100, 100 мкл 0,13 М раствора метионина, 100 мкл 0,8167 мМ раствора нитроси-него тетразолия. Далее добавляли 100 мкл супернатанта. Реакцию запускали добавлением 10 мкл 0,58 мМ раствора рибофлавина и сразу помещали в условия освещения. По истечении 10 мин помещали пробирки в темноту, останавливая реакцию. Оптическую плотность измеряли на бескюветном спектрофотометре NanoDrop-2000 (Thermo Fisher Scientific, США) при длине волны 560 нм. Расчёт активности фермента проводили по формуле:
Г-!!^4Оо%, (1)
^к где Ак и Аоп – экстинкции контрольной и опытной проб.
За единицу активности супероксиддисмутазы считали такое количество фермента, которое снижает интенсивность окрашивания реакционной смеси на 50%.
Определение активности каталазы и аскорбатпероксидазы. Для оценки активности каталазы (CAT, КФ 1.11.1.6) и аскорбатпероксидазы (APX, КФ 1.11.1.11) из каждого образца отбирали навеску хвои, равную 0,1 г, и гомогенизировали в жидком азоте с добавлением поли-винилпирролидона (PVP). Осадок ресуспендировали в холодном 0,1 М калий-фосфатном буфере (рН=7,0) и центрифугировали в течение 20 мин при скорости 14500 об./мин на центрифуге с охлаждением (Eppendorf, Германия). Измерение проводили на бескюветном спектрофотометре NanoDrop-2000 (Thermo Fisher Scientific, США). Анализ активности каталазы проводили при длине волны 240 нм и коэффициенте экстинкции 8=4,0 x 10 3 л/моль^см [5]. Анализ активности аскорбатпероксидазы проводили при длине волны 290 нм и коэффициенте экстинкции 8=2,8 x 10 3 л/моль^см [6]. Показания спектрофотометра переводили в международные единицы ферментативной активности (МЕ) [5], используя формулу:
МЕ/мл =
ЛА/минхК реакц.смеси ,млхКоэф.Развед.х 1 О О О О
^nm (лхмоль 1хсм ЪхУфермента.мл где 4А - разность значений абсорбции; enm (л х моль 1 х см 1) - коэффициент поглощения.
Активность каталазы оценивали по динамике разложения перекиси водорода ферментом через 2 мин. Активность аскорбатпероксидазы оценивали по динамике окисления аскорбата ферментом через 1 мин.
Определение активности глутатионпероксидазы. Для оценки активности глутатионпероксидазы (GPX, КФ 1.11.1.9) из каждого образца отбирали навеску хвои, равную 0,1 г, и гомогенизировали в жидком азоте с добавлением поливинилпирролидона (PVP) [5]. Осадок ре-суспендировали в холодном 0,1 М TRIS-буфере. Затем гомогенаты центрифугировали в течение 20 мин при скорости 14500 об./мин на центрифуге с охлаждением (Eppendorf, Германия). Измерение проводили на спектрофотометре NanoDrop One (Thermo Fisher Scientific, США). Анализ проводили по методике [7] с модификациями при длине волны 340 нм и коэффициенте экстинкции 6,22 x 10 3 л/молысм. Показания спектрофотометра переводили в международные единицы ферментативной активности (МЕ), используя формулу (2) [5]. Активность глутатионпероксидазы оценивали по динамике прохождения реакции до нагрева и после.
Статистическая обработка данных.
