Роль гормональной системы и лектина в реализации защитного действия 24-эпибрассинолида на различающиеся по стратегии адаптации к засухе проростки пшеницы (Triticum aestivum L.) при дефиците влаги

Автор: Авальбаев А.М., Юлдашев Р.А., Аллагулова Ч.Р., Плотников А.А., Ласточкина О.В.

Журнал: Сельскохозяйственная биология @agrobiology

Рубрика: Механизмы адаптации

Статья в выпуске: 3 т.60, 2025 года.

Бесплатный доступ

Одной из актуальных проблем современной науки о растениях остается изучение механизмов устойчивости растительных организмов к засухе, приводящей к нарушению всех звеньев метаболизма и потере продуктивности. На территории Российской Федерации сформировались две эколого-географическим группы (экотипы) пшеницы, существенно различающиеся по стратегии адаптации к засухе - лесостепной западносибирский и степной волжский. Особенно выражены различия между экотипами в начальную фазу онтогенеза. Для сортов лесостепного западносибирского экотипа присуще замедление формирования всходов и роста проростков на раннем этапе развития. Проростки степного волжского экотипа быстро развиваются в начальную фазу и более устойчивы в сравнении с растениями лесостепного западносибирского экотипа. Регуляторам роста отводится важная роль в формировании засухоустойчивости растений. В последнее время появляется все больше сведений, демонстрирующих участие стероидных фитогормонов брассиностероидов, характеризующихся сочетанием ярко выраженного рост-стимулирующего и протекторного действия, в регуляции устойчивости пшеницы к дефициту влаги. В настоящей работе впервые выявлен протекторный эффект 24-эпибрассинолида (ЭБ) на растения пшеницы степного волжского экотипа в условиях засухи, в основе чего лежит нивелирование ЭБ резких стресс-индуцированных сдвигов в содержании эндогенных фитогормонов и накопление защитного белка - агглютинина зародыша пшеницы (АЗП). Вместе с тем защитного эффекта ЭБ в отношении растений лесостепного западносибирского экотипа мы не обнаружили, что проявилось в сохранении индуцированного стрессом дисбаланса эндогенной гормональной системы и несущественном накоплении защитного белка агглютинина зародыша пшеницы. Цель работы - установить роль изменений в гормональной системе и содержании лектина пшеницы в реализации протекторного действия 24-эпибрассинолида на растения сортов Зауральская Жемчужина (лесостепной западносибирский экотип) и Экада 70 (степной волжский экотип) в начальную фазу их онтогенеза в условиях моделируемой почвенной засухи. Семена подвергали предпосевному замачиванию в течение 3 ч в растворе 0,4 мкМ 24-эпибрассинолида или в дистиллированной воде (контроль), высевали (по 30 шт.) в почвогрунт в вегетационные сосуды объемом 15 л и выращивали в контролируемых условиях (г. Уфа, 2024 год). Часть проростков по достижении 3-суточного возраста подвергали воздействию ранней почвенной засухи, для моделирования которой проводили ограниченный полив в течение всего эксперимента для поддержания значения влажности 30 % от полной влагоемкости почвы (ПВП). В контроле поддерживали влажность 70 % от ПВП. Физиолого-биохимические параметры анализировали на начальном этапе развития пшеницы (7-9-е сут). О росте судили по изменению сырой и сухой массы необработанных и предобработанных ЭБ проростков в норме и в условиях засухи. Содержание абсцизовой (АБК) и индолилуксусной (ИУК) кислот, цитокининов (ЦК) и АЗП в одних и тех же 10 проростках (сырая масса 0,9-1,0 г) на 7-е, 8-е и 9-е сут определяли методом иммуноферментного анализа (ИФА) с использованием специфичных к исследуемым фитогомонам или АЗП поликлональных кроличьих антител и меченных пероксидазой антикроличьих антител. О повреждении клеточных мембран проростков судили по содержанию продукта перекисного окисления липидов малонового диальдегида (МДА) на 9-е сут. Выявлено, что содержание эндогенных фитогормонов в проростках сортов Экада 70 и Зауральская Жемчужина претерпевало существенные изменения при дефиците влаги. При этом более существенные перестройки в гормональном балансе были обнаружены у проростков сорта Зауральская Жемчужина, что проявилось и в более выраженном торможении их роста. В условиях засухи растения сорта Экада 70 отличались более ранним и существенно бóльшим накоплением АЗП (на 86 % больше, чем у проростков сорта Зауральская Жемчужина), что может свидетельствовать о вовлечении лектина пшеницы в формирование их засухоустойчивости. Предпосевная обработка ЭБ смягчила негативное влияние засухи на рост и гормональный статус проростков сорта Экада 70 при проращивании в условиях стресса, что, однако, не было характерно для растений сорта Зауральская Жемчужина. Вместе с тем предобработка ЭБ снизила стресс-индуцированное накопление АЗП в растениях сорта Экада 70 на 30 %, что может указывать на снижение стрессовой нагрузки на предобработанные гормоном проростки этого сорта. В пользу этого свидетельствуют и данные о снижении количества МДА на 26 % в тканях ЭБ-предобработанных растений степного волжского экотипа в условиях засухи. Однако у сорта Зауральская Жемчужина защитное влияние предобработки ЭБ на содержание АЗП и мембранные структуры в стрессовых условиях было практически не выражено.

