Терморегуляция и температура тела соболя Martes zibellina (Mustelidae) в Якутии в период холодов

Автор: Захарова Н.Н., Ануфриев А.И., Семенова М.А., Черосов М.М., Дьячковская А.А., Корякина Л.П., Захаров Е.С.

Журнал: Сельскохозяйственная биология @agrobiology

Рубрика: Проблемы терморегуляции

Статья в выпуске: 4 т.60, 2025 года.

Бесплатный доступ

В Якутии соболь представлен двумя формами - дикой и фермерской. Первая распространена в естественной среде обитания, населяет всю таежную зону Якутии. Вторая была завезена на зверофермы Якутии из зверохозяйств европейской части России и юга Сибири. Современные исследования биологических особенностей соболя и других куницеобразных охватывают все аспекты их жизнедеятельности. Однако изученность эколого-физиологических особенностей сравнительно невелика. В представленной работе на основании сравнительных наблюдений за фермерскими и дикими соболями впервые комплексно охарактеризованы основные составляющие терморегуляции этих животных - температура тела, потребление кислорода и поведение при температурах до -50 °С в условиях Якутии. Целью работы было изучение эколого-физиологических механизмов холодоадаптации фермерских соболей, завезенных в Якутию, и сравнение с теплообменом местных зверьков, отловленных в естественных местах обитания в регионе. Исследования были выполнены в 2023-2024 годах на соболях ( Martes zibellina ), выросших в неволе (за пределами Якутии), и животных из природных популяций Якутии. Все соболи содержались в ООО «Покровская звероферма». Наблюдения за поведением вели одновременно за 4 соболями (два фермерских и два диких), круглогодично находившимися в условиях вольерного содержания. Использовали IP видеокамеры HI-IPA400F20 5mpx 2.8 mm («HIVIDEO», Китай). При анализе видеозаписей выделяли следующие виды поведения: нахождение в утепленном домике более 1 мин; нахождение в вольере в активном состоянии (движение, питание); нахождение в вольере в пассивном состоянии (сон, отдых). Терморегуляцию у соболя оценивали на основе изучения потребления кислорода с использованием методики открытой системы. Анализ газа проводили при помощи газоанализатора ИГС-98 Комета-М (ООО «АналитТеплоКонтроль», Россия) зимой 2023-2024 года у трех фермерских соболей (2 взрослых и 1 молодой) и трех соболей из природных популяций (3 взрослых). Всего было проанализировано свыше 250 измерений потребления кислорода 6 особями в интервале температур от 30 °С до -30 °С. Температуру тела животных измеряли при помощи регистратора температуры DS 1922 L-F5 («Инженерные технологии», Россия). Регистратор температуры имплантировали зверьку в подмышечную область под общим наркозом в условиях ветеринарной клиники. Частота измерений составляла одно измерение в 60 мин, одновременно измеряли температуру окружающей среды. Через 1 год прибор извлекали и проводили статистическую обработку полученных данных. По результатам исследований фермерский и дикий соболь демонстрировали сходные реакции на изменение окружающих температур. Оптимальная температурная зона у всех зверьков находилась в одном диапазоне (от +20 °С до +3-5 °С), рост активности метаболизма происходил до -15-20 °С, интенсивность этого роста у животных также не различалась. С января по июнь среднесуточная температура тела постепенно нарастала, с июля-августа снижалась, достигая минимальных значений (+36,8±0,03 °С, n = 744, от +33,9 до +38,5 °С) в январе-феврале. В летнее время у соболя держалась сравнительно высокая температура тела (+37,2±0,02 °С, n = 744; от +34,9 до +38,8 °С), а в течение суток ее изменения были сопряжены с изменчивостью температуры окружающей среды. В зимнее время отсутствовали выраженные различия дневной и ночной температуры. В результате наблюдений за активностью зверьков в вольерах с июня по декабрь было отмечено увеличение продолжительности пребывания соболей в утепленных домиках на фоне понижения температуры окружающей среды, что, вероятно, направлено на минимизацию энергозатрат. Потребление кислорода у исследованных соболей в зоне оптимальных температур составляло в среднем 1,07±0,11 мл/(г·ч), минимальное - 0,67 мл/(г·ч), максимальное - 1,53 мл/(г·ч). Максимальное потребление кислорода при -15-20 °С составляло 1,34±0,13 мл/(г·ч), или от 0,99 до 1,78 мл/(г·ч). Скорость роста потребления кислорода была в среднем 0,21±0,05 мл/(г·ч) на 1 °С. Полученные данные по ряду показателей у соболей, родившихся в неволе в разных регионах страны, показывают сходство и различия с аналогичными показателями зверьков из природных популяций Якутии. Сходство отмечено в поведении зверьков и метаболических реакциях на изменение окружающих температур. Общая направленность годовой динамики температуры тела у фермерского соболя также была сходной с таковой у зверька из природной популяции, но имела существенные отличия по величинам абсолютной и усредненной изменчивости динамики температуры.

