Влияние различных форм кальция в рационе на микро- и макроэлементный состав органов и тканей крыс

Автор: Сизова Е.А., Холодилина Т.Н., Нечитайло К.С., Рязанцева К.В., Шошин Д.Е., Яушева Е.В., Лебедев С.В.

Журнал: Сельскохозяйственная биология @agrobiology

Рубрика: Минеральный обмен

Статья в выпуске: 4 т.60, 2025 года.

Бесплатный доступ

Проблемы кальциевой обеспеченности организма имеют несколько этиологий. Во-первых, кальций в рационе должен обладать высокой биологической доступностью, вследствие чего необходим подбор форм кальцийсодержащих веществ, отвечающих такому критерию. Во-вторых, производители кормов склонны к перенасыщению рационов кальцием или он добавляется для улучшения физических свойств во время обработки некоторых видов отходов зерноперерабатывающей промышленности, например соевого шрота, однако такие включения часто не учитываются. Несмотря на широко представленную научную проработку вопроса, поиск наиболее доступной формы кальция для организма животных по-прежнему актуален. В настоящей работе впервые установлен элементный профиль органов-мишеней у крыс линии Wistar при избытке различных форм кальция. Выявлены метаболические взаимоотношения макро- и микроэлементов, в том числе кальций-сопряженных, в зависимости от органа и формы вводимых веществ. Цель работы заключалась в изучение концентрации макро-, микро- и токсичных элементов в печени, почках, бедренной кости и сыворотке крови крыс линии Wistar при дополнительном использовании в рационе различных источников кальция: хлорида, цитрата и карбоната. Работа была выполнена в условиях вивария ФНЦ биологических систем и агротехнологий РАН (г. Оренбург) в 2024 году на самцах крыс линии Wistar в возрасте 6 мес. Длительность учетного периода эксперимента составила 21 сут. После подготовительного периода (10 сут) 20 крыс случайным образом разделили на четыре группы ( n = 5): контрольную и три опытных. Животные опытных групп дополнительно к основному рациону получали 45 % кальция от его суточной потребности в форме CaCl2 (I группа), Ca3(C6H5O7)2 (II группа) и CaCO3 (III группа). Количество корма, согласно суточной потребности, составило 30 г/особь. Исходным веществом для приготовления различных форм кальция служила известняковая мука (CaCO3) (ООО «Аккерман Цемент», Россия). Для получения CaCl2 использовали методику перевода ионов Ca2+ в раствор реакцией с соляной кислотой. Цитратную форму Ca3(C6H5O7)2 получали в реакции известняковой муки с раствором одноводной лимонной кислоты (концентрация меньше 10 %). Биоматериал (кровь, печень, почки, бедренная кость) получали после декапитации крыс под ингаляционным наркозом через 21 сут после начала эксперимента. Элементный анализ субстратов проводили методом масс-спектрометрии на одноквадрупольном масс-спектрометре с индуктивно-связанной плазмой Agilent 7900 ICP-MS («Agilent», США). Термоокислительную деструкцию органической матрицы осуществляли в микроволновой системе пробоподготовки TOPEX+ («PREEKEM», Китай). Содержание Cr, Fe, Zn и As определяли в гелиевом режиме с использованием коллизионной ячейки. Концентрацию Ca, P, Mg и Fe в сыворотке крови измеряли с использованием автоматического биохимического анализатора CS-Т240 («DIRUI Industrial Co., Ltd.», Китай). Исследуя элементный профиль органов и тканей крыс при добавлении в рацион различных форм кальция, мы обнаружили, что при применении хлорида и карбоната токсичные и условно токсичные элементы (Pb, Ba, Al) аккумулировались в образцах в большей степени, а при использовании в рационе цитратной формы - в меньшей степени (Bi). Из профилей исключались токсичные и условно токсичные элементы на фоне применения Ca3(C6H5O7)2 (пять элементов - V, Al, Ba, Sr, Sn), CaCl2 (четыре элемента - Cd, Al, Ba, Sn), CaCO3 (один элемент - Sn). В свою очередь, формы кальцийсодержащих веществ не влияли на концентрацию кальцийзависимых элементов. В эксперименте не установлено критического снижения их количества. Выявлена тенденция к снижению содержания железа и никеля в бедренной кости при накоплении селена и бария в печени, никеля и хрома - в почках во всех группах. Кальций накапливался только в печени при введении CaCl2. Наблюдалась тенденция к снижению содержания в сыворотке крови меди, железа, цинка, магния, марганца при использовании всех форм кальция. Полученные результаты позволили оценить метаболизм кальция, его синергистов и антагонистов при действии изучаемого фактора, что на практике поможет оптимально нормировать рационы и обеспечить приоритетность той или иной форме кальция, особенно при риске его гипердозировок.

