Оценка устойчивости несбалансированных режимов работы компонентов систем электроснабжения низкого напряжения

Автор: Наумов И.В., Подъячих С.В., Иванов Д.А., Нтсама Нди Б.Ж., Ермолаев Д.С.

Журнал: Журнал Сибирского федерального университета. Серия: Техника и технологии @technologies-sfu

Рубрика: Исследования. Проектирование. Опыт эксплуатации

Статья в выпуске: 2 т.19, 2026 года.

Бесплатный доступ

Актуальность предлагаемой тематики обусловлена объективным наличием симметричных составляющих обратной и нулевой последовательностей токов и напряжений основной частоты напряжения электропитания (50 Гц), а также дополнительных симметричных составляющих прямой, обратной и нулевой последовательностей токов и напряжений, обусловленных эмиссией высших гармонических составляющих (кратных основной частоте напряжения электропитания), циркулирующих в низковольтных электрических сетях уровня 0,4 кВ. Указанные симметричные составляющие снижают качество электрической энергии, затрудняя (а иной раз и останавливая) работу электроприемников в составе технологических установок товарного производства, потребителей административно-хозяйственного комплекса и коммунально-бытового хозяйства, а также в значительной степени увеличивают расход и потери электрической энергии. При этом выделяющаяся дополнительная тепловая энергия разрушает изоляцию электроустановок и токопроводов, в результате чего могут возникать пожары, угрожающие жизни и здоровью граждан, вызывающие огромный материальный ущерб. Кроме того, несбалансированность электропотребления, вызванная несимметричными режимами работы при неравномерном распределении нагрузок по фазам электрических сетей, приводит к перегреву токопроводов линий электропередачи, их разбалансировке, что способствует возникновению различного рода аварийных ситуаций, нарушая надежность электропередачи, вызывая значительный недоотпуск электрической энергии потребителям. Целью статьи является разработка метода и инструментария расчета несбалансированных режимов работы электрических сетей уровня 0,4 кВ, обусловленных несимметрично-несинусоидальным электропотреблением. Результаты произведенных исследований заключаются в возможности определения расчетных значений показателей небаланса режимов на основе использования предлагаемого программного обеспечения расчетов.

Еще

Несбалансированность, несимметрично-несинусоидальные режимы

Короткий адрес: https://sciup.org/146283268

IDR: 146283268   |   УДК: 621.311

Assessment of the Unbalanced Operating Modes Stability of Low Voltage Power Supply System Components

The relevance of the proposed topic is due to the objective presence of symmetrical components of the reverse and zero sequences of currents and voltages of the main frequency of the power supply voltage (50 Hz), as well as additional symmetrical components of the forward, reverse and zero sequences of currents and voltages caused by the emission of higher harmonic components (multiples of the main frequency of the power supply voltage) circulating in low-voltage electrical networks of the 0.4 kV level. These symmetrical components reduce the quality of electrical energy, making it difficult (and sometimes even stopping) the operation of electrical receivers in commercial production facilities, consumers of the administrative and economic complex and utilities, and also significantly increase the consumption and loss of electrical energy. At the same time, the additional thermal energy released destroys the insulation of electrical installations and power lines, resulting in fires that threaten the life and health of citizens and cause enormous material damage. In addition, the imbalance of power consumption caused by asymmetric operating modes with uneven load distribution across the phases of electrical networks leads to overheating of power transmission lines, their imbalance, which contributes to the occurrence of various kinds of emergency situations, disrupting the reliability of power transmission, causing significant under-supply of electric energy to consumers. The purpose of the article is to develop a method and tools for calculating unbalanced operating modes of 0.4 kV electric networks caused by asymmetrically non-sinusoidal power consumption. The results of the research carried out consist in the possibility of determining the calculated values of the unbalance of modes based on the use of the proposed calculation software.

Еще

Текст научной статьи Оценка устойчивости несбалансированных режимов работы компонентов систем электроснабжения низкого напряжения

С ростом однофазных электроприемников в быту, используемых в процессе жизнеобеспечения, а также с увеличением доли мощных однофазных электроприемников с новейшей элементной базой в промышленном, агропромышленном и военном производстве, транспорте, а также изолированных объектах электропотребления, использующих трёхфазную систему напряжений электропитания низкого напряжения (0,4 кВ), в значительной степени происходит ухудшение качественных показателей электрической энергии за счет несимметричного и несинусоидального электропотребления. При этом несимметричные режимы обусловлены фундаментальной частотой 50 (60) Гц, за счет неравномерного распределения однофазных электроприемников в трёхфазной системе, случайного характера их коммутаций, а также аварийных режимов, создающих неполнофазные режимы работы электрической сети.