Еще

Соболь, соболеводство, терморегуляция, температура тела, суточная активность, якутия

Короткий адрес: https://sciup.org/142246206

IDR: 142246206   |   УДК: 636.934.55:591.128.4:612.592.1(571.56)   |   DOI: 10.15389/agrobiology.2025.4.698rus

Thermoregulation and body temperature of the sable Martes zibellina (Mustelidae) in Yakutia during the cold period

In Yakutia, sable is represented by two forms, the wild and farmed. The wild sable is widespread in its natural habitat and populates the entire taiga zone of Yakutia. The farmed was imported to the fur breeding farms of Yakutia from European Russia and southern Siberia. Current research into the biological characteristics of sables and other marten species covers all aspects of their life. However, the study of their environmental and physiological characteristics is relatively limited. In the present work, the main components of thermoregulation of these animals, namely body temperature, oxygen intake and behaviour at temperatures up to -50 °С in the conditions of Yakutia are submitted. These parameters were for the first time comprehensively characterized based on comparative observations of farmed and wild sables. The aim of the research was to study the environmental and physiological mechanisms of the cold adaptation of farmed sables transferred to Yakutia and compare them with the heat exchange of local sables captured in natural habitats within the region. The research was carried out in 2023-2024. Six sables, three raised in captivity (outside Yakutia) and three from Yakutia natural populations, were used to assess oxygen consumption, four animals for behavior study, and two ones were involved in year-round assessment of body temperature.. Caged (farmed) sables were kept at the Pokrovskaya Zoo Farm LLC. The animals from natural populations were also contained at this farm. IP video cameras HI-IPA400F20 5mpx 2.8 mm (HIVIDEO, China) were used to observe animal behavior. When analyzing video recordings, the following types of behavior were distinguished: staying in the insulated house for more than 1 min; staying in the enclosure in an active state (movement, feeding); staying in the enclosure in a passive state (sleeping, resting). Thermoregulation in sablefish was evaluated based on the study of oxygen consumption using the open system technique. Gas analysis was performed using the gas analyzer IGS-98 Kometa-M (AnalytTeploKontrol LLC, Russia). In total, more than 250 measurements of oxygen consumption of six individuals in the temperature range from -30 to 30 °С were analyzed. The body temperature of the animals was measured using a DS 1922 L-F5 temperature recorder (Engineering Technologies, Russia). The thermorecorder was implanted in the axillary region under general anesthesia in a veterinary clinic. The frequency of measurements was 1 measurement per 60 min, and the ambient temperature was measured simultaneously. After 1 year, the device was removed and the results were statistically processed. The results showed that farmed and wild sables responded similarly to changes in ambient temperature. The optimum temperature zone was in the same range for all animals (+20 °С to +3-5 °С), metabolic growth occurred up to 5-20 °С, and its intensity did not differ between animals. From January to June, the average daily body temperature gradually increased, from July to August it decreased, reaching the minimum values (+36.8±0.03 °С, n = 744, from +33.9 °С to +38.5 °С) in January-February. In summer, the body temperature of sables remained relatively high (+37.2±0.02 °С, n = 744; from +34.9 °С to +38.8 °С), and its changes during the day followed the variability of the ambient temperature. In winter, there were no pronounced differences between day and night temperatures. Observations of animal activity in the enclosures from June to December revealed an increase in the duration of stay of sables in insulated houses with decreasing ambient temperature, probably for minimizing energy consumption. Oxygen consumption in the studied sables in the zone of optimal temperatures averaged 1.07±0.11 ml/(g·h), minimum 0.67 ml/(g·h), maximum 1.53 ml/(g·h). The maximum oxygen consumption at 15-20 °С was 1.34±0.13 ml/(g·h), 0.99-1.78 ml/(g·h). The growth rate of oxygen consumption was on average 0.21±0.05 ml/(g·h) per 1 °С. The data obtained on a number of indicators of sables born in captivity in different regions of Russia show similarities and differences with similar indicators of animals from natural populations of Yakutia. Similarities are noted in the behavior of animals and metabolic reactions to changes in ambient temperatures. The general direction of the annual dynamics of body temperature in the farm sable was also similar to that of animals from the natural population, but had significant differences in the values of absolute and average variability of temperature dynamics.