Еще

Формы кальция, микроэлементы, макроэлементы, печень, почки, бедренная кость, сыворотка крови

Короткий адрес: https://sciup.org/142246208

IDR: 142246208   |   УДК: 636.085   |   DOI: 10.15389/agrobiology.2025.4.722rus

Influence of various forms of calcium in the diet on the micro- and macroelement profiles of organs and tissues in rats

The problems of the body’'s calcium supply have several etiologies. Firstly, calcium in the diet should have a high biological availability which requires the selection of forms of calcium-containing substances that meet this criterion. Secondly, feed producers tend to over-saturate diets with calcium or it is added to improve physical properties during the processing of certain types of waste from the grain processing industry, e.g., soybean meal, but such inclusions are often ignored. Despite the widespread scientific study of the issue, the search for the most accessible form of calcium for the animal body is still relevant. In this work, the elemental profile of target organs in Wistar rats with an excess of various forms of calcium was established for the first time. The metabolic relationships of macro- and microelements, including calcium-conjugated ones, have been revealed, depending on the organ and the form of the injected substances. The aim of the work was studing the concentration of macro-, micro- and toxic elements in the liver, kidneys, femur and blood serum of Wistar rats with the additional use of various sources of calcium in the diet: chloride, citrate and carbonate. The work was performed in the vivarium of the Federal Research Center for Biological Systems and Agrotechnologies RAS (Orenburg) in 2024 on male Wistar rats aged 6 months. The duration of the experimental reference period was 21 days. After the preparatory period (10 days), 20 rats were randomly divided into four groups ( n = 5): a control group and three experimental groups. In addition to the basic diet, 45% of the daily calcium requirement was administered to the animals of the experimental groups in the form of CaCl2 for group I, Ca3(C6H5O7)2 for group II, and CaCO3 for group III. The amount of feed consumed, according to the daily requirement for this type of animal, was 30 g/individual. The starting material for the preparation of various forms of calcium was limestone flour (CaCO3) (Akkerman Cement LLC, Russia). For the synthesis of CaCl2, the method of transferring Ca2+ ions into solution by reaction with hydrochloric acid was used. The citrate form of Ca3(C6H5O7)2 was obtained by reacting a solution of citric acid in one water (concentration less than 10 %) with limestone flour. Biomaterial (blood, liver, kidneys, femur) for the study was obtained after decapitation of rats under inhalation anesthesia 21 days after the start of the experiment. The elemental analysis of the substrates was performed by mass spectrometry on a single quadrupole mass spectrometer with inductively coupled plasma Agilent 7900 ICP-MS (Agilent, USA). Thermo-oxidative degradation of the organic matrix was carried out in a microwave TOPEX+ sample preparation system (PREEKEM, China). The content of Cr, Fe, Zn, and As was analyzed in the helium regime using a collision cell. The concentration of certain elements (Ca, P, Mg, Fe) in blood serum was determined using an automatic biochemical analyzer CS-T240 (DIRUI Industrial Co., Ltd., China). Analyzing the elemental profile of rat organs and tissues when various forms of calcium were added to the diet, we found that they accumulated toxic and conditionally toxic elements (Pb, Ba, Al) to a greater extent with dietary Ca chloride and carbonate, and to a lesser extent (Bi) when using the citrate form in the diet. The body lost toxic and conditionally toxic elements upon the use of Ca3(C6H5O7)2 (five elements, V, Al, Ba, Sr, Sn), CaCl2 (four elements, Cd, Al, Ba, Sn), CaCO3 (one element, Sn). In turn, the forms of calcium-containing substances did not affect the concentration of calcium-dependent elements. The experiment did not establish a critical decrease in their number. A tendency to a decrease in the content of iron and nickel in the femur was revealed with the accumulation of selenium and barium in the liver, and nickel and chromium in the kidneys in all groups. Calcium accumulated only in the liver after administration of CaCl2. There was a tendency to decrease the content of copper, iron, zinc, magnesium, and manganese in the blood serum when using all forms of calcium. The results obtained made it possible to evaluate the metabolism of calcium, its synergists and antagonists under the influence of the studied factor, which in practice can ensure the optimization of dietary rationing and the prioritization of a particular form of calcium, especially at the risk of its overdose.