Особенности распределения и характер коммутаций электроприемников определяют степень асимметрии токов и напряжений в трехфазной системе электропитания. Разумеется, речь идет об однофазных электроприемниках, поскольку они создают нагрузку разной мощности на каждой из фаз трехфазной системы. В целом понятия симметрии и асимметрии достаточно емкие и многогранные. Интересное утверждение историка искусств Дагоберта Фрея (Dagobert Frey) приведено в [1]: «Симметрия означает покой и привязку, асимметрия – движение и ослабление, с одной стороны, порядок и закон, с другой – произвол и случайность, с одной стороны, формальную жесткость и ограничение, с другой – жизнь, игру и свободу». То есть в данном случае асимметрия рассматривается как основа, движущая сила развития и совершенствования. Но в нашем случае, в рамках данной статьи, мы рассматриваем негативную сторону асимметрии фазных токов, которая является причиной ухудшения качества электрической энергии и увеличения ее потерь. Однако если мы рассмотрим деятельность ученых, занимающихся изучением асимметричных режимов, то возможно, что асимметрия энергопотребления также играет положительную роль, поскольку этот факт способствует развитию научной мысли и стимулирует деятельность ученых-исследователей, занимающихся этими вопросами. Это так называемая статистическая асимметрия токов, обусловленная неравномерным распределением однофазного тока в трехфазной сети. И, кроме того, случайный характер таких переключений создает вероятностную асимметрию тока. В результате обобщенный асимметричный ток, протекающий через элементы электрической сети, создает асимметричные перепады напряжения на каждом из них. В результате вся система трехфазного напряжения преобразуется в токи прямой, обратной и нулевой последовательностей основной частоты напряжения электропитания. Анатолий Корнеевич Шидловский внес большой вклад в изучение асимметричных режимов [2]. Научная школа этого известного ученого (В. Г. Кузнецов, В. А. Новский, Н. Н. Капличный и др.) известна своими достижениями в области балансировки однофазной нагрузки в трехфазной системе. В настоящее время исследованию асимметричных режимов работы электрических сетей посвящено довольно много публикаций. При этом рассматриваются способы и технические средства минимизации симметричных составляющих обратной и нулевой последовательностей, а также создание различных имитационных моделей для изучения многочисленных вариантов изменения асимметричной нагрузки потребителей. Например, в работе [3] исследуется работа сетеобразующих инверторов в условиях значительного дисбаланса напряжения. На основе изучения влияния несбалансированных напряжений на управление инвертором был – 240 – разработан контроллер дисбаланса напряжения, который позволяет устройству идентифицировать компоненты асимметричных систем с отрицательной (обратной) последовательностью и отдельно управлять ими. Некоторые публикации посвящены прогнозированию изменений показателей, характеризующих асимметрию трехфазной системы. Например, в [4] рассмотрено моделирование режимов работы систем электроснабжения напряжением 0,38/0,22 кВ методом Монте-Карло с использованием компьютерной программы Electronics Workbench. Проведенные исследования показали, что изменение токов нагрузки в сегментах и потери электрической энергии в них несимметрично нагружены. Вопросы прогнозирования дисбаланса режимов работы энергосистем также затрагиваются в работе [5], в которой дисбаланс рассматривается как средство повышения гибкости и сбалансированности этих систем при интеграции в них объектов распределенной генерации. Некоторые исследования посвящены моделированию несимметричных режимов работы городских электрических сетей с целью определения силы тока в нейтральном проводнике для более правильного выбора его сечения [6]. Создание имитационных моделей несимметричных режимов работы городских электрических сетей также рассматривается в работах других авторов. Например, в [7] представлены модели городских электрических сетей с целью выбора наиболее оптимальных условий для управления режимами работы этих сетей с использованием инструментов распределенной генерации. Некоторые публикации посвящены моделированию асимметричных режимов с целью проектирования низковольтных систем электроснабжения. Так, в работе [8] рассматривается программное обеспечение, совместимое с Matlab и MathCAD, использование которого применимо в рамках концепции технологии Smart Grid с использованием имитационных моделей средств повышения качества электроэнергии и снижения ее потерь. Также применяются другие имитационные модели асимметричного энергопотребления, например, доказывающие, что уменьшение сопротивления нулевого проводника можно рассматривать как способ уменьшения асимметрии напряжения нулевой последовательности [9]. В некоторых публикациях рассматривается моделирование отдельных элементов электрических сетей и исследуется их функционирование в несимметричных режимах. Например, в [10] рассмотрена модель функционирования силового автотрансформатора в неполнофазном режиме. Модель основана на использовании метода симметричных составляющих. Также имеют место работы авторов, связанные с влиянием асимметричного режима на силовые трансформаторы [11], а в некоторых работах асимметричный режим работы линий электропередачи, наоборот, рассматривается как способ повышения надежности и стабильности энергосистем [12].