Еще

Текст научной статьи Терморегуляция и температура тела соболя Martes zibellina (Mustelidae) в Якутии в период холодов

В целях поддержки клеточного звероводства для создания племенного стада в 2000-2020 годах на зверофермы Республики Саха (Якутия) было завезено несколько партий фермерских соболей из ОАО «Пушкинский зверосовхоз» (Московская обл.), зверохозяйства ЗАО «Большеречен-ское» (Иркутская обл.), звероплемзавода ООО «ЗПЗ Савватьево» (Тверская обл.), зверосовхозов ЗАО «Бирюли» и ЗАО «Матюшино» (Республика Татарстан). Соболеводство — сравнительно новое направление пушного звероводства в Якутии. Его начали развивать только в последние десятилетия, когда спрос на длинноволосый мех лисицы и песца стал падать. Завоз соболей в республику можно рассматривать как реинтродукцию из-за существенных различий в климатических условиях регионов прежнего и нового содержания. Якутия характеризуется значительно более суровым климатом по сравнению с европейской частью России и югом Сибири, что усложняет адаптацию и содержание животных.

Высокая экологическая пластичность позволила соболю освоить наиболее суровую в климатическом отношении часть Евразии. При этом механизмы терморегуляции у соболя развиты недостаточно, что может быть одной из основных причин низкой плотности вида в наиболее холодных и малоснежных районах северо-востока Азии. В свободном, активном состоянии зверек может переносить длительное холодовое воздействие, а ограничение подвижности ведет к быстрому развитию гипотермии.

Современные исследования биологических особенностей соболя и других куницеобразных охватывают все аспекты их жизнедеятельности. Традиционно существенное внимание уделяется морфологическому и фенотипическому разнообразию (7-9), вопросам экологических связей в биоценозе (10-12), в том числе гельминтозам (13-15), а также распространению и охране (7, 16, 17). Благодаря интенсивному развитию в последние годы молекулярно-генетических методов активно ведутся геномные исследования (18-20), изучаются филогенетические связи (21-23), уточняются вопросы генетической и географической структуры популяций куницеобразных (24-26). Однако изученность эколого-физиологических особенностей соболя и других куницеобразных сравнительно невелика, несмотря на интерес к фундаментальным вопросам познания механизмов адаптации животных к условиям среды и прикладным аспектам, связанным с развитием фермерского соболеводства в условиях Сибири и Дальнего Востока.

В представленной работе на основании сравнительных наблюдений за фермерскими и дикими соболями впервые комплексно охарактеризованы основные составляющие терморегуляции этих животных — температура тела, потребление кислорода, а также поведение при температурах до - 50 ° С в условиях Якутии.

Целью работы было изучение эколого-физиологических механизмов холодоадаптации фермерских соболей, завезенных в Якутию, и сравнение с теплообменом местных зверьков, отловленных в естественных местах обитаниях в регионе.