Еще

Текст научной статьи Влияние различных форм кальция в рационе на микро- и макроэлементный состав органов и тканей крыс

Оптимизация минерального питания остается одной из основных задач продуктивного животноводства. При этом кальцию уделяется много внимания как одному из ключевых элементов минерального обмена и гаранту высокой продуктивности. Очевидно, что проблема кальциевой обеспеченности организма полиэтиологична. Во-первых, кальций в рационе должен иметь высокую биологическую доступность, вследствие чего необходим подбор форм кальцийсодержащих веществ, отвечающих этому критерию. Во-вторых, кормопроизводители зачастую склонны к перенасыщению рационов кальцием (1) или он добавляется для улучшения сыпучести некоторых видов отходов перерабатывающей промышленности, служащих компонентами кормов, например соевого шрота, при этом такие включения часто не учитываются при составлении рационов (2). Поэтому в настоящее время, с одной стороны, уделяется значительное внимание избыточному поступлению Ca и его потенциальным антипитательным взаимодействиям с другими макро- и микроэлементами (3). Также ведется поиск высокобио-доступных форм кальцийсодержащих веществ для обеспечения организма этим макроэлементом при их минимальном количестве в рационе.

Функциональная составляющая при формировании скелета и распределение кальция в организме хорошо изучены, при этом современные фундаментальные и клинические исследования доказывают, что роль кальция в физиологических процессах не ограничивается участием в образовании структуры костей. Кальций снижает риск онкозаболеваний (4), участвует в регуляции внутриклеточных процессов, стабилизации артериального давления, опосредует секрецию и активность гормонов, проницаемость клеточных мембран, процессы нервной проводимости, мышечные сокращения (5), увеличивает синтез коллагена, что приводит к ускорению заживления ран (6, 7).

Функции многих белков, апоптоз, межклеточная адгезия, формирование структуры соединительной ткани зависят от содержания кальция. Количество костной массы в организме генетически запрограммировано, при недостатке кальция в период роста организм не достигнет необходимых показателей. Логично, что одной из важнейших патогенетических причин широкого круга заболеваний может становиться дефицит кальция, который обслуживает порядка 2000 белков (8).

Показано, что рационы, богатые кальцием и фосфором, снижают количество патогенных микроорганизмов и увеличивают содержание лактобактерий в кишечнике (9, 10).

Помимо проблем со здоровьем животных, ассоциированных с недостатком кальция, возникают серьезные экономические последствия (11). В яичном птицеводстве 8 % яиц выбраковывают из коммерческого оборота в связи с разломом или мягкостью скорлупы. В молочном скотоводстве 15 % молока недополучают в связи с остеопорозом.

Современная наука предлагает способы коррекции дефицита кальция с помощью изменения состава рационов и препаратной коррекции с использованием различных форм Са (12, 13).

