Теоретические и прикладные аспекты проектирования высокотемпературного теплового накопителя энергии на основе графитового материала

Автор: Зинуров В.Э., Чадаев А.Н., Дмитриев А.В., Дмитриева О.С., Мугинов А.М., Зиангиров А.Ф.

Журнал: Вестник Южно-Уральского государственного университета. Серия: Энергетика @vestnik-susu-power

Рубрика: Теплотехника

Статья в выпуске: 4 т.25, 2025 года.

Бесплатный доступ

Актуальность исследования данной проблемы обусловлена тем, что классические теплоизоляционные материалы обладают ограниченной теплостойкостью, что затрудняет их применение для систем накопления энергии с теплоносителями, работающими при температурах до 2000°С. Разработка конструктивных решений тепловых накопителей энергии с многослойной теплоизоляцией обеспечивает оптимальный баланс между уровнем теплопотерь и экономической эффективностью. В связи с этим целью настоящей статьи является проведение технико-экономического анализа конструктивных решений теплового накопителя энергии с высокотемпературным рабочим телом. В статье предложен алгоритм расчета конструкции накопителя, основанный на решении уравнений теплопередачи в цилиндрической геометрии с учетом кондукции, радиационного обмена и конвекции в межслойных зазорах. Алгоритм позволяет комплексно оценивать теплопотери и совокупную стоимость материалов (графит, вольфрам, базальтовая вата, аргон) в зависимости от температуры графитового аккумулирующего материала, толщины теплоизоляции и требуемой тепловой емкости накопителя. Для повышения точности расчетов используется итерационная процедура, учитывающая температурные зависимости теплофизических свойств материалов. В рамках исследования проведен сравнительный анализ трех типоразмеров теплового накопителя энергии «М», «С» и «Б» с запасаемой тепловой энергией от 805 до 39680 МВт. Установлено, что при значительных теплопотерях в виду использования тонкого слоя изоляции, наиболее целесообразной является эксплуатация накопителя при температуре графитового цилиндра 1800–2000°С. Для устранения теплопотерь увеличиваем толщину теплоизоляции, используя преимущественно базальтовую вату, также экономически выгодно снизить температуру графита до 800–1200°С. Практическое использование предлагаемого алгоритма расчета позволяет определить оптимальные соотношения между объемом графита, рабочей температурой эксплуатации и совокупной стоимостью теплонакопителя заданной емкости. Введенный безразмерный параметр, показывающий соотношение внешнего радиуса теплоизоляции к радиусу графитового цилиндра, определяет ключевые диапазоны оптимальной температуры для накопителей различных габаритов.

Еще

Тепловой накопитель энергии, графит, высокотемпературное рабочее тело, теплоизоляция, вольфрамовые экраны, конвективно-радиационный теплообмен, технико-экономический анализ, безразмерные параметры, энергоэффективность

Короткий адрес: https://sciup.org/147252966

IDR: 147252966   |   УДК: 697.328:620.9   |   DOI: 10.14529/power250409

Theoretical and applied aspects of designing a high-temperature thermal energy storage system based on graphite material

The relevance of studying this problem is because classical thermal insulation materials have limited thermal resistance, which complicates their use in energy storage systems with heat transfer fluids operating at temperatures up to 2000°C. Developing design solutions for thermal energy storage systems with multi-layer insulation ensures an optimal balance between the level of heat loss and economic efficiency. Therefore, the aim of this article is to conduct a technical and economic analysis of design solutions for a thermal energy storage system with a high-temperature working medium. The article proposes an algorithm for calculating the storage system design, based on solving heat transfer equations in cylindrical geometry, considering conduction, radiation exchange, and convection in interlayer gaps. The algorithm allows for a comprehensive assessment of heat losses and the total cost of materials (graphite, tungsten, basalt wool, argon) depending on the temperature of the graphite accumulating material, the thickness of the insulation, and the required thermal capacity of the storage system. To improve the accuracy of calculations, an iterative procedure is used, considering the temperature dependencies of the thermophysical properties of the materials. Within the study, a comparative analysis of three sizes of thermal energy storage systems, "M", "S" and "B" with stored thermal energy ranging from 805 to 39680 MWt, was conducted. It was found that with significant heat losses because of the use of a thin layer of insulation, the most reasonable operation of the storage system is at a temperature of the graphite cylinder between 1800–2000°C. To eliminate heat losses, the thickness of the insulation is increased, primarily using basalt wool, and it is also economically beneficial to reduce the temperature of the graphite to 800–1200°C. The practical use of the proposed calculation algorithm allows determining the optimal ratios between the volume of graphite, the operating temperature, and the total cost of the thermal storage system of a capacity. The introduced dimensionless parameter, which shows the ratio of the external radius of the insulation to the radius of the graphite cylinder, determines the key ranges of optimal temperature for storage systems of different sizes.