Методика . Исследования были выполнены в 2023-2024 годах на соболях ( Martes zibellina ), выросших в неволе (за пределами Якутии), и животных из природных популяций Якутии. Все соболи содержались в ООО «Покровская звероферма» (100 км южнее г. Якутск, в окрестностях населенного пункта г. Покровск). Возрастную категорию диких соболей (молодняк до 1 года или взрослые старше 1 года) определяли по развитию мускулатуры головы (27) с помощью пальпации под общим наркозом.

При проведении экспериментов были соблюдены международные, национальные и/или институциональные принципы ухода и использования животных (Европейская Конвенция о защите позвоночных животных, используемых для экспериментов или в иных научных целях, Страсбург, 18.03.1986 г.; Федеральный закон от 27.12.2018 г. ¹ 498-ФЗ).

Наблюдения за поведением вели одновременно за четырьмя соболями (два фермерских и два диких), круглогодично находившимися в условиях вольерного содержания. Для наблюдений за поведением животных использовали IP видеокамеры HI-IPA400F20 5mpx 2.8 mm («HIVIDEO», Китай). Видео сохраняли на жестких дисках с объемом данных 2-4 Tб. Для анализа видеозаписей использовали оборудование, аналогичное установленному на звероферме. Всего было просмотрено около 8,8 тыс. ч видеоматериалов по каждому из наблюдаемых соболей.

При анализе видеозаписей выделяли следующие виды поведения, время которых фиксировали в специально составленной таблице: нахождение в утепленном домике более 1 мин; нахождение в вольере в активном состоянии (движение, питание); нахождение в вольере в пассивном состоянии (сон, отдых).

Отрезки времени с выделенными видами поведения за каждые исследованные сутки суммировали и рассчитывали продолжительность активного состояния и отдыха. Суточную активность определяли в ночное (0000-0600 ч), утреннее (0600-1200 ч), дневное (1200-1800 ч) и вечернее (18002400 ч) время. Для каждого периода времени суток рассчитывали суммарное время в активном состоянии за месяц в процентах.

Терморегуляцию у соболя оценивали на основе изучения потребления кислорода с использованием методики открытой системы (28, 29). Анализ газа проводили при помощи газоанализатора ИГС-98 Комета-М (ООО «АналитТеплоКонтроль», Россия) зимой 2023-2024 года у трех фермерских соболей (двое взрослых и один молодой) и трех соболей из природных популяций (три взрослых). Всего было проанализировано свыше 250 измерений потребления кислорода шестью особями в интервале температур от 30 ° до - 30 ° С.

Температуру тела у двух животных (один фермерский и один дикий) измеряли при помощи регистраторов температуры DS 1922 L-F5 (ООО «Инженерные технологии», Россия). Регистраторы имплантировали зверькам в подмышечную область под общим наркозом в условиях ветеринарной клиники (29). После хирургического вживления термографа три зверька содержались в ООО «Покровская звероферма» и один — в Республиканском зоопарке «Орто дойду» в отдельном вольере в течение года. Частота измерений составляла одно измерение в 60 мин, одновременно измеряли температуру окружающей среды. Через 1 год приборы извлекали и анализировали полученные результаты.

Статистическую обработку данных проводили с использованием стандартного пакета программ Microsoft Excel (описательная статистика). Рассчитывали усредненную среднемесячную периферическую температуру тела (М), стандартные ошибки средней (±SEM). При расчетах значение р составляло < 0,05. При обработке данных по потреблению кислорода значения, полученные при каждой температуре среды, также усреднялись, аппроксимацию полученных графиков проводили с помощью уравнений второго порядка.

Результаты. Якутия входит в число регионов, характеризующихся резкой сезонностью климата. Зимний период с отрицательными суточными температурами и постоянным снежным покровом превышает в среднем 6 мес. Температура воздуха продолжительное время держится ниже - 40-50 ° С, минимальная опускается ниже - 60 ° С (30). Длительные зимние холода — один из наиболее сильнодействующих факторов существования млекопитающих в Якутии (31). Высота снежного покрова относительно невелика, что также негативно сказывается на выживаемости мелких млекопитающих (32). Лето короткое и часто засушливое. Экстремальные зимние температуры сформировали разнообразные морфологофизиологические и эколого-этологические адаптации у обитающих в Якутии животных, направленные на минимизацию энергозатрат и теплопотерь.