Несинусоидальность 3-фазной системы напряжения обусловлена функционированием электроприемников, вольтамперная характеристика которых носит нелинейный характер, что приводит к серьезному сокращению срока службы электроприемников и нарушению технологии. Режимы работы электрических сетей, обусловленные несинусоидальным потреблением электроэнергии, рассматриваются в работах многих авторов. Необходимо отметить, что при возникновении выбросов высших гармонических составляющих (ВГС) в действующих электрических сетях возникают искажения расчетной мощности электрической нагрузки, в соответствии с которой выбираются основные элементы электрических сетей. Поэтому одной из наиболее актуальных задач современной электроэнергетики является изучение возможностей минимизации несинусоидальных искажений. Поскольку – 241 – ни один технологический процесс не обходится без современной силовой электроники, при интеграции нелинейных элементов в электрическую сеть происходит значительное снижение качества электроэнергии [13, 14]. Многие авторы обсуждают показатели качества электроэнергии и исследуют работу различных элементов, которые создают выбросы ВГС [15, 16]. В то же время основными обсуждаемыми проблемами являются непосредственная генерация гармоник и вызванный ими низкий коэффициент мощности [17, 18]. Часть исследований направлена на разработку специальных интегральных преобразователей, регулирующих коэффициент мощности в условиях несинусоидального энергопотребления. Обычно это связано с созданием контроллеров переменного тока, модели которых производятся с использованием технологий MATLAB/Simulink [19], а также созданием программноаппаратных моделей микроконтроллера, выходные данные с платы которого могут автоматически использоваться для управления устройствами STATCOM или для переключения между усилителями или конденсаторными батареями с нагрузкой для максимально достижимой компенсации реактивной мощности [20]. Существуют также исследования, в которых рассматриваются вопросы проектирования и анализа однофазной коррекции коэффициента мощности (PFC) с использованием однофазного первичного индуктивного преобразователя постоянного тока (SEPIC). В предлагаемой системе применяется каскадный подход, при котором внешний контур реализован с помощью PI-контроллера, настроенного на оптимизацию роя частиц (PSO), для синхронизации выходного напряжения с опорным напряжением, а внутренний контур тока управляется методами фиксированного ШИМ-управления на основе Bang-Bang/PSO [21]. Для гармонического анализа используются различные методы, как традиционные [22, 23], так и методы искусственного интеллекта [24]. А поскольку объекты распределенной генерации (солнечные, ветряные электростанции и т.д.) повсеместно внедряются в нашу жизнь, то также анализируется влияние и смягчение гармоник тока и напряжения в этих системах [25]. Многочисленные исследования были посвящены созданию различных моделей несинусоидального энергопотребления. Например, в [26] были разработаны модели электрических сетей зданий с учетом параметров их основных элементов, характерных электропотребителей и фильтров. В работе [27] предлагается локальная модельная сеть (LAN) для основанного на измерениях моделирования нелинейных совокупных нагрузок энергосистемы, и для проверки метода предоставляются реальные данные полевых измерений. В работе [28] рассмотрен метод, в котором на основе решения системы уравнений получают гармоники тока как функцию гармоник напряжения, наблюдаемых в точке измерения. В работе [29] описан метод получения модели одной или набора нелинейных нагрузок, подключенных к определенной точке электрической сети. Основное предположение заключается в том, что питающая линия электрической сети имеет значительные последовательные сопротивления и испытывает помехи от других параллельных, случайных и неизвестных соседних нагрузок, разделяя часть системы питания с этой линией. Таким образом, для любых моделей, содержащих нелинейные элементы, которые генерируют ВГС, требуются данные реального гармонического анализа, основанные на измерениях в действующих электрических сетях. Это также подтверждается исследованиями в сетях высокого напряжения [30], а также имитационным моделированием этих процессов в сетях низкого напряжения [31].

Возрастание токовой нагрузки за счет появления значительных величин дополнительных симметричных составляющих, обусловленных как основной частотой (в несимметричных режимах), так и иными частотами ВГС (при несинусоидальности трёхфазной системы), приводит к увеличению расхода электрической энергии, большому выделению тепловой энергии за счет дополнительных потерь активной мощности, чреватому возникновением пожароопасных ситуаций. В этой связи целью статьи является разработка программного обеспечения расчета несбалансированных режимов работы электрических сетей уровня 0,4 кВ, обусловленных несимметрично-несинусоидальным электропотреблением. Для достижения указанной цели поставлены и решены следующие задачи: 1) рассмотреть методологические аспекты расчета показателей небаланса токов и напряжений, характеризующих обобщенный несбалансированный режим сети 0,4 кВ, обусловленный несимметрично-несинусоидальным электропотреблением; 2) разработать программное обеспечение расчетов несбалансированных режимов; 3) произвести исследование несбалансированных режимов во внутренней электрической сети административного потребителя (на примере ФГБОУ ВО «Иркутский государственный аграрный университет имени А. А. Ежевского»).

Результаты исследования

Методологические основы системного подхода к оценке несбалансированных режимов

В соответствии с методом симметричных составляющих Ч. Фортескью любую несимметричную систему (токов, напряжений) можно разложить на три симметричные составляющие, соответственно прямую (positive), обратную (negative) и нулевую (zero) последовательности [32]:

где Zi и u^ – комплексные значения тока и напряжения прямой последовательности основной частоты; Ь , Lo , и? и u^ – комплексные значения токов и напряжений обратной и нулевой последовательностей основной частоты напряжения электропитания; a – комплексный оператор поворота, равный e'120 .

В условиях обобщенного несбалансированного режима системы уравнений (1) будут выглядеть, как

( Ia= £{(!1+Ж°Ь^НЬ+£18^Н^

\ Lb =®2(i+ L4° Laps) + ^ (Z2 + L^ Lans) + (Zo + LA9 Laz s)'>           (2)

(Zc = ^(Zi + L4° Laps) + ^(Lz + 'Ll8 Lans) + (Zd + Ll9 Laz s)'

( LLa^ L{(UA + L\°UAPs)\lb+LTlLiNs)XLb+^^^^

H = a2fe + L44°Uaps) + a (1^+ LA8 Vans) + (ZZo + L^ Uazs\ (3) IZZc = «(Z^ + L44°LLaps) + a2^ + L.328LLans) + (ZZo + LTUazs).

где Lt° Laps, LI8 Lans, Ll9 Lazs, Lt° LLaps, L?8 LLans и L339LLazs – суммарные величины комплексных значений симметричных составляющих, обусловленных совокупностями ВГС токов и на- пряжений, соответственно дополнительных (additional) прямой (positive), обратной (negative)

и нулевой (zero) последовательностей.