Еще

Текст научной статьи Теоретические и прикладные аспекты проектирования высокотемпературного теплового накопителя энергии на основе графитового материала

<\_л_дь_

Накопители тепловой энергии демонстрируют многообещающий потенциал применения во многих областях промышленности с целью оптимизации процессов производства и потребления тепловой энергии [1, 2], позволяют наиболее эффективно использовать производственные мощности независимо от времени и режимов потребления

При этом использование материалов с фазовым переходом, таких как олово, для накопителей тепловой энергии имеет свои сложности. Основная проблема заключается в том, что при плавлении и затвердевании материал может расширяться и сжиматься, что требует прочного и гибкого контейнера [7]. Контейнер должен выдерживать высокие температуры и механические нагрузки, не разрушаясь при этом.

Выбор материала основан на оценке его различных характеристик, включая стоимость, определяет тепловую емкость установки, устойчивость к высоким температурам и долговечность эксплуатации [8]. Для улучшения теплопередачи в системах с накопителями тепловой энергии также применяют методы увеличения теплопередачи путем добавления наночастиц с высокой теплопроводностью [8, 9], увеличения площади поверхности, используя плавники [10] или пористые структуры [11], а также используют активное перемешивание [12–14] и многие другие [15]. Эти методы могут быть адаптированы в зависимости от конкретных требований и условий эксплуатации системы, однако не менее важными являются этапы оптимизации конструкции и толщины теплоизоляции, ведь именно теплопотери через изоляционный слой приводят к существенному снижению эффективности хранения тепла. Теплоизоляция является критически важной. Она должна предотвращать потери тепла, но при этом выдерживать температуры, которые могут достигать 2000 °С [16]. При этом классические теплоизоляционные материалы ограничены верхним диапазоном рабочих температур (обычно не более 1000–1200 °С), что затрудняет реализацию высокотемпературных тепловых накопителей.

Одним из вариантов решения этой проблемы является создание комбинированных или многослойных систем теплоизоляции, сочетающих материалы, выдерживающие высокие температуры, например, вольфрамовые экраны, экранирующие излучение при температуре до 2000 °С и выше, и более дешевые теплоизоляционные материалы (минеральная вата, керамические волокна и др.). Многослойная изоляция может быть эффективным решением, так как разные материалы могут использоваться для блокировки различных видов теплопередачи (конвекция, излучение, теплопроводность). Подобные решения позволяют снизить общие теплопотери, но одновременно повышают сложность расчета и проектирования.

Авторами работы [17] была предложена цилиндрическая конструкция теплового накопителя энергии с высокотемпературным рабочим телом из олова, в центре которой имеется канал (контейнер) из вольфрама для циркуляции нагретого олова с целью передачи тепловой энергии в осесимметричном направлении графиту, который аккумулирует ее и нагревается до температуры 2000 °С.

При этом графит термостойкий и обладает высокой теплопроводностью. Теплоизоляция состоит из нескольких вольфрамовых экранов, между которыми воздух замещается аргоном с целью исключения химических реакций между кислородом и графитом, и слоя минеральной ваты ввиду ее относительно низкой стоимости, негорючести и высокой теплостойкости при температурах до 900–1200 °С. Аналогичными теплоизоляционными свойствами обладает базальтовая вата и может быть также использована, поскольку обладает при этом более высокой защищенностью от влаги.

:dlmZevghklv bkke_Ah\Zgby

Актуальность исследования обусловлена необходимостью проведения комплексного анализа экономической целесообразности проектирования теплового накопителя энергии заданной (одинаковой) тепловой емкости [18]. В частности, возможно использование увеличенного объема графитового аккумулирующего материала при относительно низкой рабочей температуре, либо, напротив, уменьшение объема графита и эксплуатация установки при более высокой температуре, что неизбежно отразится на увеличении затрат на теплоизоляцию, но уменьшит затраты на графит.

lhklZgh\dZ p_eb bkke_Ah\Zg by

Целью данной работы является проведение технико-экономического анализа конструктивных решений теплового накопителя энергии с высокотемпературным рабочим телом, позволяющего определить оптимальные соотношения между объемом графитового аккумулирующего материала, рабочей температурой, толщиной теплоизоляции и итоговой стоимостью установки при заданной тепловой емкости. В задачи исследования входит сравнение затрат на графит (при изменении его объема), затрат на теплоизоляцию (при изменении ее толщины) и оценку влияния каждого из вариантов на габаритные показатели теплового накопителя и его итоговую стоимость.