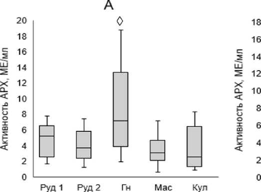
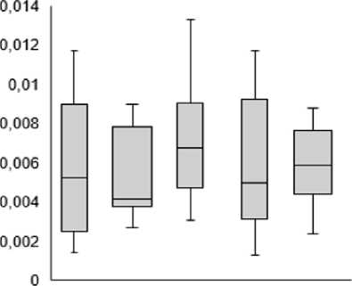
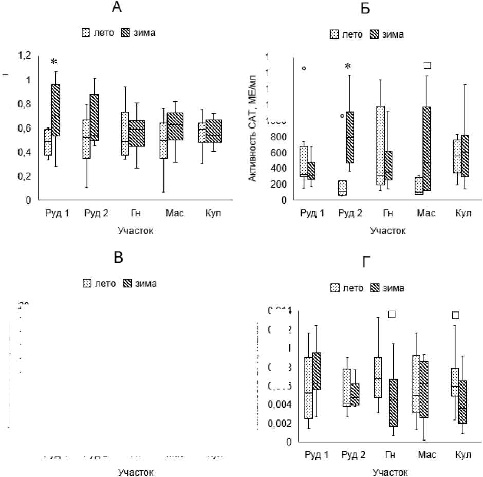
Графическая визуализация полученных в результате исследования данных выполнена в MS Office Excel 2019. После отклонения гипотезы о нормальном распределении данных (тест Шапиро-Уилка) значимость различий оценивали с помощью непараметрического U-критерия Манна-Уитни в среде программирования Python версии 3.11. Результаты со значением p, меньшим или равным 0,05, были признаны статистически значимыми. Приближёнными к значимым результатам данные (тенденция к значимости) считали значения в диапазоне 0,05 Результаты и обсуждение Активность супероксиддисмутазы. Активность SOD в хвое сосен, собранной в ноябре 2023 г. с загрязнённых участков Гнездинка и Кулажин, имела тенденцию к понижению (p=0,097; 0,076) в сравнении с контрольным участком Рудинка 1 (рис. 1Б). В хвое сосен, собранной в мае 2023 г., значимые отличия в активности данного фермента от контрольных значений не обнаружены (рис. 1А). г ш О ел и Рис. 1. Активность SOD в хвое сосен в зависимости 1:2 OS 0.6 0,4 0.2 О Б Руд1 Руд2 Гн Мас Кул Участок от участка: А – хвоя собрана в мае 2023 г.; Б – хвоя собрана в ноябре 2023 г.; □ – различия имеют тенденцию к статистически значимым по сравнению с контролем Рудинка 1, p<0,1, U-тест. Активность каталазы. Оценка активности каталазы в хвое сосен, собранной в мае и ноябре 2023 г., показала статистически значимые отличия между контрольными участками Ру-динка 1 и Рудинка 2 (p=0,008; 0,045) (рис. 2А, 2Б). Не обнаружено устойчивого изменения активности антиоксидантного фермента CAT в хвое сосен Чернобыльской зоны отчуждения в ответ на хроническое облучение, хотя наблюдается тенденция к снижению активности CAT на загрязнённых участках в ноябре. ш юоо от участка: А – хвоя собрана в мае 2023 г.; Рис. 2. Активность CAT в хвое сосен в зависимости Б – хвоя собрана в ноябре 2023 г.; ◊ – различия имеют тенденцию к статистически значимым по сравнению с контролем Рудинка 2, p<0,1, U-тест; * – различия статистически значимы по сравнению с контролем Рудинка 1, p<0,05, U-тест; † – различия статистически значимы по сравнению с контролем Рудинка 2, p<0,05, U-тест. Активность аскорбатпероксидазы. Обнаружена тенденция к повышению (p=0,076) активности аскорбатпероксидазы в хвое, собранной в мае 2023 г. на участке Гнездинка, по сравнению с контрольным участком Рудинка 2 (рис. 3А); в хвое, собранной в ноябре 2023 г., обнаружена тенденция к снижению (p=0,076) активности аскорбатпероксидазы на участке Гнездинка по срав- нению с от участка: А – хвоя собрана в мае 2023 г., Рис. 3. Активность APX в хвое сосен в зависимости контролем Рудинка 1 (рис. 3Б). Б – хвоя собрана в ноябре 2023 г.; □ – различия имеют тенденцию к статистически значимым по сравнению с контролем Рудинка 1, p<0,1, U-тест; ◊ – различия имеют тенденцию к статистически значимым по сравнению с контролем Рудинка 2, p<0,1, U-тест. Активность глутатионпероксидазы. Активность GPX в хвое сосен, собранной в ноябре 2023 г. с загрязнённого участка Кулажин, значимо понижалась (p=0,042) и имела тенденцию к снижению (p=0,073) на участке Гнездинка в сравнении с контрольным участком Рудинка 1 (рис. 4Б). В хвое, собранной в мае 2023 г., значимых отличий активности данного фермента от контрольных значений не обнаружено (рис. 4А). О 0,006 0.008 Рис. 4. Активность GPX в хвое сосен в зависимости от участка: А – хвоя собрана в мае 2023 г.; Б – хвоя собрана в ноябре 2023 г.; □ – различия имеют тенденцию к статистически значимым по сравнению с контролем Рудинка 1, p<0,1, U-тест; * – различия статистически значимы по сравнению с контролем Рудинка 1, p<0,05, U-тест. СО 0,004 0,002 Оценка различий активности исследуемых ферментов в разные сезоны года. Выявлены статистически значимые и имеющие тенденцию к статистически значимым отличия активности ферментов в разные сезоны в хвое сосен на участках Рудинка 1 (для SOD и APX), Рудинка 2 (для CAT и APX) и Масаны (для CAT и APX) (рис. 5). В хвое сосен, собранных на участках Гнездинка и Кулажин, зафиксированы различия (тенденция) в уровнях активности GPX в мае ноябре 2023 г. и Активность АРХ, МЕ/мл Активность SOD, МЕ/мл Рис. 5. Активность антиоксидантных ферментов SOD (А), CAT (Б), APX (В), GPX (Г) в хвое, собранной в мае и ноябре 2023 г.; □ – различия имеют тенденцию к статистически