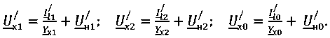
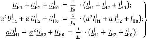
Обозначим: Lubm — Li + T, 4° Laps и LLlubm — Lb-+ Xt° LLaps – комплексные значения тока и напряжения небаланса по прямой последовательности; Lzubm — /2 + H I.8 Lans и LLzubm = Hz + 2S Hans – комплексные значения тока и напряжения небаланса по обратной последовательности и Loubm — Ld + Из9 Lazs и LLoubm — LLo + T, 39 LLazs – комплексные значения тока и напряжения небаланса по нулевой последовательности. В этом случае системы уравне- ний (2) и (3) примут вид:

La — Lubm + Lubm + Llubm',      ^a — LLiubm + LLzubm + LLoubm

Lb = <1 Llubm + &Ь.ивм + Ldubm'i  LLb = a LLaubm + uLLzubm + LLdubm   (4)

Lc = 9: Llubm + a Lzubm + Loubm ',  LLc =a LLzubm + LLlubm-

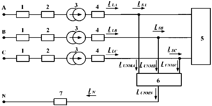
Рассмотрим схему замещения трёхфазной четырехпроводной электрической сети, содержащую обобщенную несбалансированную нагрузку (рис. 1).

Рис. 1. Схема замещения электрической сети, содержащая несбалансированную нагрузку: 1 – линия 10 кВ; 2 – силовой трансформатор 10/0,4 кВ; 3 – комплексный коэффициент трансформации; 4 – линия 0,4 кВ; 5 – трёхфазная симметричная нагрузка; 6 – трехфазная объединенная несбалансированная нагрузка; 7 – нейтральный проводник

Fig. 1. Electrical network replacement scheme containing an unbalanced load: 1–10 kV line; 2–10/0.4 kV power transformer; 3 – complex transformation coefficient; 4–0.4 kV line; 5 – three–phase symmetrical load; 6 – three-phase combined unbalanced load; 7 – neutral conductor

Производя дальнейшие преобразования схемы рис. 1 и составляя схему замещения участка электрической сети с трёхфазным несбалансированным источником напряжения ( LLlubm , LLoubm и LLoubm ), а также соответствующих ей обобщенных схем замещения прямой, обратной и нулевой последовательностей для основной фазы («А») уже в симметричной цепи, представим эквивалентные схемы замещения объединенных прямой, обратной и нулевой последовательностей (рис. 2):

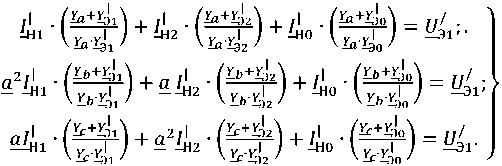
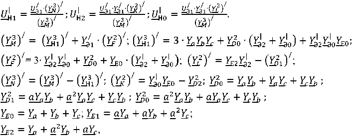
Для представленных схем прямой, обратной и нулевой последовательностей (рис. 2) составим по второму закону Кирхгофа следующие уравнения:

где и,

– комплексное эквивалентное напряжение прямой последовательности экви-

валентной схемы замещения прямой последовательности;^ = ^+^1; – комплексная экви- валентная проводимость прямой последовательности эквивалентной схемы замещения прямой последовательности; 12 + ^ – сумма комплексных проводимостей прямой последовательно- сти электрической сети Qi — 110(1) + 110/0.4(1) + Zo.4(l)) и трехфазной симметричной нагрузки

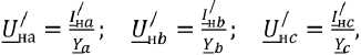
(Xsi)’ 1э2 _ lai– то же самое для обратной последовательности;^0=li&= Ho/O.4(O)+W));

Zhi = huBM + Lsi> Zhz = Ьивм + lsz> /но = Ldubm ; Hh1 ^AUBM> Ин2 U2UBM1 UflO UpUBM .

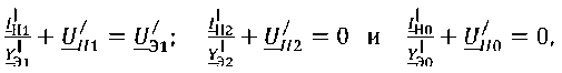
Поскольку уравнения (5) содержат 6 неизвестных: Zhi, Zhz , Zho , ZZhi, ZZ^2 и ZZho необходимо составить еще три дополнительных уравнения, связывающих данные шесть величин с учетом исходной схемы (рис. 1) и параметров трёхфазной цепи:

а

б

в

Рис. 2. Эквивалентные схемы объединенных (несимметрия и несинусоидальность) прямой (а), обратной (б) и нулевой (в) последовательностей

Fig. 2. Equivalent schemes of combined (non-symmetry and non-sinusoidal) positive (a), negative (b) and zero (c) sequences

где Ха=Уа-е i ; Yb — Уь ' 6 ’^h ; Yc = yc- e~^^

Напряжения и токи в уравнениях (6) выразим через симметричные составляющие:

Из уравнений (6) определим значения ZZ/ii, ZZ^2 и ZZho и подставим их в систему уравнений

  • (7) . После преобразования получим следующую систему уравнений:



Решая систему уравнений (8), получаем следующие значения для суммарных симметричных составляющих токов и напряжений в объединенном несбалансированном режиме:

В выражениях (9) и (10)

1д         ^B           Ic гдеYa^ =,Yb= =иYc= =– комплексные проводимости фаз трёхфазной системы. iJa         iJb           uc

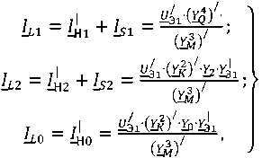
Для определения суммарных симметричных составляющих токов в линии 0,4 кВ, обусловленных несбалансированной нагрузкой, определим составляющие токов прямой Lsi и обратной Ls2 последовательностей трёхфазной симметричной нагрузки:

Lsi ^Hl ' Ysi - Ls2 — ^H2 ' Ys2

Учитывая выражения (9), (10) и (11), после преобразований определяем симметричные со- ставляющие токов в линии:

где ^ -^-^ +Ш' -^ .