GZmqgZy gh\bagZ

Ранее был разработан алгоритм расчета теплового накопителя энергии [19], позволяющий определять толщину теплоизоляции и оценивать динамику процесса зарядки-разрядки. Он базируется на классических решениях уравнений теплопередачи с учетом всех основных механизмов теп-лопереноса [20]: кондукция в твердом теле, радиационный обмен между поверхностями и конвекция (в виде эквивалентной теплопроводности) в газонаполненных межслойных зазорах. Для повышения точности результаты расчета уточняются итерационным путем с учетом изменения теплофизических свойств материалов в зависимости от температуры.

Таблица 1

Table 1

Стоимость основных материалов

Cost of basic materials

Материал

Стоимость

Графитовый порошок

27 руб./кг

Вольфрам, фольга 0,05 мм

85 руб./кг

Базальтовая вата

350 руб./кг

Аргон, заправка 40 л или 6,3 м3 при н. у.

2000 руб.

В рамках настоящего исследования данный алгоритм был дополнен расчетным блоком, позволяющим учитывать стоимость основных материалов (графит, вольфрам, базальтовая вата и аргон), в зависимости от их требуемой массы или объема при проектировании конкретной конструкции теплового накопителя энергии.

F_lhAitokke_Ah\Zgby

Для реализации поставленной цели осуществляется оценка процесса теплопередачи через теплоизоляционные контуры теплового накопителя энергии. В ходе расчетов цены на материалы были определены из открытых источников (онлайн-каталоги и специализированные сайты) и усреднены (табл. 1), после чего на основе ранее разработанного алгоритма была проведена серия расчетов тепловых накопителей энергии промышленного масштаба разных типов, отличающихся по запасаемой тепловой энергии: малый «М» (805 МВт), средний «С» (11 960 МВт) и большой «Б» (39 680 МВт).

Каждый типоразмер («М», «С» и «Б») конструкции моделировался при разных значениях тем- пературы теплоаккумулирующего графитового материала 11.0 (от 800 до 2000 °С с шагом 200 °С). При этом для каждой фиксированной величины t1.0 определялся постоянный радиус графитового цилиндра и варьировались параметры теплоизоляции (включающей вольфрамовые экраны и базальтовую вату), формируя разные уровни тепловых потерь Q. По итогам данных расчетов вычислялась совокупная стоимость тепловых накопителей энергии с учетом расходов на графит, вольфрам, базальтовую вату и аргон, что позволило провести сравнительный анализ экономической эффективности различных комбинаций геометрических и температурных параметров.

J_raievlZlu b kke_Ah\Zg be

В результате проведенных исследований выявлена закономерность, что с увеличением тепло-потерь Q экономически целесообразно применение теплового накопителя энергии с высокой температурой графитового теплоаккумулирующего материала t 1.0 , вплоть до 2000 °С (рис. 1–3). Данный эффект объясняется снижением затрат на тепло-

Рис. 1.                                                                     ипа «М»

от величины теплопотерь Q через теплоизоляцию при температуре графитового теплоаккумулирующего материала t 1.0 , °C: 1 – 800; 2 – 1000; 3 – 1200; 4 – 1400; 5 – 1600; 6 – 1800; 7 – 2000

Fig. 1. Dependence of the total cost of a S-type thermal energy storage device on the amount of heat loss Q through thermal insulation at temperature of graphite heat storage material t 1.0 , °C: 1 – 800; 2 – 1000; 3 – 1200; 4 – 1400; 5 – 1600; 6 – 1800; 7 – 2000

0    2    4     6     8    10    12    14 Q , кВт

Рис. 2. За                                                                   па «С»

от величины теплопотерь Q через теплоизоляцию при температуре графитового теплоаккумулирующего материала t 1.0 , °C: 1 – 800; 2 – 1000; 3 – 1200; 4 – 1400; 5 – 1600; 6 – 1800; 7 – 2000

Fig. 2. Dependence of the total cost of an M-type thermal energy storage device on the amount of heat loss Q through thermal insulation at temperature of graphite heat storage material t 1.0 , °C: 1 – 800; 2 – 1000; 3 – 1200; 4 – 1400; 5 – 1600; 6 – 1800; 7 – 2000