К общепризнанным источникам кальция относятся его соли — карбонат, цитрат, лактат, глицерофосфат, глюконат, сульфат, аспартат и их комбинации с витамином D 3 , микроэлементами, эстрогенами. Существенное различие между этими веществами заключается в разной биодоступности. Механизм доступности кальция из солей известен и зависит от нескольких факторов, прежде всего это доза, одновременное поступление синергистов и антагонистов, кислотность желудочного сока, режим приема.

Выбор правильной фармакотерапии позволяет исключить комор-бидные состояния, связанные с нарушением минерального обмена. Препараты кальция на основе неорганических солей (карбонат, фосфат кальция) наиболее изучены по воздействию на организм и более доступны по цене (14). Основной их недостаток — малая растворимость, низкая скорость растворения и, как следствие, низкая эффективность. Органические соли кальция представлены более усваиваемыми формами: цитратом, лактатом и глюконатом (15, 16).

Несмотря на это, современные кальцийсодержащие лекарственные формы не обладают необходимой эффективностью. При достаточно широком рынке лекарственных препаратов применение современных источников кальция в российском животноводстве отстает на несколько лет от мировых тенденций.

В практике до сих пор очень популярно использование традиционных источников кальция в виде карбонатов, входящих в состав мела, известняка, ракушечника (17, 18). Доступность кальция из неорганических солей достаточно низкая, несмотря его высокое содержание — до 40 %.

Исследования ведутся в нескольких направлениях: повышение количества кальция или использование традиционных источников кальция (мел, ракушечник, известняк), органических форм, регуляторов кальциевого обмена (19-21).

Как правило, синтез более доступных форм кальция требует высоких затрат, что в условиях современной экономики не приведет к их широкому использованию. Особую значимость этот вопрос приобретает при уменьшении объемов импортируемых премиксов и минеральных добавок. Поиск вариантов использования доступных отечественных источников кальция, способных стать достойной альтернативой существующим природным и коммерческим источникам, представляет собой перспективное направление.

По данным Федеральной службы ветеринарного и фитосанитарного надзора (Россельхознадзор), на сегодняшний день в Российской Федерации зарегистрировано 18 кормовых добавок для нормализации кальциевого обмена у сельскохозяйственных животных и восполнения дефицита кальция, из них только три — отечественных производителей (22). Если говорить о лекарственных препаратах для лечения нарушения обмена кальция в ветеринарии, то зарегистрировано два препарата зарубежного производства. То есть вопрос разработки собственных препаратов — эффективных источников кальция в России по-прежнему актуален.

Вторая составляющая кальциевой проблемы в настоящее время заключается в переизбытке кальция, а не в его дефиците. Отрицательное влияние высокого содержания кальция в рационе на использование организмом макро- и микроэлементов, а также основных питательных веществ и энергии хорошо изучено (23-25) .

Известняковая мука (известняк) как основной источник кальция представляет собой недорогой компонент рациона в силу низкой стоимости и обильного наличия. Поэтому в прошлом переизбытку кальция уделялось мало внимания. Прогресс в изучении доступности микро- и макроэлементов и их взаимоотношений потребовал более пристального изучения усвоения кальция и других элементов при избыточном поступлении одного или нескольких элементов (26).

Несмотря на широко представленную научную проработку вопроса о влиянии источников кальция, поиск наиболее доступной формы кальция 724

для организма животных актуален и на сегодняшний день. При этом важно учитывать возможность перегрузки рациона кальцием в силу различных причин и доказанный антипитательный эффект переизбытка кальция.

В настоящей работе впервые установлен элементный профиль органов-мишеней у крыс линии Wistar при избытке различных форм кальция. Выявлены метаболические взаимоотношения макро- и микроэлементов, в том числе кальций-сопряженных, в зависимости от органа и формы вводимых в рацион веществ.