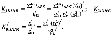
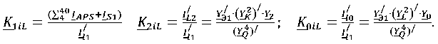
Определим комплексные показатели несбалансированности токов и напряжений.

Коэффициенты небаланса суммарных прямой, обратной и нулевой последовательностей токов и напряжений объединенной несбалансированной нагрузки определяют как

Коэффициенты небаланса суммарных прямой, обратной и нулевой последовательностей токов в линии, обусловленных объединенной несбалансированной нагрузкой, определяют как

- L2 и Ц0 = ь

В случае отсутствия ответвлений на всем участке линии между источником питания и узлом нагрузки коэффициенты: ^11 , ^2i и К^ на этом участке неизменны, а коэффициенты: —иивм , К^ШВМ и HfliUBM будут уменьшаться по мере удаления от узла нагрузки.

Определим эти коэффициенты для любой точки «х» по длине линии. Обозначим через Ll , ^2 и L0 комплексные проводимости соответственно прямой, обратной и нулевой последовательностей участка линии от узла нагрузок с СУ до точки «х» этой линии и составим уравнения для схем прямой, обратной и нулевой последовательностей (рис. 2):

Подставив в выражения (14) значения величин (15) и (16), после преобразований получим

где &У = №У+Ъ1-№У ;^=^-^2; Ъ=Ъ~Ъ0 .

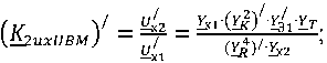
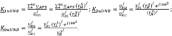
Определим комплексные коэффициенты небаланса напряжения по суммарным прямой, обратной (J<2uxUBm) и нулевой (J^duxubm) последовательностям:

„ V _ Й°«АР5 _

.^UXUBM) -   /  -  ^/.^

Комплексная эквивалентная проводимость для схемы нулевой последовательности (рис. 2в) остается без изменений. В ней нужно только заменить Ьо на Ьо .

Еще к одним показателям качества, характеризующим несбалансированное электропотребление, относятся положительное и отрицательное отклонение фазных напряжений электропитания. Их значения определяются по известным выражениям, установленным ГОСТ 32144– 2013 «Межгосударственный стандарт. Электрическая энергия. Совместимость технических средств электромагнитная. Нормы качества электрической энергии в системах электроснабжения общего назначения»:

6Un = Un "^ ■ 100%;   5У(+) = ^^ ■ 100%,         (20)

где U о – стандартное номинальное напряжение В; Um(-y ^тМ – напряжения электропитания, меньше U о и больше U о , соответственно, усредненные в интервале 10 мин в соответствии с требованиями ГОСТ 30804.4.30–2013 «Методы измерений показателей качества электрической энергии». В целом можно пользоваться одним выражением для определения установившегося отклонения напряжения:

ви± = ифакти° ■ 100%,1                                              (21)

где ^факт – действительное (фактическое) значение напряжения электропитания в точке контроля качества электроэнергии.

Нормированные значения показателей небаланса напряжений в узле нагрузок, находящемся на расстоянии «ℓ» от шин 0,4 кВ силового трансформатора 10/0,4 кВ, в государственных стандартах отсутствуют. Но для того, чтобы иметь возможность сравнения реальных показателей небаланса напряжения в исследуемой электрической сети с предельно допустимыми значениями, рассмотрим, как эти значения можно получить. Поскольку стандарт [33] устанавливает нормируемые значения для 95 % времени интервала измерения отдельно для несимметричных и несинусоидальных режимов, определим нормы показателей небаланса напряжения исходя из суммы нормируемых значений. То есть нормируемое значение для показателя Кщ(п) будет складываться только из суммарного значения совокупностей нормируемых коэффициентов гармонических искажений, составляющих дополнительную прямую последовательность: KluUBM — ^lU(n) — ^-U^) + ^U(7) + ^U(IO) + ^U(13) + b ^U(40). Нормируемое значение для показателя ^2U{n) будет складываться из суммарного значения совокупностей нормируемых коэффициента несимметрии напряжений по обратной последовательности и коэффициента гармонических искажений, составляющих дополнительную обратную последовательность: ^2uUBM — ^2U + Ku(2) + ^U(5) + ^U(8) + ^U(ll) +   ^ ^U(38). Нормируемое значение для показателя ^OU(n) будет складываться из суммарного значения совокупностей нормируемых коэффициента несимметрии напряжений по нулевой последовательности и коэффициента гармонических искажений, составляющих дополнительную нулевую последовательность: KquUBM — ^OU + Кию + Ky^) + Кию + ^W(12) + ^У(15) ■■■ + ^(/(39).

Многочисленными исследованиями установлено [33–37], что наибольшие значения коэффициентов гармонических составляющих для дополнительной прямой последовательности приходятся на долю Кию , Ku^7) и ^У(13), для дополнительной обратной – Ku(2) , KU^ и Ku(ll) и для дополнительной нулевой последовательности: Кию , КцЮ и Кию>} . Таким образом, руководствуясь нормами ГОСТ 32144–2013, можем определить предельные значения для показателей небаланса напряжений. Для прямой последовательности

uubm = Kw^ = Kuw + Кию + ^(13) = 1 + 5 + 3 = 9 (%).     (22)

Для обратной –

Кивм = K2U + Кию + Кию + Ки^ю = 2 + 2 + 6 + 3,5 = 13, 5 (%). (23)

Для нулевой последовательности

Kquubm = Kou + Кию + Кию + Ки(ю = 2 + 5 + 1,5 + 0,3 = 8,8 (%) . (24)

Безусловно, для того чтобы производить сравнение полученных, принятых за «нормируемые», показателей небаланса напряжения с реальными, фактическими значениями этих коэффициентов, сумма исследуемых показателей должна совпадать с суммой «нормируемых».