Рис. 3. Зав                                                                 ипа «Б»

от величины теплопотерь Q через теплоизоляцию при температуре графитового теплоаккумулирующего материала t 1.0 , °C: 1 – 800; 2 – 1000; 3 – 1200; 4 – 1400; 5 – 1600; 6 – 1800; 7 – 2000

Fig. 3. Dependence of the total cost of an L-type thermal energy storage device on the amount of heat loss Q through thermal insulation at temperature of graphite heat storage material t 1.0 , °C: 1 – 800; 2 – 1000; 3 – 1200; 4 – 1400; 5 – 1600; 6 – 1800; 7 – 2000

изоляцию, поскольку при больших Q значительно уменьшается необходимая толщина слоя базальтовой ваты, при этом не требуется большого количества вольфрамовых экранов. С уменьшением теп-лопотерь, что эквивалентно увеличению толщины теплоизоляции, наблюдается постепенный рост стоимости теплового накопителя из-за необходимости увеличения как числа вольфрамовых экра- нов, так и объема дорогостоящего аргона, заполняющего зазоры между слоями. В отличие от таких конструкций, накопители с более низкими температурами от 800–1200 °С оказываются менее затратными при значительном сокращении Q, так как их теплоизоляция может быть изготовлена без дорогостоящих вольфрамовых слоев, преимущественно на основе базальтовой ваты.

В ходе анализа зависимости совокупной стоимости теплового накопителя энергии от теп-лопотерь (см. рис. 1–3) выявлено, что некоторые кривые пересекаются в определенной точке, отличной от точки пересечения других температурных уровней. Данный эффект обусловлен изменением состава теплоизоляции. В частности, при температурах ниже 1200 °С вольфрамовые экраны использовать нецелесообразно, так как тепловой поток не требует экранирования в инфракрасном диапазоне, и теплоизоляционный слой может быть выполнен исключительно на основе базальтовой ваты. В результате происходит скачкообразное изменение удельной стоимости накопителя, что приводит к пересечению линий на графиках (см. рис. 1–3).

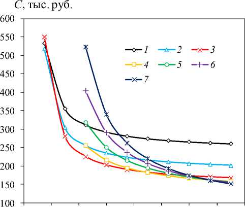
При рассмотрении теплового накопителя энергии типа «М» (см. рис. 1) установлено, что минимальная совокупная стоимость C равна 9,9 тыс. руб. при температуре графитового материала t 1.0 = 2000 °С и теплопотерях Q = 5 кВт. Снижение теплопотерь сопровождается ростом стоимости накопителя в связи с увеличением толщины теплоизоляционного слоя. При этом уровень затрат определяется составом теплоизоляции в зависимости от температурных условий на ее границах. Полученные результаты демонстрируют следующие закономерности: в диапазоне Q от 3 до 4 кВт стоимость теплового накопителя энергии уменьшается от 14,44 до 11,26 тыс. руб. при 1400 ≤ t 1.0< 2000 °С. При снижении температуры t 1.0 до 800–1400 °С минимальная стоимость возрастает в среднем на 21,6 %. При Q от 1,7 до 3 кВт стоимость варьируется от 17,39 до 12,39 тыс. руб. при 1000 ≤ t 1.0 < 1400 °C. В данном случае при t 1.0 = 800–1200 °С минимальные затраты оказываются выше на 17,2 %. В интервале Q от 0,6 до 1,7 кВт стоимость накопителя изменяется от 29,8 до 17,39 тыс. руб. при 1000 ≤ t 1.0 ≤ 1200 °С. При t 1.0 = 800 °С стоимость выше на 10,6 %. При Q ≤ 0,5 кВт наименее затратным оказывается тепловой накопитель энергии с t 1.0 = 800 °С, его стоимость составляет 42,3 тыс. руб.

Минимальная стоимость теплового накопителя энергии типа «С» (см. рис. 2) составляет 151,2 тыс. руб. при температуре графитового материала t 1.0 = 2000 °С и теплопотерях Q = 15 кВт. Аналогично накопителю типа «М», снижение Q приводит к увеличению затрат на теплоизоляцию. Однако в случае накопителя среднего размера «С» этот эффект выражен сильнее, поскольку увеличение толщины теплоизоляционного слоя влечет за собой рост стоимости высокотемпературных конструкций. Дополнительно удорожание обусловлено увеличением общего объема используемых материалов: графита, теплоизоляции и экранирующих элементов.