Цель работы заключалась в определении концентрации макро-, микро- и токсичных элементов в печени, почках, бедренной кости и сыворотке крови крыс линии Wistar при дополнительном использовании в рационе различных источников кальция — его хлорида, цитрата и карбоната.

Методика. Работа была выполнена в условиях вивария ФНЦ биологических систем и агротехнологий РАН (г. Оренбург, 2024 год) на самцах крыс линии Wistar.

При получении различных форм кальция использовали известняковую муку (CaCO 3 ) (ООО «Аккерман Цемент», Россия). CaCl 2 получали методом перевода ионов Ca2+ в раствор реакцией с муки с одноводной лимонной кислотой (концентрация меньше 10 %).

Все лабораторные животные на начало эксперимента были одного возраста (6 мес). Исходная масса тела крыс составляла 280±5 г. Животные содержались в специализированных клетках, в качестве подстилки использовали древесные опилки. Поддерживали температуру 22±1 ° С, относительную влажность — 60 %, продолжительность освещения — 12 ч, световой и темный периоды чередовали. Длительность учетного периода эксперимента составила 21 сут.

После подготовительного периода (10 сут) 20 крыс случайным образом разделили на четыре группы (по n = 5): контрольную и три опытных. Животные опытных групп дополнительно к основному рациону (ОР) получали 45 % кальция от его суточной потребности в форме Ca 3 (C 6 H 5 O 7 ) 2 (I группа), CaCl 2 (II группа) и CaCO 3 (III группа). ОР включал полнорационный гранулированный корм, который соответствовал ГОСТ-Р 5025892 (М., 1992) и имел следующий состав: протеин — 19,04 %; жир — 3,8 %; углеводы — 48,4 %; обменная энергия — 304 ккал/100 г. Количество потребляемого корма, согласно суточной потребности для использованного вида животных, составило 30 г/особь. Крысам предоставлялся свободный доступ к воде, потребление корма регистрировалось ежесуточно.

Биоматериал (кровь, печень, почки, бедренная кость) для исследования получали после декапитации крыс под ингаляционным наркозом через 21 сут после начала эксперимента. Цельную кровь отбирали в пробирки с активатором свертывания («RusTech», Китай). Для отделения сыворотки собранные образцы центрифугировали (центрифуга лабораторная СМ-12, ООО «НПП Таглер», Россия) при 1500 g в течение 10 мин. После этого полученные образцы сыворотки разделяли в маркированные центрифужные пробирки объемом 1,5 мл, которые хранили при - 20 ° C до дальнейшего анализа.

Элементный анализ субстратов проводили методом масс-спектрометрии на одноквадрупольном масс-спектрометре с индуктивно-связанной плазмой Agilent 7900 ICP-MS («Agilent», США). Термоокислительную деструкцию органической матрицы осуществляли в микроволновой системе пробоподготовки TOPEX+ («PREEKEM», Китай). Анализ содержания Cr, Fe, Zn и As осуществляли в гелиевом режиме с использованием коллизи- онной ячейки. Стандартные растворы получали на основе поликомпо-нентной смеси от компании «Merck» (Германия) с добавлением дополнительных государственных стандартных образцов (ГСО). Концентрацию некоторых элементов (Ca, P, Mg, Fe) в сыворотке крови определяли с использованием автоматического биохимического анализатора CS-Т240 («DIRUI Industrial Co., Ltd.», Китай).

Обслуживание животных и экспериментальные исследования были выполнены в соответствии с инструкциями и рекомендациями нормативных актов: Модельный закон Межпарламентской Ассамблеи государств-участников Содружества Независимых Государств «Об обращении с животными», ст. 20 (постановление МА государств-участников СНГ ¹ 29-17 от 31.10.2007 г.), протоколы Женевской конвенции «International Guiding Principles for Biomedical Research Involving Animals» и «Принципы надлежащей лабораторной практики (ГОСТ Р 53434-2009. М., 2010). Протокол настоящего исследования одобрен комитетом по биоэтике ФГБНУ ФНЦ БСТ РАН (Протокол ¹ 4 от 28.09.2023).