Стандартом EN 50160:2022 «Voltage characteristics of electricity supplied by public electricity networks» устанавливается нормируемое значение показателя THDu (total harmonics distortion). Его аналогом, устанавливаемым ГОСТ 32144–2013, – суммарным коэффициентом гармонических составляющих напряжения (отношение среднеквадратического значения суммы всех гармонических составляющих до 40-го порядка к среднеквадратическому значению основной со ставляющей) KU,% в точке передачи электрической энергии, т.е.: К U (nines. —     ,,     ■ 100%.

Устанавливаемое нормируемое значение этого показателя для сети 0,4 кВ в 95 % 10-минуного интервала измерений в неделю составляет 8 %. В реальном несбалансированном режиме работы сети 0,4 кВ расчетное значение подобного коэффициента будет дополняться еще показателями несимметрии напряжений по обратной и нулевой последовательности:

Ku(n)UBM —        ~

100 %.

За «нормируемое» значение этого показателя можно принимать сумму соответствующих показателей, характеризующих несимметричный и несинусоидальный режимы:

Ku(n)UBM — K2u + K2U + Ku^^es - 2 + 2 + 8-12 (%). (26)

Таким образом, за норму для критериев оценки несбалансированных режимов по напряжению электропитания (с точки зрения качества электроэнергии) можно принимать полученные значения, определяемые по выражениям: (22), (23), (24), (26).

Но, кроме нормируемых показателей качества по напряжению есть еще ненормируемые показатели по току, в частности, для несимметричных режимов это коэффициенты несимме-трии токов по обратной и нулевой последовательностям:

а также коэффициенты несинусоидальности токов по обратной и нулевой последовательностям:

р40 г                         у’Зв г                         \^39 г

_ 14 Laps т, _ Lans т, _ Lazs

Holiness. ,    , !±2mess. ,    > “Diness.    ,

11                          11

Как уже было сказано, одним из наиболее показательных критериев оценки несимметричных, несинусоидальных и объединенных несбалансированных режимов является коэффициент потерь активной мощности, который представляет собой отношение дополнительных потерь активной мощности, обусловленных несимметричным (несинусоидальным или обобщенным несбалансированным) режимом к соответствующим потерям, вызванных только токами прямой последовательности основной частоты напряжения электропитания [38, 39], то есть

Kpass. 1 4 Kziass. 4 ^r ' ^Oiass. >

Kpness. illness. 4 Iciness. 4 Kr ■ ^Qmess.                          (27)

KpUBM Kpass. 4 Kpness.

Для машинной обработки результатов измерений параметров электрической энергии в действующих электрических сетях 0,4 кВ разработано программное обеспечение.

Алгоритм и программное обеспечение расчетов несбалансированных режимов в электрических сетях уровня 0,4 кВ

На рис. 3 обозначено следующее: 1 – ввод данных измерений: фазные и междуфазные напряжения, фазные токи, модули напряжений и токов симметричных составляющих прямой, обратной и нулевой последовательностей; 2 – ввод параметров электрической сети: S НОМ – номинальная мощность силового трансформатора., Р ХХ – потери холостого хода силового трансформатора, Р КЗ – потери короткого замыкания, U КЗ – напряжение короткого замыкания, i 0 – ток холостого хода, r и x , r 0 и x 0 – удельные активное и индуктивное сопротивления фазного и нейтрального проводников; l – длина линии электропередачи низкого напряжения; ^t и Zto – полные сопротивления прямой (обратной) и нулевой последовательностей силового трансформатора в комплексной форме; Zjv – полное комплексное сопротивление линии напряжением 6–10 кВ; 3 – ввод коэффициентов гармонических составляющих токов и напряжений для каждой фазы и углов сдвига фаз между этими гармониками, в соответствии с данными измерений (всего 234 позиции); 4 – вычисление показателей качества и потерь ЭЭ, обусловленных только симметричными составляющими прямой, обратной и нулевой последовательностей фундаментальной частоты; 5 – вычисление показателей качества и потерь ЭЭ, обусловленных только симметричными составляющими дополнительных прямой, обратной и нулевой последовательностей высших гармонических составляющих частоты; 6 – вычисление показателей качества и потерь ЭЭ, обусловленных обобщенным несбалансированным режимом; определение потерь активной мощности, обусловленных перетоками реактивной мощности;

Рис. 3. Структурная блок-схема алгоритма расчета НБ режимов

Fig. 3. Structural block diagram of the algorithm for calculating an UB modes

7 – определение параметров балансирующего устройства; 8 – определение исследуемых показателей при включении балансирующего устройства; 9 – графическое отображение исследуемых показателей; 10 – вывод расчетных показателей в виде таблицы Еxcel; 11 – окончание.

В качестве интерфейса программы используется оболочка “PyCharmMiscProject”. В качестве интерпретатора программы используется программная реализация “Python”. Тип ЭВМ: IBM PC – совместимые ПК. Язык: Среда программирования «Python». ОС: MS Windows 98/2000/XP/ Vista/7/10. Объём программы: 25 Кб. Название программы “Unbalance – 6”.