В диапазоне Q от 10,5 до 15 кВт наименьшая стоимость достигается при 1400 ≤ t1.0 < 1800 °С, которая варьируется от 172,1 до 162,3 тыс. руб. При тепловых потерях Q от 6 до 12 кВт минимальные затраты фиксируются при t1.0 от 1200 до 1400 °С, при этом начальная стоимость варьируется от 176,7 до 162,9 тыс. руб. При Q от 2,5 до 6 кВт наиболее эффективными оказываются накопители с температурой графита при t1.0 от 1000 до 1200 °С, минимальная стоимость которых составит от 210,6 до 169,8 тыс. руб. При Q < 1,5 кВт наименьшая стоимость накопителя соответствует температурному диапазону t1.0 от 800 до 1000 °С, стоимость варьируется от 517,8 до 533,3 тыс. руб. (см. рис. 2).

Минимальная стоимость теплового накопителя энергии типа «Б» (см. рис. 3) составляет 404,1 тыс. руб. при температуре графитового теплоаккумулирующего материала t 1.0 = 2000 °С и теплопотерях Q = 40 кВт. Как и в предыдущих случаях (см. рис. 1 и 2), уменьшение теплопотерь приводит к росту затрат на теплоизоляцию, однако для накопителя «Б» этот процесс становится еще более выраженным из-за значительного увеличения размеров системы. При тепловых потерях Q от 15 до 40 кВт наименьшие затраты достигаются при 1600 ≤ t 1.0< 2000 °С, начальная стоимость уменьшается от 688,4 до 433,3 тыс. руб. При Q , равном от 10 до 15 кВт, предпочтительны температуры t 1.0 от 1400 до 1600 °С, минимальная стоимость теплового накопителя энергии снижается от 823,9 до 599,1 тыс. руб. При Q от 5 до 10 кВт экономически выгодной является область t 1.0 от 1200 до 1400 °С, где начальная стоимость уменьшается от 1117,5 до 653,9 тыс. руб. В случае Q < 5 кВт наиболее целесообразен переход к t 1.0 от 800 до 1000 °С, так как начальные затраты снижаются от 1137,7 до 960,7 тыс. руб., при этом вольфрамовые экраны в теплоизоляции практически не используются (см. рис. 3).

Таким образом, при проектировании накопителя энергии необходимо соблюдать баланс между величиной теплопотерь Q и требуемыми затратами. В случае допустимых больших значений Q оптимальным выбором является использование температуры графита, близкой к 2000 °С, что минимизирует затраты на теплоизоляцию за счет ее малой толщины. Если же ключевой задачей является минимизация теплопотерь, что соответствует выбору малых Q (значительное утолщение теплоизоляции), более экономичным оказывается снижение температуры графита до 800–1200 °С, так как в этом случае можно отказаться от дорогостоящей высокотемпературной теплоизоляции и снизить затраты на аргоновое заполнение.

Учитывая выявленные закономерности, провели дополнительное исследование зависимости наиболее целесообразной температуры графитового цилиндра, обеспечивающей минимальную стоимость теплового накопителя, от безразмерной толщины теплоизоляции R out / R gr (рис. 4 и табл. 2). Поскольку абсолютные размеры теплоизоляцион-

Рис. 4. Зависимость наиболее экономически подходящей температуры теплоаккумулирующего материала (графита) от относительной ширины теплового накопителя энергии R out R gr при 1 1.0 = 2000 °C

Fig. 4. Dependence of the most economically suitable temperature of the heat storage material (graphite) on the relative width of the thermal energy storage unit R out /R gr at 1 1.0 = 2000 °C

Таблица 2

Наиболее экономически целесообразная температура теплоаккумулирующего материала, °С

Table 2

The most economically feasible temperature of the heat storage material, °С

Rout/Rgr при t1.0 = 2000 °С Наиболее экономически целесообразная температура теплоаккумулирующего материала t1.0,°С 1–1,4 2000 1,4–1,41 1800 1,41–1,42 1600 1,42–1,7 1400 1,7–7 1200 7–16 1000 16 и выше 800 ного слоя различаются для накопителей типов «М», «С» и «Б», использование безразмерного параметра, выражающего отношение внешнего радиуса теплоизоляции к радиусу графитового цилиндра при температуре t1.0 = 2000 °С, позволило обобщить результаты и выявить ключевые закономерности выбора конструкции для разных режимов работы.