Статистическую обработку полученных данных проводили c использованием Statistica 10.0 («StatSoft, Inc.», США) и программного обеспечения Microsoft Office. Достоверность различий сравниваемых показателей определяли по t -критерию Стьюдента. Достоверными считали значения при р 0,05; р 0,01; р 0,001. Полученные данные представлены в виде арифметического среднего и стандартной ошибки среднего ( M ±SEM).

Результаты. Введение в рацион лабораторных крыс кальция в различных формах сопровождалось статистически значимыми изменениями в элементном профиле тканей относительно контрольных значений (табл. 1, рис. 1).

1. Концентрация (мг/кг) химических элементов в печени, почках и бедренных костях крыс линии Wistar в контрольной группе ( n = 5, М ±SEM, опыт в виварии, 2024 год)

Элемент

Печень

Почки

Бедренные кости

Na

2073,0±84,99

5355,9±166,04

601,0±22,84

Mg

788,2±35,46

783,4±28,20

412,8±15,69

Al

4,02±0,124

6,58±0,257

1,52±0,104

P

11544,8±542,61

11241,6±415,94

10717,7±417,99

K

12773,5±651,45

11673,9±396,92

406,1±15,03

Ca

186,8±6,17

299,1±11,96

20628,5±845,77

Mn

9,51±0,419

4,05±0,142

0,17±0,006

Co

0,37±0,012

1,14±0,038

0,043±0,0015

Ni

0,53±0,017

1,24±0,041

0,49±0,016

Cu

19,75±1,146

26,0±0,83

0,63±0,027

Ga

0,019±0,0009

0,022±0,0022

0,018±0,0008

Sr

0,23±0,017

0,28±0,017

10,5±0,36

Mo

2,41±0,077

1,14±0,038

0,013±0,0006

Cd

0,05±0,005

0,18±0,009

0,004±0,0016

Sn

0,22±0,013

0,37±0,017

0,033±0,0031

I

1,26±0,079

1,47±0,051

0,429±0,037

Ba

0,17±0,006

0,29±0,009

0,90±0,035

Tl

0,032±0,001

0,11±0,006

0,001±0,0003

Pb

0,041±0,0022

0,072±0,0048

0,034±0,0016

Bi

0,034±0,0051

0,008±0,0004

0,005±0,0003

V

0,016±0,0026

0,037±0,0013

0,006±0,0003

Cr

2,20±0,106

10,16±0,407

0,31±0,032

Fe

496,7±21,36

315,4±12,62

13,9±0,50

Zn

123,9±4,09

94,7±3,04

29,8±1,25

As

0,53±0,023

0,55±0,071

0,033±0,0058

Se

7,38±0,222

8,11±0,527

0,54±0,110

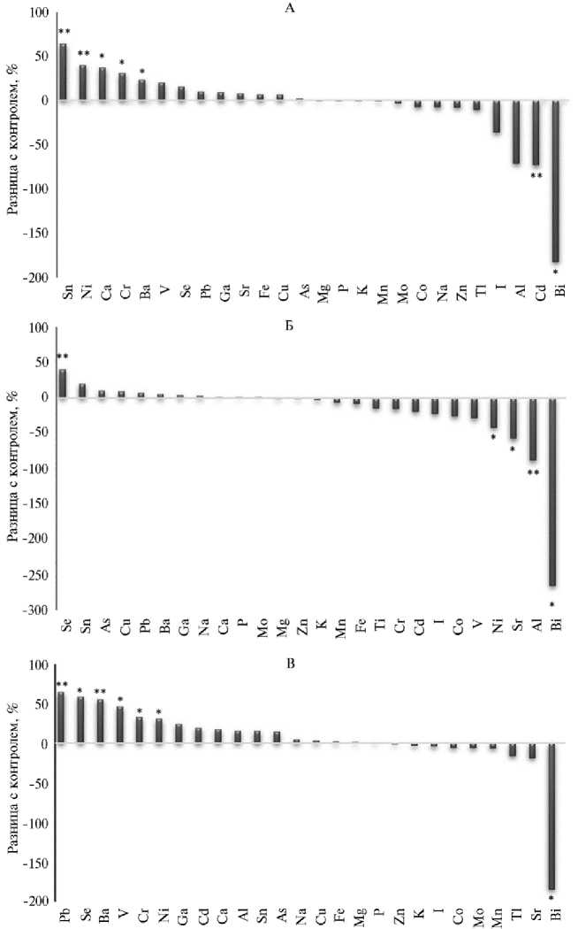