Еще

Пшеница, брассиностероиды, засуха, гормональный баланс, агглютинин зародыша пшеницы

Короткий адрес: https://sciup.org/142246209

IDR: 142246209   |   УДК: 633.111.1:632.112   |   DOI: 10.15389/agrobiology.2025.3.432rus

The role of hormonal system and lectin in the protective effect of 24-epibrassinolide on wheat (Triticum aestivum L.) seedlings differing in drought adaptation strategies under water deficit

A major challenge of modern plant science is unravelling the mechanisms of plant tolerance to drought which leads to disruption of all metabolic events and loss of productivity of plants. Two ecologo-geographical groups (ecotypes) of wheat have formed in the Russian Federation, which differ significantly in their adaptation strategies to drought - the forest-steppe West Siberian and steppe Volga ecotypes. The differences between ecotypes are especially characteristic in the initial stage of ontogenesis. The cultivars of the forest-steppe West Siberian ecotype are characterized by delayed germination and seedling growth. In contrast, seedlings of the steppe Volga ecotype develop rapidly and are more tolerant in comparison with plants of the forest-steppe West Siberian ecotype in the early stage of development. Growth regulators play an important role in regulation of drought tolerance in plants. There has been increasing amount of data demonstrating the involvement of steroidal phytohormones brassinosteroids, characterized by a combination of pronounced growth-stimulating and protective effects, in the regulation of wheat tolerance to water deficit. In this work, for the first time it was revealed the protective effect of 24-epibrassinolide (EBR) on wheat plants of the steppe Volga ecotype to drought, which is based on the mitigation of rapid stress-induced shifts in the content of endogenous phytohormones and the accumulation of protective protein wheat germ agglutinin (WGA). At the same time, the protective effect of EBR on plants of the forest-steppe West Siberian ecotype was not detected, which was due to preservation of stress-induced imbalance of the endogenous hormonal system and insignificant wheat germ agglutinin (WGA) accumulation. The aim of this work is to establish the role of changes in the hormonal system and the content of wheat lectin in the protective effect of 24-epibrassinolide on wheat plants of Zauralskaya Zhemchuzhina (forest-steppe West Siberian ecotype) and Ekada 70 (steppe Volga ecotype) cultivars in the initial stage of their ontogenesis under conditions of simulated soil drought. The work was conducted in 2024. Wheat seeds were pre-soaked for 3 hours in a solution of 0.4 µm of 24-epibrassinolide or distilled water (control) and sown on a soil in 15 liter pots (30 seeds per pot) and grown under controlled conditions. Then, some of the 3-day-old seedlings were exposed to early soil drought, which was modeled by limited watering until the soil moisture dropped to 30 % of the total water retention capacity of soil. In the control pots, the soil moisture was maintained at 70 % of the total water retention capacity of soil. Physiological and biochemical parameters were analyzed at the initial stage of wheat development (7-9 days). Growth was estimated by changes in the fresh and dry weights of untreated and EBR-pretreated seedlings under normal and drought conditions. The contents of abscisic acid (ABA), indolylacetic acid (IAA), cytokinins (CK) and WGA in the same 10 seedlings (0.9-1.0 g of fresh weight) on 7, 8 and 9 days were determined by enzyme immunoassay (ELISA) using specific to the studied phytohomones or WGA polyclonal rabbit antibodies and peroxidase-labeled anti-rabbit antibodies. Damage to the cell membranes of seedlings was assessed by the content of malondialdehyde (MDA), the end product of lipid peroxidation, on 9th day. It was revealed that the content of endogenous phytohormones in seedlings of Ekada 70 and Zauralskaya Zhemchuzhina cultivars underwent significant changes under drought. At the same time, more significant changes in the hormonal balance were found in the seedlings of the Zauralskaya Zhemchuzhina cultivar, which was reflected in a stronger inhibition of their growth. In conditions of drought, plants of the Ekada 70 variety were distinguished by an earlier and significantly higher accumulation of WGA (by 86% more than Zauralskaya Zhemchuzhina seedlings), which may indicate the involvement of wheat lectin in the formation of their drought tolerance. Pre-sowing EBR treatment mitigated the negative effect of drought on the growth and hormonal status of Ekada 70 seedlings during their germination under stress, which, however, was not typical for plants of the Zauralskaya Zhemchuzhina cultivar. At the same time, EBR pretreatment reduced by 30 % the stress-induced accumulation of WGA in Ekada 70 plants, which may indicate a decrease in the stress pressure on hormone-treated seedlings of this cultivar. This is supported by data on a decrease in the amount of malondialdehyde (MDA) by 26 % in the tissues of EBR-pretreated plants of the steppe Volga ecotype under drought. However, in the Zauralskaya Zhemchuzhina cultivar, the protective effect of EBR pretreatment on the content of WGA and membrane structures under stressful conditions was almost not expressed.