Ареал соболя в Якутии характеризуется наиболее суровыми условиями обитания. Соболь здесь способен переносить длительные холодовые нагрузки в деятельном, активном состоянии, но в периоды покоя весьма чувствителен к прямому воздействию низких температур, поэтому нуждается в утепленных убежищах для отдыха. В Якутии на индивидуальных участках обитания диких соболей таких убежищ обычно несколько (33), зимой это позволяет более полно использовать кормовые ресурсы территории, минимизируя энергозатраты.

В наших исследованиях с понижением температуры воздуха при наступлении зимних холодов возрастало время пребывания соболей в утепленном домике. Анализ суточной активности животных, содержащихся на «Покровской звероферме», за летне-осенний период 2023 года показал тенденцию к сокращению времени пребывания вне домика с 13-14 ч в июне-сентябре до 7-8 ч в октябре-декабре. Общая продолжительность пассивного нахождения вне утепленного домика в июне-сентябре достигала 2,37-3,39 ч, что составляло 23,3-23,9 % от общего времени отдыха. В декабре этот показатель на порядок уменьшался — до 0,23-0,40 ч (2,2-2,3 %). Фермерские и дикие животные по этому показателю не различались.

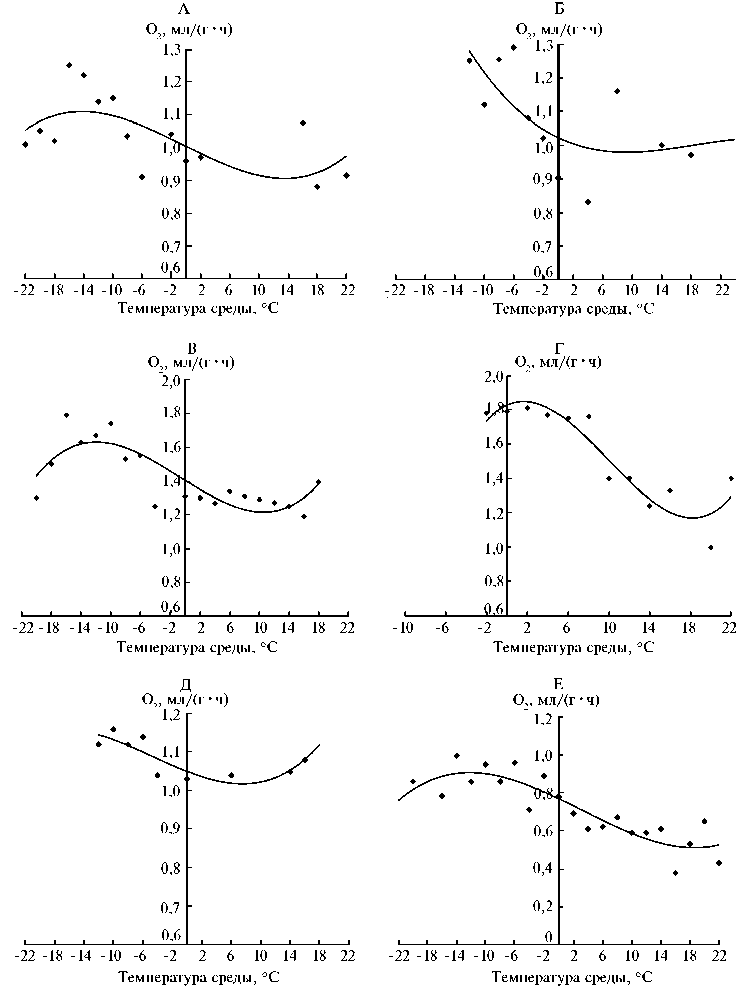
Измерение потребления кислорода в зависимости от температуры среды показало у соболя наличие относительно широкой термонейтральной зоны. Величина потребления кислорода оставалась стабильно низкой в диапазоне температур окружающей среды от +20 ° С до +3-5 ° С (температурный оптимум). Существенных различий у привозных фермерских соболей и соболей из природных популяций Якутии обнаружено не было (табл., рис. 1).