Введение в рацион CaCl2 привело к росту содержания в печени под- опытных крыс олова (+64,2 % к контролю, p ≤ 0,01), никеля (+40,1 %, p ≤ 0,05) и хрома (+31,0 %, p ≤ 0,05), количество селена и свинца повышалось незначительно. Однако достоверно менялась концентрация бария (+23,3 %, p ≤ 0,05), падала доля алюминия (-71,2 %, p ≤ 0,01) и кадмия (-73,0 %, p ≤ 0,05) (см. рис. 1, А). Отношение Ca:Mg при введении CaCl2 составляло 0,38 ед., превышая при этом контрольное значение (0,24 ед.).

Рис. 1. Изменение концентрации химических элементов в печени самцов крыс линии Wistar при введении в рацион CaCl 2 (А) , Ca 3 (C 6 H 5 O 7 ) 2 (Б) , CaCO 3 (В) относительно контрольной группы (опыт в виварии, 2024 год) .

* и ** Соответственно р 0,05 и р 0,01 в сравнении с контролем.

Нагрузка рациона крыс Ca 3 (C 6 H 5 O 7 ) 2 (см. рис. 1, Б) способствовала снижению доли никеля, стронция, алюминия и висмута в тканях печени соответственно на 41,7 % (р 0,05), 57,2 % (р 0,05), 87,8 % (р 0,01) и 265,2 % (р 0,05). При этом количество селена увеличивалось на 40,3 % (р 0,01) к контролю. Важно также, что кальций-магниевое соотношение в печени составляло 0,24 ед.

Оба рациона с высоким содержанием кальция за счет хлорида и цитрата увеличивали концентрацию меди в печени (разница с контролем в пределах 6-9 %). Возможно, избыток кальция влиял на распределение меди независимо от формы. При этом снижение содержания железа на фоне применения цитрата усугубляло накопление меди. Дефицит железа обусловливает неэффективное использование меди, что приводит к ее накоплению в печени (27).

Введение CaCO 3 привело к повышению количества никеля, селена, хрома, бария, свинца и ванадия соответственно на 30,8 (р 0,05), 58,8 (р 0,05), 32,8 (р 0,05), 55,0 (р 0,01), 64,6 (р 0,01) и 46,3 (р 0,05) % (см. рис. 1, В). Кальций-магниевое соотношение составило 0,28 ед.

Содержание кальция в печени также менялось при введении различных его форм. Так, максимальное содержание кальция было отмечено на фоне введения хлорида (разница с контролем 37,2 %, p 0,01). Карбонатная форма снижала разницу с контролем до 17,5 %, цитратная форма приближала концентрацию кальция в печени к контрольным значениям.