Еще

Текст научной статьи Роль гормональной системы и лектина в реализации защитного действия 24-эпибрассинолида на различающиеся по стратегии адаптации к засухе проростки пшеницы (Triticum aestivum L.) при дефиците влаги

К наиболее распространенным повреждающим факторам среды, приводящим к существенному торможению ростовых процессов растений и потере продуктивности, относится засуха (1, 2). Культурные растения, в том числе пшеница, по устойчивости к засухе могут сильно различаться в зависимости от сорта и стадий развития, а также от интенсивности и длительности воздействия стресса (3). В связи с этим особое внимание уделяется исследованию молекулярных механизмов засухоустойчивости растительных организмов к стрессовым факторам, вызывающим нарушение водного режима (4-6).

В зависимости от времени наступления засуха бывает либо весенней, либо летней, хотя может проявляться и в течение всего периода вегетации. Зерновые культуры, в частности яровая пшеница, обычно подвергаются воздействию весенней засухи в начальную фазу онтогенеза, в период прорастания и формирования всходов.

Летняя засуха наступает, когда растения пшеницы выходят в трубку, и продолжается в фазу колошения. Весенний вид засухи характерен для районов Западной Сибири, тогда как летняя засуха наблюдается в юго-восточных районах европейской части России, в частности в регионах Поволжья. У яровой пшеницы в этих условиях сформировались две существенно различающиеся по стратегии адаптации к засухе эколого-географические группы — лесостепной западносибирский и степной волжский экотипы (7, 8). Для сортов лесостепного западносибирского экотипа присущи замедленные всхожесть и рост проростков на начальном этапе, а также растянутая фаза кущения. Для активного роста и развития они используют выпадающие в Сибири в середине лета обильные дожди. Растения степного волжского экотипа, благодаря весенним запасам влаги в почве, быстро развиваются в начальную фазу и ко времени наступления летней засухи образуют хорошо разветвленную сеть корней, что позволяет формировать хороший урожай. То есть сорта, относящиеся к разным эколого-географическим группам, проявляют различия по засухоустойчивости в разные фазы своего развития.

К характерным ответным реакциям растений на дефицит воды относится быстрое, обычно транзиторное, усиление синтеза и накопления абсцизовой кислоты (АБК), под контролем которой находятся многочисленные RAB (responsive to ABA) гены, задействованные в защите клеток от повреждений, вызываемых обезвоживанием (9, 10). К RAB-генам, в частности, относятся гены, кодирующие агглютинин зародыша пшеницы (АЗП) (11).

АЗП как типичный представитель лектинов злаков является характерным для растений пшеницы белком в процессе всего онтогенеза (12). Ключевая функция лектинов обусловлена их свойством специфически и обратимо связываться с углеводными лигандами, благодаря чему им отводится важная роль в распознавании чужеродных организмов и формировании устойчивости растений к патогенам и вредителям (12-14). Однако наряду с центрами специфического сродства с углеводами для лектинов характерно наличие сайтов, ответственных за гидрофобное взаимодействие с молекулами неуглеводной природы, посредством которых они могут взаимодействовать с фитогормонами (15), в частности брассиностероидами (БС) (16), и, следовательно, вовлекаться в регуляцию обменных процессов, лежащих в основе роста, развития и дифференцировки растений в норме и при стрессе. Получены данные об участии АЗП в регуляции деления клеток корней проростков пшеницы (16) и формирования защитных реакций растений в ответ на абиотические стрессы, вызывающие нарушение водного режима (12, 13, 17).

Брассиностероиды — фитогормоны стероидной природы, способные в крайне низких концентрациях проявлять рост-стимулирующую активность и протекторное действие при неблагоприятных воздействиях, в частности дефиците влаги. К настоящему времени накопилось немало сведений, демонстрирующих эффективность применения БС для повышения устойчивости различных культур к засухе, засолению, гипотермии и другим вызывающим обезвоживание стрессам как при предпосевной обработке, так и предобработке вегетирующих растений, что приводит к увеличению их продуктивности (18-20).