Во время проведения экспериментов фермерские соболи отличались более активным поведением по сравнению с «дикими». В целом индивидуальные различия в поведении были весьма существенными.

Основные характеристики соболей ( Martes zibellina ), использованных в экспериментах по изучению терморегуляции и метаболизма (ООО «Покровская звероферма», Якутия, 2023-2024 годы)

Особь, пол

Масса, кг

Возраст

Потребление O 2 в зоне температурного оптимума, мл/(г • ч), M ±SEM

Абсолютное изменение потребления O 2 , мл/(г ч), min-max

Скорость роста потребления O 2 на 1 °С, мл/(г •ч)

Соболь 1 3

1,22

3+

0,92±0,048 ( n = 10)

0,88-1,20

0,010

Соболь 2 3

1,29

4+

1,03±0,046 ( n = 20)

1,00 -1,29

0,026

Соболь 3 $

0,77

0+

1,23±0,032 ( n = 14)

1,20-1,67

0,016

Продолжение таблицы

Соболь 4 в     1,43   Взрослый    1,53±0,043 (n = 12)           1,24-1,780,049

Соболь 5 в     1,37   Взрослый    1,10±0,027 (n = 10)           1,00-1,120,012

Соболь 6 в     1,20   Взрослый    0,67±0,017 (n = 19)           0,53-0,990,016

Примечание. Соболи 1-3 — зверьки из фермерского хозяйства, соболи 4-6 — зверьки, отловленные в естественной среде. n — число измерений. Температурный оптимум находился в интервале от +20 ° С до +3-5 ° С.

Потребление O 2 в зоне оптимальных температур у соболя ( n = 6) в среднем составило 1,07±0,11 мл/(г ч), от 0,67 до 1,53 мл/(г ч). Максимальное потребление O 2 при - 15^ - 20 ° С равнялось 1,34±0,128 мл/(г*ч), от 0,99 до 1,78 мл/(г ч). Скорость роста потребления кислорода составила в среднем 0,21±0,053 мл/(г^ч) на 1 ° С среды. Эти результаты согласуются с данными по терморегуляции для одного соболя из природной популяции, полученными ранее. У соболя даже в зимний период термонейтральная зона находилась в интервале температур 5-20 ° С (29, 34).

Рис. 1. Температурная зависимость потребления кислорода у соболей (Martes zibellina) в зимнее время: А-В — клеточные (фермерские) соболи 1-3; Г-Е — соболи 4-6, отловленные в естественной среде (см. табл.) (ООО «Покровская звероферма», Якутия, 2023-2024 годы).

Реакция на изменение температуры окружающей среды у соболей была выражена отчетливо. При плавном снижении температуры среды отмечался пропорционально плавный рост потребления кислорода, даже при относительно небольшом снижении температуры ниже 0 ° С (рис. 2).

Динамика температуры тела у соболя в течение года имела характерные особенности. В первой половине года происходил постепенный рост среднесуточной температуры тела, с июля начиналось ее снижение (рис. 3).

Рис. 2. Потребления кислорода (1) в зависимости от температуры среды (2) у соболей ( Martes zibellina ): А — вечерне-дневное время, соболь 4, Б — вечерне-ночное время, соболь 5 (ООО «Покровская звероферма», Якутия, 2023 год).

Рис. 3. Усредненная динамика температуры тела соболя ( Martes zibellina ) в течение года: 1 — температура тела фермерского соболя, 2 — температура тела дикого соболя, дана по данным А.И. Ануфриева и В.Т. Седалищева (34), 3 — температура среды (ООО «Покровская звероферма», Якутия, 2023-2024 годы).

Годовая динамика температуры тела фермерского соболя коррелировала с температурой среды ( r = 0,42; а <  0,05). Наиболее низкие среднесуточные температуры тела были отмечены в январе (+36,8±0,03 ° С, n = 744, от +33,9 до +38,5 ° С) наиболее высокие — в июле (+37,2±0,02 ° С, n = 744; от +34,9 ° С до +38,8 ° С). Самые низкие и самые высокие температуры тела у соболя регистрировали в холодный период. Наиболее низкая температура тела по абсолютному значению была отмечена в марте +33,6 ° С, в декабре и январе наиболее низкая температура тела была +33,9 ° С. Самая высокая температура тела наблюдалась также зимой: в январе +40,9 ° С, в марте +40,4 ° С.