значимым в хвое, собранной в мае и ноябре 2023 г., p<0,1, U-тест; * – различия активности фермента в хвое, собранной в мае и ноябре 2023 г., статистически значимы, p<0,05, U-тест. 0,014 0,012 0.01 0,008 0,006 На всех участках уровни активности SOD, CAT, APX, GPX в хвое, собранной в ноябре 2023 г., были выше значений в хвое, собранной в мае. Исключением являются активность SOD на участке Кулажин, активность CAT на участке Рудинка 1, активность APX на участке Гнездинка, активность GPX на участках Гнездинка и Кулажин. Известно, что радиолиз воды является источником возникновения большого количества активных форм кислорода (АФК), что приводит к возникновению первичных радиационных повреждений. Чем ниже доза, тем большее влияние на ответ клетки оказывают генетические и эпигенетические механизмы, а также факторы окружающей среды [1, 8]. Прикреплённый образ жизни и накопление свободных радикалов в ходе фотосинтеза способствовали образованию у растений разветвлённой системы антиоксидантной защиты. Каждый субклеточный компартмент оснащён специализированным набором ферментативных и неферментативных антиоксидантов, которые при временных нарушениях взаимодействия между производством и переработкой АФК приводят к всплескам АФК, регулирующим последующие реакции, включая транскрипционные и метаболические изменения [9]. Повышение активности антиоксидантных ферментов, изменение содержания и окислительно-восстановительного статуса основных низкомолекулярных антиоксидантов являются неотъемлемой частью реакции растений на неблагоприятные условия окружающей среды [10]. В то же время действие низких доз облучения часто не вызывает аналогичный ответ [11]. При исследовании хронического низкодозового воздействия активность антиоксидантных ферментов может меняться различным образом, что показано в работе по оценке влияния хронического облучения на антиоксидантную систему топинамбура (Helianthus tuberosum L.) [12]. В нашем эксперименте показаны значимое и тенденция к значимому снижению активности ферментов SOD и GPX в хвое, собранной в ноябре 2023 г. на загрязнённых участках Гнездинка и Кулажин (рис. 1Б, 4Б). Отсутствие отличий на участке Масаны может быть связано с различием в составе дозообразующих радионуклидов [3]. Вместе с тем, не обнаружено устойчивого изменения активности антиоксидантных ферментов CAT и APX в хвое сосен Чернобыльской зоны отчуждения в ответ на хроническое облучение (рис. 2А, 2Б, 3А, 3Б). Не наблюдается изменений активности ферментов в хвое, собранной в мае 2023 г. (рис. 1А, 2А, 3А, 4А). Однако у всех исследуемых ферментов можно проследить схожую тенденцию к снижению активности на загрязнённых участках в ноябре. Это свидетельствует о снижении уровня окислительного стресса, вызванного сезонными изменениями факторов окружающей среды у данных популяций. Низкие температуры значительно снижают скорость многих биохимических реакций, световая энергия, поглощённая в зимнее время, не может эффективно использоваться и способна повредить фотосинтетический аппарат. Явление, называемое «устойчивым тушением», обеспечивает фотозащиту и позволяет растениям выживать. Один из механизмов теплового и радиационного рассеивания избыточной энергии возбуждения фотосинтетического аппарата показан в работе [13]. Причём несколько защитных механизмов могут действовать параллельно. Увеличение активности антиоксидантных ферментов может быть результатом адаптации хвойных растений к сезонным колебаниям температуры. Действительно, в исследовании [14] показано, что активность аскорбатпероксидазы и глутатионредуктазы в хвое сосны белой (Pinus strobis L.) демонстрировала максимальные значения с ноября по апрель. Техногенное воздействие может вызывать в природных популяциях неспецифичный ответ на смену времён года. В исследовании сезонных изменений активности пероксидазы (POD) и ка- талазы в побегах можжевельника (Juniperus sabina L.) в рекреационной, селитебной и промышленных зонах г. Йошкар-Ола активность CAT демонстрировала схожую динамику сезонных колебаний, однако самые большие значения активности и вариабельность были в рекреационной зоне, тогда как самые низкие – в промышленной, для POD наблюдали противоположную картину [15]. Влияние радиоактивного загрязнения на уровень антиоксидантных ферментов при смене сезонов в природных популяциях до этого не было исследовано. Наши результаты