Ранее мы показали, что гены, кодирующие АЗП, проявляют высокую чувствительность к 24-эпибрассинолиду (ЭБ) в проростках пшеницы в нормальных условиях произрастания на фоне отсутствия изменений в содержании эндогенной АБК (21), и продемонстрировали взаимодействие АЗП и ЭБ в регуляции деления клеток корней пшеницы в этих условиях (22). Также обнаружен важный вклад эндогенного АЗП в реализацию защитного действия предобработки ЭБ на проростки пшеницы, подвергнутые засолению (23).

В настоящей работе впервые выявлен протекторный эффект 24-эпи-брассинолида у растений пшеницы степного волжского экотипа в условиях засухи, в основе чего лежит нивелирование ЭБ резких стресс-индуцирован-ных сдвигов в содержании эндогенных фитогормонов и накопление защитного белка агглютинина зародыша пшеницы. Вместе с тем защитный эффект ЭБ на растения лесостепного западносибирского экотипа не обнаружен, что проявилось в сохранении индуцированного стрессом дисбаланса эндогенной гормональной системы и несущественном накоплении АЗП.

Цель работы — установить роль изменений в гормональной системе и содержании лектина пшеницы в реализации протекторного действия 24-эпибрассинолида на растения пшеницы сортов Зауральская Жемчужина и Экада 70 в начальную фазу их онтогенеза в условиях моделируемой почвенной засухи.

Методика. Объектом исследования (г. Уфа, 2024 год) служили проростки пшеницы Triticum aestivum L. сортов Зауральская Жемчужина (лесостепной западносибирский экотип) и Экада 70 (степной волжский экотип), любезно предоставленные Чишминским селекционным центром Башкирского НИИ сельского хозяйства.

Семена стерилизовали 96 % этанолом, после чего подвергали предпосевному замачиванию в растворе 0,4 мкМ 24-эпибрассинолида или в дистиллированной воде (контроль) в течение 3 ч. После этого семена высевали в почвогрунт (pH 6,5, оптимальное соотношение NPK, влажность 65 %; ООО «Велторф», Россия) в вегетационные сосуды объемом 15 л (по 30 семян, глубина посева — 4-5 см, расстояние между рядами и между проростками в ряду — 2,5 см) и выращивали в контролируемых условиях

(21-23 ° С, 16-часовой фотопериод, освещенность 360 мкмоль • м - 2 •с - 1, влажность воздуха 60 %).

Часть проростков по достижении 3-суточного возраста подвергали воздействию ранней почвенной засухи, для моделирования которой проводили ограниченный полив в течение всего эксперимента для поддержания значения влажности 30 % от полной влагоемкости почвы (ПВП). В контроле поддерживали влажность 70 % от ПВП. Влагоемкость почвы определяли термостатно-весовым методом с использованием сухожарового шкафа SNOL 67/350 («Umega», Литва) и весов NV422 («Ohaus», США) (24, 25).

Физиолого-биохимические параметры анализировали на начальном этапе развития пшеницы (7-9-е сут). Использовали периодизацию онтогенеза хлебных злаков в разработке Т.Б. Батыгиной (26). О росте судили по изменению сырой и сухой массы необработанных и предобработанных ЭБ проростков в норме и в условиях засухи на 7-е, 8-е и 9-е сут проращивания. Показатели роста оценивали в трех независимых опытах в трех биологических повторностях, каждый вариант включал не менее 30 растений.

Содержание абсцизовой (АБК) и индолилуксусной (ИУК) кислот, цитокининов (ЦК) и АЗП в одних и тех же 10 проростках (сырая масса 0,91,0 г) на 7-е, 8-е и 9-е сут определяли методом иммуноферментного анализа (ИФА) с использованием специфичных к исследуемым фитогормонам или АЗП поликлональных кроличьих антител и меченных пероксидазой анти-кроличьих антител (16, 23). Для этого проростки гомогенизировали в 80 % этаноле в соотношении масса:объем 1:10, гомогенат выдерживали при 4 ° С в течение 16 ч. После центрифугирования при 10000 g (центрифуга Avanti J-E, «Beckman Coulter», США) супернатант использовали для определения количества фитогормонов, а осадок — для оценки АЗП.

Супернатант упаривали в токе воздуха до водного остатка, в аликвоте которого определяли содержание цитокининов (16). Серным эфиром экстрагировали из водного остатка индолилуксусную и абсцизовую кислоты, метилировали их диазометаном и после упаривания сухой остаток растворяли в 80 % этаноле, в аликвоте которого определяли количество ИУК и АБК. АЗП экстрагировали из оставшегося после центрифугирования осадка 50 мМ HCl в течение 1 ч при комнатной температуре. После центрифугирования при 18000 g (Avanti J-E, «Beckman Coulter», США) супернатант нейтрализовали 1 М Na-фосфатным буфером (pH 7,2), который использовали для анализа содержания АЗП с помощью антител к АЗП. Процедура анализа фитогормонов и АЗП детально описана ранее (16, 23).