В зимнее время суточные колебания температуры тела у соболя были значительно выше, чем в безморозный период. Большую часть суток в июле среднесуточная температура тела изменялась незначительно, в пределах 1,5 ° С, в январе — более 3 ° С (рис. 4). В целом, усредненная температура в январе оказалась на 0,4 ° С ниже, чем в июле, а по абсолютной величине суточный диапазон изменений температуры тела в период холодов мог составлять более 8 ° С, в безморозный период значительно меньше.

40 г

2Д —,—।—,—।—,—।—,—।—,—।—,—।—,—।—,—।—,—।—,—।—,—।—

1      3     5     7     9     11    13    15    17    19    21    23

Время, ч

Рис. 4. Пример изменения температуры тела соболя ( Martes zibellina ) в течение суток: 1 — 1.01, 2 — 1.07 (ООО «Покровская звероферма», Якутия, 2024 год).

В природных популяциях соболя в Якутии, по данным Ю.В. Ревина с соавт. (33), ритм активности зверьков круглосуточный (часть зверьков активна в светлое время суток, часть в темное) и изменяется в зависимости от времени годового периода. По наблюдениям С.В. Зимина (35), на Урале соболь активен в основном с 2200 до 200 (50 % от общего числа наблюдений).

Наблюдения за фермерскими соболями выявило тесную связь между поведением зверьков и температурой окружающей среды. Понижение температуры воздуха приводило к увеличению периодов пребывания в утепленном домике, особенно во второй половине зимы. В наиболее холодные месяцы активность соболей снижалась в 2-4 раза по сравнению с летне-осенним периодом. В сентябре-декабре основная активность приходилась на утренний и дневной периоды. В январе-феврале активность повышалась в вечерний период. В весенне-летний период наибольшая активность приходилась на ночь. Летом, по мере усиления дневного зноя, активность зверьков снижалась.

Среднемесячная температура тела соболя в наших опытах начинала рост в период с самыми низкими температурами среды, в январе, а ее снижение начиналось в июле, в самый жаркий месяц года. Анализ годовой динамики температуры тела соболя показал, что сходным образом температура тела меняется у целого ряда аборигенных видов млекопитаю-704

щих и птиц северо-востока Сибири: у четырех видов семейства псовых, у крупных копытных (северный олень, овцебык), у крупных зимующих птиц (тетерев, глухарь, ворон) (29). Сходная динамика температуры тела отмечена, кроме того, у аборигенного соболя и светлого хоря, а также у одного из крупных представителей семейства куницеобразных — росомахи (36).

По нашим наблюдениям, у фермерского соболя годовой диапазон среднесуточной температуры составлял 0,4 ° С, у зверька из естественной среды — примерно 3,14 ° С. У фермерского соболя коэффициент корреляции ( r ) среднемесячной температуры тела и температуры среды был равен 0,42, а у соболя из естественной популяции — 0,97 (р < 0,05). В целом годовой диапазон изменения температуры тела у фермерского зверька оказался меньше, чем у его дикого собрата.

Таким образом, в условиях Якутии установлено сходство и различия по ряду показателей, обеспечивающих поддержание теплового баланса организма (поведение, температура тела, потребление кислорода), у соболей, родившимися в неволе в разных регионах страны, и зверьков из природных популяций. Сходство отмечено в поведении зверьков и метаболических реакциях на изменение окружающей температуры. Общая направленность годовой динамики температуры тела у фермерских соболей также оказалась сходна с таковой у зверьков из природной популяции, но имела существенные отличия по величинам абсолютной и усредненной динамики температуры тела. Годовые изменения усредненной температуры были у фермерского зверька ниже, коэффициент корреляции температуры тела и среды составлял у фермерского 0,42, у дикого 0,97. В целом соболя, завезенные в Якутию, успешно переносили новые условия обитания.