демонстрируют увеличение активности SOD и APX на контрольных участках и участке Масаны в ноябре, в то время как на участках Гнездинка и Кулажин значения активности близки к контрольным. Активности GPX на участках Рудинка 1, Рудинка 2 и Масаны не имели отличий между сезонами, а на участках Гнездинка и Кулажин обнаружена тенденция к снижению активности. Для фермента CAT не было выявлено закономерностей в изменении активности между сезонами. Действие SOD заключается в катализе дисмутации O2•-в кислород и пероксид водорода. Активация SOD при неблагоприятных воздействиях является ответом на увеличение продукции радикалов супероксида, что обеспечивает защиту клеток и тканей растений от окислительных повреждений. Однако при достижении определённого уровня окислительного стресса происходит снижение активности SOD [16]. Отсутствие ответа SOD на действие избыточной энергии фотосинтетического аппарата в популяциях сосны обыкновенной может свидетельствовать об истощении пула ферментов или модификации системы регуляции антиоксидантных ферментов на фоне действия ионизирующего излучения. APX, CAT и GPX участвуют в разложении H2O2 в растениях. В хлоропластах супероксид и H2O2 образуются в больших количествах в результате высокоэнергетических реакций, происходящих в ходе фотосинтеза. На холоде происходит избыточное образование АФК вследствие затруднения реализации световой энергии [17]. Возможно, неоднозначность в изменениях активности CAT связана с тем, что в холодное время года замедление биохимических реакций негативно влияет на передачу сигнала в цитозоль для регуляции активности каталазы [18]. APX играет важную роль в разложении H2O2 непосредственно в хлоропластах [19]. Хроническое низкодозовое облучение не активирует APX на двух исследуемых участках на фоне сезонного изменения условий окружающей среды. GPX участвует в детоксикации H2O2 и органических гидропероксидов липидов и других активных молекул, а также может участвовать в регуляции клеточного окислительно-восстановительного гомеостаза и выполнять сигнальные функции [20]. Данный фермент не демонстрирует увеличения активности при низких температурах в контрольных участках и участке Масаны, но наблюдается снижение активности GPX на других загрязнённых участках. Снижение активности двух антиоксидантных ферментов, участвующих в понижении содержания пероксида водорода, на фоне отсутствия повышенной генерации фермента SOD может свидетельствовать об отсутствии окислительного стресса в популяциях сосны обыкновенной, проявляющегося у контрольных растений при похолодании. Тем не менее, требуются дополнительные исследования для обоснования выводов о влиянии хронического радиационного воздействия на состояние антиоксидантной системы сосны обыкновенной в разные сезоны года. Заключение Таким образом, впервые исследовано влияние хронического облучения на уровень антиоксидантных ферментов при смене сезонов в природных популяциях сосны обыкновенной. Показано значимое и тенденция к значимому снижению активности ферментов SOD и GPX в хвое, собранной в ноябре 2023 г. на загрязнённых участках Гнездинка и Кулажин, по сравнению с контрольным участком Рудинка 1. Не обнаружено устойчивого изменения активности антиоксидантных ферментов CAT и APX в хвое сосен Чернобыльской зоны отчуждения в ответ на хроническое облучение. У всех исследуемых ферментов можно проследить схожую тенденцию в снижении активности на загрязнённых участках в ноябре 2023 г. Снижение активности двух антиоксидантных ферментов, участвующих в утилизации пероксида водорода, на фоне отсутствия повышенной генерации фермента SOD в зимнее время может свидетельствовать об отсутствии окислительного стресса в популяциях сосны, проявляющегося у контрольных растений при похолодании. При оценке различия уровней активности исследуемых ферментов в разные сезоны года обнаружено увеличение активности SOD и APX на контрольных участках и участке Масаны в ноябре, в то время как на участках Гнездинка и Кулажин значения активности близки к контрольным. Активности GPX на участках Рудинка 1, Рудинка 2 и Масаны не имели отличий между двумя исследуемыми сезонами, а на участках Гнездинка и Кулажин обнаружена тенденция к снижению активности. Для фермента CAT не было выявлено закономерностей в изменении активности между сезонами. Статья подготовлена при поддержке гранта РНФ № 21-16-00004.