О повреждении клеточных мембран проростков судили по содержанию продукта перекисного окисления липидов малонового диальдегида (МДА) на 9-е сут (27). Для этого 1,0 г растительной ткани гомогенизировали в 5 мл 10 % (масса:объем) трихлоруксусной кислоты (ТХУ) с последующим центрифугированием гомогената при 12000 g (Avanti J-E, «Beckman Coulter», США) в течение 15 мин. Супернатант смешивали с равным объемом тио-барбитуровой кислоты — 0,5 % в 20 % (масса:объем) ТХУ, смесь инкубировали на водяной бане в течение 30 мин при 100 ° С. После охлаждения образцы центрифугировали 15 мин при 10000 g (Avanti J-E, «Beckman Coulter», США). Оптическую плотность супернатанта измеряли при длине волны 532 и 600 нм (спектрофотометр SmartSpecTM Plus, «Bio-Rad», США). Для расчета содержания МДА использовали коэффициент молярной экстинкции равный 155 М - 1 • см - 1 (27).

На рисунках и в таблицах представлены средние арифметические трех независимых опытов (M), каждый из которых проведен в трех биоло- гических повторностях, и их стандартные ошибки (±SEM). Полученные результаты обрабатывали статистически с помощью дисперсионного анализа ANOVA, используя SPSS 13.0 для Windows («SPSS, Inc.», США). Достоверные различия между средними рассчитывали с помощью LSD-теста при p ≤ 0,05.

Результаты. Засуха относится к наиболее распространенным стрессовым факторам среды, оказывающим негативное влияние на рост и развитие культурных растений, в том числе пшеницы. Растения пшеницы особенно подвержены засухе на начальном этапе своего жизненного цикла, при этом существенно ограничивается прорастание семян и снижается интенсивность ростовых процессов в молодых проростках из-за уменьшения функциональной активности клеток (4-6).

Ранее мы показали, что на начальном этапе развития проростки сорта Экада 70 степного волжского экотипа проявляли лучшую всхожесть, выделялись более высокими показателями роста и, следовательно, обладали более высокой засухоустойчивостью в сравнении с проростками сорта Зауральская Жемчужина лесостепного западносибирского экотипа (28).

Вместе с тем к настоящему времени накопилось немало данных об эффективности применения фитогормонов брассиностероидов для повышения устойчивости пшеницы к дефициту влаги (19, 20). В связи с этим было интересно выявить сходства и различия в действии 24-эпибрассино-лида — активного представителя брассиностероидов на засухоустойчивость экотипов пшеницы, различающихся по стратегии адаптации к засухе.

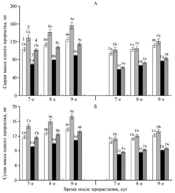
Рис. 1. Сырая (А) и сухая (Б) масса необработанных и предобработанных раствором 0,4 мкМ 24-эпибрассинолида (ЭБ) проростков у сортов пшеницы ( Triticum aestivum L.) Экада 70 (слева) и Зауральская Жемчужина (справа) в условиях моделируемой почвенной засухи и нормальной вла-гообеспеченности на 7-е, 8-е и 9-е сут: 1 — контроль, 2 — ЭБ, 3 — засуха, 4 — ЭБ + засуха

(три независимых опыта проведены в трех биологических повторностях, по 30 проростков в каждой, M ±SEM, лабораторный опыт, г. Уфа, 2024 год). Разными строчными буквами обозначены статистически значимые различия между вариантами опыта в одни и те же сроки обработки при р 0,05 (ANOVA, LSD-тест). Разными прописными буквами обозначены статистически значимые различия между значениями вариантов опыта в разные сроки при р 0,05 (ANOVA, LSD-тест).

Установлено, что в контрольном варианте на протяжении всего опыта проростки сорта Экада 70 характеризовались большей сырой и сухой массой по сравнению с сортом Зауральская Жемчужина, тогда как проращивание в условиях стресса привело к уменьшению этого показателя у обоих сортов, однако у сорта Зауральская Жемчужина оно было выражено гораздо сильнее (p 0,05) (рис. 1). Предпосевная обработка ЭБ способствовала стойкому увеличению сырой и сухой массы проростков сорта Экада 70 в нормальных условиях в среднем на 25 % (p 0,05) в сравнении с не обработанными гормоном, тогда как масса предобработанных ЭБ проростков сорта Зауральская Жемчужина практически не изменялась в сравнении с контролем (см. рис. 1). Мы выявили выраженное защитное действие ЭБ на показатели проростков Экада 70, подвергнутых засухе: их масса практически соответствовала показателям в контроле (см. рис. 1).