Порядок работы с программой

1. Загружаются следующие библиотеки: scipy.io – для загрузки и сохранения исходных данных при импорте из MATLAB; numPy – используется для всех видов численных и математических операций (массивы и матрицы); pandas – предназначен для анализа данных и работы с табличными структурами dataFrame; matplotlib – библиотека для создания 2D-графиков; matplotlib.style – создает определенные стили; axes3D – создание 3D-графиков в Matplotlib; os (operating system) – предоставляет функции для взаимодействия с операционной системой. 2. Загружаются исходные данные по параметрам электрической сети (линия высокого напряжения, параметры силового трансформатора, параметры линии низкого напряжения). 3. Вводится алгоритм расчета в соответствии с представленной блок-схемой. 4. Производится расчет показателей без балансирующего устройства. 5. Рассчитываются параметры балансирующего устройства. 6. Производится аналогичный расчет искомых показателей с балансирующим устройством. 7. Полученные результаты сохраняются в Excel-файл. 8. Строятся необходимые графические зависимости.

На рис. 4 представлен фрагмент программы с вводом исходных данных.

Для демонстрации работоспособности программы “Unbalance-6” рассмотрим исследование несбалансированных режимов работы во внутренней электрической сети Иркутского государственного аграрного университета. Исследования производились 09 час. 04.04 2025 г. по 08:50 10.04.2023 г. На шинах вводно-распределительного устройства (ВРУ), находящего-

S = IJPytho...v Version с...*

^ exempli v ^ 0 :

& Q l§J (Unlock Pro

П Project *            Ф exampllpy

* D PythonProject!

> D.venv

> Овизуальные.рг

0 datatmat

0 datalnpy фехатрИру

И гармонически! ffl Данные, xlsx й Данные для ре > й External Libraries г Scratches and Cor

@ Run ♦exampll ■

$ Gl :

  • ■    cue pause гы © I Успешно соз|

  • ■    Рисунки буд’

“ 5 ■ Все 15 |игу|

0 ^

_ Process finish! 0

? > oPythonProjectl > Saving1

Class №^Й^ : ’usage                    A1 A49 ^294 *

ИFigure 9: Aytres facteurs de distorsion de tension • TITRES CODE 1 (non presents dans code 2) fig?, axes? = plt.subplots( news 2, ncois: 1, figsize»(12,8), sharexsTrue) fig?.suptitle(' Другие фактор ы искажения напряжения в зависимости от. Время ') axes?[0].plot(t, np.abs(res['KOu.nes']), ibels'KOujies') axes?[0].plot(t, np.abs(res['K2u.nes'D, label»'K2u.nes', colors'purple') axes?[l].plot(t, res['HK2ux'], labels'NK2ux', c:ior='broin') axes?[l].plot(t, res['NK0ux'], label:'NKBux', colors'Mgenta') for ax in axes?: ax.legend! uteon^rue, sI’a^True); ax.set.ylabelC Искажение (X)') axes?(l].set.xlabel('Время (min)') fig?.savefig(os.path.join(dossier?igures, ‘9. autres . facteurs . distorsion .tension.jpg'), 1=308, bbox.inchess'tight')

fig05, axesOS = plt.subplots( nrws:2, ncois: 1, figsizes(12,8), sharex=True)

fig85.suptitle('Изменение коэффициентов небаланса до и после подключения BY\nChange of the unbalance coefficients befor and after BD connected')

axes05[l].plot(t, np.abslresl'NKlunbl']), labels'NXlunbl')

Рис. 4. Фрагмент программы “Unbalance – 6”для расчета несбалансированных режимов работы электрических сетей 0,4 кВ

Fig. 4. Fragment of the “Unbalance-6” program for calculating unbalanced operating modes of 0.4 kV electrical networks ся на расстоянии 100 м от шин 0,4 кВ трансформаторной подстанции ТП 10/0,4 мощностью 400 кВА, был установлен сертифицированный прибор PQM-701 фирмы «Sonel» (рис. 5).

После расшифровки измеренных данных с жесткого диска прибора была произведена загрузка исходных данных в программу “Unbalance-6”.

Результаты анализа расчетных данных

На рис. 6 представлены диаграммы изменения фазных напряжений в исследуемой сети Университета.

Как видно из рис. 6 несбалансированность фазных напряжений выражена не столь явно, поэтому в большей степени судить о характере несбалансированности по напряжению можно на основе анализа коэффициентов небаланса составляющих напряжений по прямой, обратной и нулевой последовательностям. Но для начала рассмотрим, как изменяются ток и напряжение прямой последовательности основной частоты (50 Гц), для того чтобы можно было сравнить процентное соотношение этих показателей со всеми последующими показателями небаланса (рис. 7).

Как видно из анализа рис. 7 усредненные значения тока и напряжения прямой последовательности частоты 50 Гц составляют соответственно 33,1 А и 231,4 В.

На рис. 8 представлены диаграммы изменения коэффициентов небаланса напряжений. Как следует из анализа этого рисунка усредненное значение2 коэффициента небаланса напряжения

Рис. 5. Прибор PQM-701 и его подключение на шинах РУ Университета

Fig. 5. The PQM-701 device and its connection to the DD busbars of the University

Рис. 6. Изменение фазных напряжений в электрической сети Университета

Fig. 6. Change of phase voltages in the electrical network of the University

Изменение симметричных компонентов тока и напряжения прямой последовательности (50 Гц) Change of symmetrical current and voltage components of positive sequence (50 Hz).