Анализ полученных данных (см. рис. 4) показывает, что при относительно малой толщине теплоизоляции 1 <  R out / R gr < 1,4 экономически целесообразно использовать высокие температуры графита t 1.0 = 2000 °С. В данной области высокая рабочая температура обеспечивает минимальные затраты за счет уменьшения объема графита и сокращения слоя теплоизоляции, при этом дополнительные затраты на вольфрамовые экраны и аргон остаются умеренными. По мере увеличения толщины теплоизоляции 1,4 ≤ R out/ R gr< 1,7 наблюдается постепенное снижение оптимальной температуры: сначала до 1800 °C, затем 1600 °С и далее до 1400 °С. Этот переход объясняется ростом стоимости многослойной теплоизоляции, в частности, удорожанием вольфрамовых экранов, компенсируемым снижением рабочих температур.

При дальнейшем утолщении теплоизоляции R out / R gr ≥ 1,7 наиболее целесообразной становится температура t 1.0 = 1200 °С ввиду возможного сокращения числа вольфрамовых экранов без существенного увеличения теплопотерь. В диапазоне 7 <  R out/ R gr< 16 наиболее экономичным оказывается снижение температуры графита до t 1.0 = 1000 °С. При еще более массивной теплоизоляции R out / R gr ≥ 16 предпочтительным становится режим t 1.0 = 800 °С, так как использование вольфрамовых экранов становится экономически нецелесообразным, поскольку теплоизоляционный слой формируется исключительно за счет базальтовой ваты.

Для удобства основные сведения по рис. 4 сведены в табл. 2.

ljZdlbq_kdh_ agZq_gb_

Разработанный алгоритм расчета с учетом анализа совокупной стоимости теплового накопителя энергии от теплопотерь позволяет оценить геометрические размеры слоя тепловой изоляции и прогнозировать время его разрядки с возможностью корректировки входных параметров. Таким образом, наиболее целесообразная температура графитового теплоаккумулятора напрямую зависит от толщины слоя теплоизоляции. Проведенное исследование подтвердило важность комплексного учета теплофизических и экономических факторов при проектировании высокотемпературного накопителя энергии: повышение температуры графитового аккумулирующего материала становится целесообразным только при относительно тонком теплоизоляционном слое. В противном случае использование дорогих вольфрамовых экранов не окупается и предпочтительнее более низкие температуры хранения от 800 до 1200 °С, где основу изоляции может составлять исключительно базальтовая вата.

< u \ h л u

На основе проведенной работы можно сделать следующие выводы:

  • 1.    Разработан алгоритм расчета теплового накопителя энергии, позволяющий определить оптимальное соотношение между рабочей температурой теплоаккумулирующего материала, толщиной теплоизоляции и итоговой стоимостью установки. Алгоритм учитывает все основные механизмы теплопередачи (кондукцию, радиацию, конвекцию), стоимость ключевых материалов (графит, вольфрам, базальтовая вата, аргон) и уровень теплопотерь, что позволяет выбирать наиболее экономически оправданное решение.

  • 2.    Установлены зависимости стоимости тепловых накопителей энергии от параметров их конструкции и температурного режима. Для накопителей типов «М», «С» и «Б» минимальные совокупные затраты составляют 9,9 тыс. руб., 151,2 тыс. руб. и 404,1 тыс. руб. соответственно. При увеличении теплопотерь экономически целесообразно использование более высокой температуры теплоаккумулирующего материала вплоть до 2000 °С, что снижает затраты на теплоизоляцию за счет уменьшения ее толщины.

  • 3.    Выявлена граница целесообразности применения вольфрамовых экранов. При t 1.0 < 1200 °С они становятся неэффективными, так как тепловой поток в инфракрасном диапазоне не требует дополнительного экранирования. В этом случае теплоизоляция может быть выполнена исключительно из базальтовой ваты, что позволяет значительно снизить затраты.

  • 4.    Определены рациональные диапазоны температур в зависимости от относительной толщины теплоизоляции R out/ R gr. При 1 <  R out/ R gr< 1,4 экономически оправданна эксплуатация теплового накопителя энергии при t 1.0 = 2000 °С. По мере увеличения толщины теплоизоляции 1,4 ≤ R out/ R gr< 1,7 наблюдается постепенное снижение рациональной температуры: сначала до 1800 °С, затем 1600 °С и далее до 1400 °С. При R out/ R gr > 7 наиболее выгодным становится использование температуры t 1.0 = 1000 °С, при R out / R gr > 16 – t 1.0 = 800 °С.

К i b к h®lb I _j Z I m j u