Многочисленные данные, полученные на разных видах растений, убедительно демонстрируют эффективность применения БС как при предпосевном замачивании семян, так и при обработке вегетирующих растений с целью повышения их устойчивости к неблагоприятным факторам среды и увеличения продуктивности (18-20). Вместе с тем в наших опытах предпосевная обработка гормоном не оказывала стимулирующего и протекторного эффекта на показатели роста проростков сорта Зауральская Жемчужина. По-видимому, это связано с замедленным ростом на начальном этапе жизненного цикла у пшениц лесостепного западносибирского экотипа, что позволяет успешно пережить весеннюю засуху, характерную для регионов их произрастания (7, 8).

В то же время, поскольку фитогормонам отводится ведущая роль в регуляции функций растений на всех этапах онтогенеза, в том числе на начальном (16, 29), влияние предобработки ЭБ на рост изучаемых экотипов пшеницы в условиях почвенной засухи может быть обусловлено изменениями в эндогенной гормональной системе.

Мы установили, что контрольные растения сорта Экада 70 отличались от таковых сорта Зауральская Жемчужина заметно большим количеством ИУК и цитокининов (p 0,05), при этом существенных различий в содержании АБК у обоих сортов не наблюдалось (рис. 2).

Предпосевная обработка ЭБ не привела к значимым изменениям в содержании АБК и ИУК в проростках обоих сортов, однако индуцировала более чем 2-кратное накопление цитокининов (p 0,05) в растениях сорта Экада 70 (см. рис. 2). Предобработанные проростки сорта Зауральская Жемчужина также имели повышенное содержание цитокининов, но количество последних заметно уступало таковому у сорта Экада 70, превышая контрольный показатель в 1,3 раза (p 0,05). Известно, что цитокинины крайне эффективны в стимуляции роста разных видов растений, в том числе пшеницы (30, 31), в связи с чем, по-видимому, проростки сорта Экада 70 характеризовались более высокой биомассой, которая увеличивалась при предпосевной обработке ЭБ, в сравнении с сортом Зауральская Жемчужина (см. рис. 1).

У подвергавшихся засухе проростков наблюдали существенные перестройки в гормональном статусе, связанные с обратимым накоплением АБК и существенным падением содержания ауксина и цитокининов, однако у сорта Зауральская Жемчужина изменения были гораздо более выраженными (p ≤ 0,05) (см. рис. 2). Это не удивительно, поскольку характерной реакцией на стресс в растительных организмах становится резкое увеличение количества ингибирующего рост фитогормона АБК одновременно со снижением содержания рост-стимулирующих гормонов ИУК и ЦК, что, в конечном счете, приводит к замедлению ростовых процессов (32).

Рис. 2. Содержание абсцизовой кислоты (АБК) (А) , индолилуксусной кислоты (ИУК) (Б) и цитокининов (ЦК) (В) в необработанных и предобработанных раствором 0,4 мкМ 24-эпибрассино-лида (ЭБ) проростках пшеницы ( Triticum aestivum L.) сортов Экада 70 (слева) и Зауральская Жемчужина (справа) в условиях моделируемой почвенной засухи и нормальной влагообеспечен-ности на 7-е, 8-е и 9-е сут: 1 — контроль, 2 — ЭБ, 3 — засуха, 4 — ЭБ + засуха (три независимых опыта проведены в трех биологических повторностях, по 10 проростков в каждой, M ±SEM, лабораторный опыт, г. Уфа, 2024 год). Разными строчными буквами обозначены статистически значимые различия между вариантами опыта в одни и те же сроки обработки при р 0,05 (ANOVA, LSD-тест). Разными прописными буквами обозначены статистически значимые различия между значениями вариантов опыта в разные сроки при р 0,05 (ANOVA, LSD-тест).

Предпосевное замачивание семян в растворе ЭБ хоть полностью и не предотвратило, но существенно уменьшило стресс-индуцированный дисбаланс фитогормонов (p 0,05) в проростках сорта Экада 70. Так, пред-обработанные ЭБ растения степного волжского экотипа при воздействия почвенной засухи характеризовались существенно меньшим накоплением АБК, который к 9-м сут фактически возвратился к контрольному значению, а также повышенным содержанием ИУК относительно необработанных ЭБ проростков (см. рис. 2).