Рис. 7. Изменение тока и напряжения прямой последовательности фундаментальной частоты напряжения электропитания

Fig. 7. Change of the current and voltage of the fundamental frequency positive sequence of the power supply voltage

Рис. 8. Изменение суммарных коэффициентов небаланса напряжений по прямой, обратной и нулевой последовательностям в исследуемой электрической сети Университета

Fig. 8. Changes of the total voltage imbalance coefficients in the positive, negative, and zero sequences in the University’s electrical network under study по прямой последовательности (включая значения коэффициента искажений до 40-й гармоники включительно) составило 20,6 % от напряжения U 1, при этом на долю коэффициентов небаланса напряжения по прямой последовательности, учитывающих только составляющие 4-й, 7-й и 13-й гармоник, приходится 6 % основной частоты, что вполне удовлетворяет полученному «нормированному» значению, определяемому по выражению (22) – до 9 %. Усредненное значение коэффициента небаланса (включая значения коэффициентов до 38-й гармонической составляющей) по обратной последовательности суммарно составляет 38,6 % от U 1, из которых на долю 2, 5 и 11-й гармоник приходится 9,7 %, что также удовлетворяет полученному значению, принятому в качестве предельного для этой последовательности – выражение (23) – 13,5 %. И усредненное значение коэффициента небаланса напряжения (включая значения коэффициентов до 39-й гармоники) по нулевой последовательности составило 61,2 % напряжения U 1, из которых на долю 3-й, 9-й и 15-й гармоник приходится 23,2 %, что на 62 % превышает принятое, в соответствии с (24) предельное значение для этого показателя – 8,8 %.

Рассмотрим, как изменяется суммарный коэффициент небаланса напряжения электропитания, определяемый по выражению (24) – рис. 9.

Как показал произведенный анализ рис. 8 усредненное за период измерения значение данного показателя составило 19,5 % от напряжения U 1, что на 38,5 % больше полученного по выражению (26) значению – 12 %.

В заключение рассмотрим, как изменяются дополнительные потери активной мощности, обусловленные несбалансированным электропотреблением. Как уже было сказано критерием такой оценки может служить коэффициент потерь мощности, определяемый по выражениям (27). Как видно, основными составляющими, входящими в формулу коэффициента потерь, являются коэффициенты, обусловленные действием симметричных составляющих токов обратной и нулевой последовательности основной частоты, а также совокупностями симметричных составляющих токов прямой, обратной и нулевой последовательностей, обусловленных

Рис. 9. Изменение суммарного коэффициента небаланса напряжения в исследуемой электрической сети

Университета

Fig. 9. Change of the total voltage imbalance coefficient in the studied electrical network of the University

а)

б)

Рис.

Диаграммы изменения

симметричных составляющих

токов

обратной и

нулевой

последовательности частоты 50 Гц (а) и симметричных составляющих токов прямой, обратной и нулевой

последовательностей токов ВГС (б)

Fig. 10. Сhanging diagrams of the currents symmetrical components of the negative and zero sequences of the 50 Hz frequency (a) and the currents symmetrical components of the positive, negative and zero sequences caused by the HHC currents (b)

токами высших гармонических составляющих. На рис. 10 представлены диаграммы изменения указанных симметричных составляющих токов.

Анализ рис. 10 показал, что ток обратнойпоследовательности (I2) в среднем составляет 51,4 % (17А) тока прямой последовательности основной частоты (I1); ток нулевой последовательности частоты 50 Гц (I0) – 41 % (13, 6А); суммарный ток прямой последовательности Ig1 (srw, составляет 10,5 % тока I1 (3,5 А); ток Ig2 (Si8^)– 21,8 % (7,2 А) и ток Ig0 (SF/azs) – 26,6 % тока I1 (8,8 А). Как видно, токовая нагрузка в несбалансированном режиме, обусловленном несимметрично-несинусоидальным электропотреблением, достаточно значительна, что и приводит к увеличению коэффициента потерь мощности (рис. 11).

Изменение коэффициента потерь мощности Changing of the power loss factor

Рис. 11. Изменение коэффициентов потерь мощности при несбалансированном электропотреблении

Fig. 11. Change of the power loss coefficients in case of an unbalanced power consumption

Анализ рис. 11 показывает, что усредненное значение коэффициента потерь мощности, обусловленного несимметрией фазных токов (Kpas), превышает «условно сбалансированный режим»3 на 51 %, коэффициент потерь, обусловленный токами ВГС (Kpnes), добавляет почти 15 % дополнительных потерь активной мощности. В результате обобщенный коэффициент потерь, характеризующий несбалансированное электропотребление в целом (Kp), характеризует увеличение потерь активной мощности в среднем на 66 % по сравнению с полностью сбалансированным режимом. Безусловно, добиться идеального сбалансированного режима практически невозможно, но, как показывают наши исследования, разработка специализированных балансирующих устройств и их установка в определенной точке электрической сети позволяют добиться снижения коэффициента потерь на 50–85 % [5–9].

Таким образом, подводя итог вышеизложенному, можно сделать следующие выводы:

  • 1.    Впервые введено понятие несбалансированного электропотребления, разработан метод расчета показателей небаланса, характеризующих несбалансированные режимы работы низковольтной электрической сети уровня 0,4 кВ.

  • 2.    На основе использования нормативов, определенных государственными стандартами для несимметричных и несинусоидальных режимов определены численные значения показателей небаланса, которые можно использовать для сравнения с реальными аналогичными показателями, определяющими уровень небаланса в действующих электрических сетях 0,4 кВ.

  • 3.    Разработано программное обеспечение расчета несбалансированных режимов, работоспособность которого продемонстрирована на конкретном примере анализа показателей небаланса в действующей электрической сети 0,4 кВ, питающей административное учреждение.