Обращает на себя внимание то, что в условиях стресса в предобра-ботанных ЭБ проростках сорта Экада 70 содержание цитокининов на протяжении всего эксперимента было выше контрольных значений (p 0,05) (см. рис. 2). Следовательно, предобработка ЭБ оказала явно выраженный защитный эффект на растения сорта Экада 70 степного волжского экотипа, подвергнутых засухе. В то же время в предобработанных растениях сорта Зауральская Жемчужина хоть и наблюдалось меньшее накопление АБК, но до конца опыта оно оставалось существенно выше относительно контрольного варианта (p 0,05). При этом содержание ауксина и цитокининов в этих растениях регистрировали фактически на уровне подвергнутых засухе необработанных ЭБ растений (см. рис. 2). Это в целом отразилось на идентичности показателей роста как предобработанных, так и не обработанных ЭБ проростков сорта Зауральская Жемчужина в норме и при стрессе (см. рис. 1).

Вместе с тем в ответ на засуху индуцируется экспрессия белков, задействованных в формировании устойчивости к стрессовым факторам, вызывающим дефицит влаги (9, 10). К таковым, в частности, относят и агглютинин зародыша пшеницы — типичный представитель лектинов злаков, играющий важную роль в неспецифической защите растений от неблагоприятных факторов (11, 16, 17).

Рис. 3. Содержание агглютинина зародыша пшеницы (АЗП) в необработанных и предобработан-ных раствором 0,4 мкМ 24-эпибрассинолида (ЭБ) проростках пшеницы ( Triticum aestivum L.) сортов Экада 70 (слева) и Зауральская Жемчужина (справа) в условиях моделируемой почвенной засухи и нормальной влагообеспеченности на 7-е, 8-е и 9-е сут: 1 — контроль, 2 — ЭБ, 3 — засуха, 4 — ЭБ + засуха (три независимых опыта проведены в трех биологических повторностях, по 10 проростков в каждой, M ±SEM, лабораторный опыт, г. Уфа, 2024 год). Разными строчными буквами обозначены статистически значимые различия между вариантами опыта в одни и те же сроки обработки при р 0,05 (ANOVA, LSD-тест). Разными прописными буквами обозначены статистически значимые различия между значениями вариантов опыта в разные сроки при р 0,05 (ANOVA, LSD-тест).

В наших опытах содержание лектина пшеницы в контрольных проростках оставалось стабильным на протяжении всего времени у обоих сортов, хотя сорт Экада 70 выделялся повышенным количеством АЗП (p 0,05)

в сравнении с проростками сорта Зауральская Жемчужина (рис. 3). Предпосевная обработка ЭБ в норме вызвала повышение содержания АЗП в проростках сорта Экада 70 в среднем на 25 % в сравнении с контрольными растениями (p 0,05), что согласуется с полученными ранее данными о способности ЭБ вызывать накопление этого лектина (21). Заметного увеличения содержания лектина пшеницы в растениях сорта Зауральская Жемчужина мы не обнаружили (см. рис. 3).

Воздействие ранней почвенной засухи вызвало поступательное накопление АЗП в проростках обоих экотипов, поскольку лектин пшеницы проявляет высокую чувствительность к стрессовым факторам среды, вызывающим обезвоживание (11, 23). Однако динамика накопления АЗП в изученных сортах различалась. Так, устойчивый к ранней засухе сорт Экада 70 характеризовался существенно более высоким накоплением АЗП в сравнении с проростками сорта Зауральская Жемчужина. На 7-е сут у проростков сорта Экада 70 наблюдалось 1,5-кратное повышение содержания АЗП относительно контроля, к 9-сут оно достигало максимума и становилось 2,5-кратным (p 0,05). Значимое накопление лектина в растениях сорта Зауральская Жемчужина регистрировали только на 9-е сут — 150 % от контроля (p 0,05).

Важно отметить, что в условиях почвенной засухи предобработан-ные ЭБ растения Экада 70 отличались от необработанных гормоном проростков меньшим накоплением АЗП (p 0,05) (см. рис. 3). Так, если на 7-е сут в условиях стресса уменьшение содержания лектина было незначительным, то на 9-е сут в предобработанных проростках падение этого показателя достигало 30 % от значений у необработанных (см. рис. 3). По-види-мому, этот факт может свидетельствовать о снижении стрессовой нагрузки на предобработанные ЭБ растения сорта Экада 70, когда отсутствует необходимость в поддержании высокого количества этого белка. Вместе с тем в стрессовых условиях значимый эффект предпосевной обработки ЭБ на содержание АЗП в проростках у сорта Зауральская Жемчужина отсутствовал.

В целом мы выявили резкие различия двух неодинаковых по устойчивости к засухе сортов пшеницы по содержанию АЗП, а также динамике изменений этого белка в проростках, подвергнутых предпосевной обработке ЭБ в норме и в условиях почвенной засухи.

Значительный массив данных свидетельствует о существенном возрастании содержания лектина в растениях пшеницы при воздействии на них засоления (23), гипертермии (33), засухи и осмотического стресса (34), что указывает на важное значение этого белка в защитных реакциях пшеницы в ответ на обезвоживание. Полученные в настоящем исследовании данные о способности ЭБ стимулировать дополнительный синтез лектина в нормальных условиях и поддерживать его содержание в растениях сорта Экада 70 при засухе могут указывать на существенный вклад АЗП в протекторный эффект ЭБ, оказываемый на проростки сорта степного волжского экотипа при дефиците влаги.

Поскольку АЗП экскретируется во внешнюю среду, можно предполагать, что индуцированное стрессом повышение его количества приводит к усилению экскреции; это может играть важную роль в предохранении растения от инфицирования фитопатогенами. Это вполне вероятно из-за сродства лектина к N-ацетил-D-глюкозамину — мономеру хитина и важному компоненту хитинсодержащих клеточных стенок патогенных грибов (21). Также в числе предполагаемых функций лектина рассматривается его участие в регуляции деления клеток и вовлечение АЗП в восстановление ростовых процессов в меристематических клетках у проростков, подвергнутых стрессовым воздействиям (11, 15). В пользу этого могут свидетельствовать полученные нами ранее данные о стимулирующем действии ЭБ на деление клеток в проростках пшеницы, связанном с ЭБ-индуцирован-ным накоплением в них АЗП (16). Также было выявлено, что предобработка ЭБ предотвращает стресс-индуцированное снижение деления клеток растений пшеницы, важный вклад в которое вносит экскретируемый ими в окружающую среду лектин (11).

Одним из важных показателей повреждающего действия стрессовых факторов на растения служит содержание малонового диальдегида — конечного продукта перекисного окисления липидов мембран (17, 27). Мы установили, что контрольные растения обоих сортов пшеницы слабо различались по этому показателю и можно было лишь проследить некоторую тенденцию к его уменьшению у засухоустойчивого сорта Экада 70 (табл.).

Содержание малонового диальдегида (мкмоль/г сырой массы) в необработанных и предобработанных раствором 0,4 мкМ 24-эпибрассинолида (ЭБ) в 9-суточных проростках пшеницы ( Triticum aestivum L.) двух сортов в условиях моделируемой почвенной засухи и нормальной влагообеспеченности ( M ±SEM, лабораторный опыт, г. Уфа, 2024 год)

Сорт          I Контроль I ЭБ          Засуха ЭБ + засуха

Экада 70                            10,3±0,3Bc       10,7±0,4Bc        17,3±0,7Ba         12,8±0,6Bb

Зауральская Жемчужина           11,9±0,4Ab       11,7±0,4Ab       23,3±1,2Aa        21,8±1,1Aa

Примечание. Три независимых опыта проведены в трех биологических повторностях, по 10 проростков в каждой. Разными буквами обозначены статистически значимые различия между вариантами опытов при р 0,05 (ANOVA, LSD-тест). Большими буквами обозначены различия в столбцах, маленькими — в строках.

Проращивание проростков пшеницы Экада 70 и Зауральская Жемчужина в условиях почвенной засухи вызвало значительное увеличение содержания МДА, особенно у менее устойчивого сорта Зауральская Жемчужина (p 0,05). Интересно, что предобработанные ЭБ растения сорта Зауральская Жемчужина существенно не отличались по этому показателю от не обработанных гормоном проростков в условиях стресса. Однако предпосевная обработка ЭБ способствовала значительному снижению содержания МДА в проростках сорта Экада 70 (p 0,05), что служит еще одним аргументом в пользу эффективности применения предпосевной обработки ЭБ с целью повышения устойчивости растений степного волжского экотипа к засухе (см. табл.).

Таким образом, мы показали эффективность предпосевного замачивания семян пшеницы сорта Экада 70 степного волжского экотипа в растворе 0,4 мкМ 24-эпибрассинолида (ЭБ) для повышения устойчивости растений к дефициту влаги на начальном этапе онтогенеза. В основе ЭБ-ин-дуцированной устойчивости проростков этого экотипа лежит снижение резких стресс-индуцированных сдвигов в содержании эндогенных фитогормонов абсцизовой, индолилуксусной кислот и цитокининов до контрольных значений под влиянием 24-эпибрассинолида. Важный вклад в формирование ЭБ-модулируемой засухоустойчивости сорта Экада 70 может вносить способность гормона индуцировать 1,6-кратное накопление агглютинина зародыша пшеницы — защитного белка, важного компонента протекторных реакций растений пшеницы. В то же время отсутствие защитного эффекта 24-эпибрассинолида на растения сорта Зауральская Жемчужина лесостеп- ного западносибирского экотипа связано с их нечувствительностью к предпосевной обработке ЭБ, что отразилось в сохранении индуцированного засухой существенного дисбаланса в эндогенной гормональной системе и небольшом 1,2-кратном накоплении агглютинина зародыша пшеницы у пред-обработанных гормоном проростков этого экотипа.