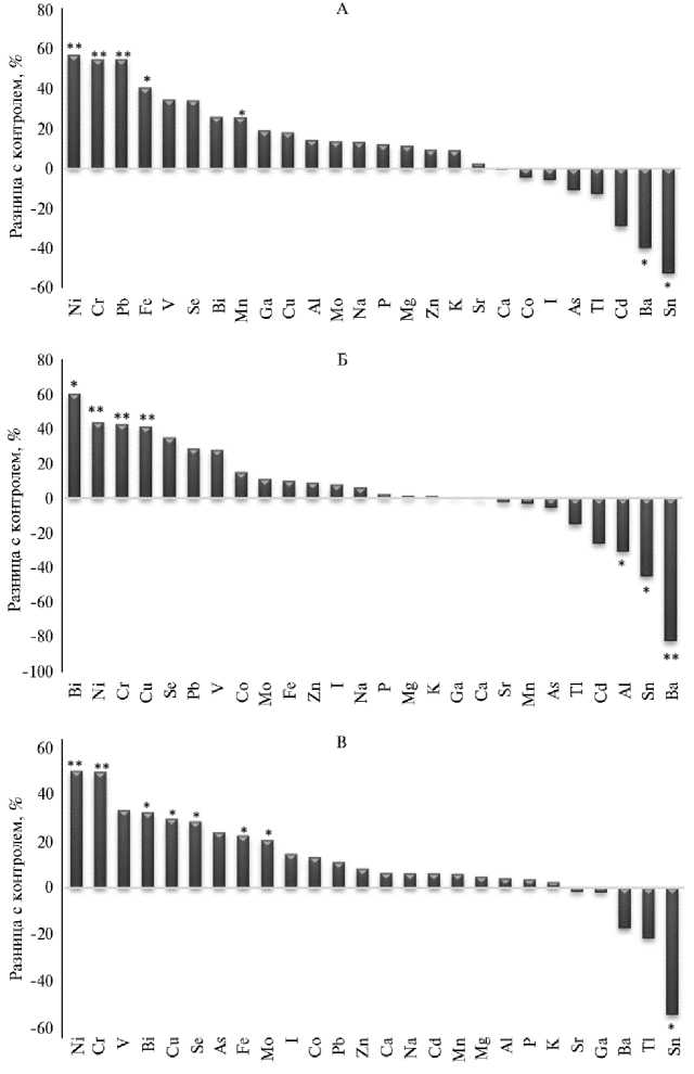
В почках добавление в рацион CaCl 2 приводило к накоплению никеля и хрома (рис. 2, А). Содержание бария и олова оказалось значимо ниже контроля, а концентрации железа и марганца увеличивались относительно контроля соответственно на 40,35 (p 0,05) и 25,42 % (p 0,05), несмотря на то, что эти элементы представляют собой антагонисты кальция. Важно отметить, что доля последнего в тканях почек также не коррелировала с его содержанием в рационе.

Нагрузка рациона Ca 3 (C 6 H 5 O 7 ) 2 (см. рис. 2, Б) способствовала аккумуляции никеля (+43,9 % к контролю, p 0,01), хрома (+42,7 %, p 0,01), меди (+41,4 %, p 0,01) и висмута (+60,5 %, p 0,05) при когерентном нивелировании количества алюминия ( - 30,4 %, p 0,05), олова ( - 44,9 %, p 0,05) и бария ( - 82,2 %, p 0,01). Кальций-магниевое соотношение в тканях почек составило 0,38 ед.

Введение CaCO 3 (см. рис. 2, В) сопровождалось ростом количества никеля (+50,4 % к контролю, p 0,01) и хрома (+49,8 %, p 0,01), помимо чего повышалось содержание висмута (+32,5 %, p 0,05), меди (+29,6 %, p 0,05), селена (+28,5 %, p 0,05), железа (+22,4 %, p 0,05) и молибдена (+20,7 %, p 0,05), при этом падала концентрация олова ( - 54,5 %, p 0,01). Кальций-магниевое соотношение оставалось на уровне 0,38 ед.

Несмотря на то, что лимонная кислота улучшает усвоение железа (28), в нашем эксперименте избыток кальция, возможно, подавлял ее стимулирующее действие на всасывание железа, максимальная концентрация которого в почках была отмечена при введении CaCl2 (разница с контролем 40,35 %, p ≤ 0,05). Концентрация железа в почках при введении цитрата в рацион оказалась выше контроля только на 10 %. Содержание кальция в тканях почек было выше контрольного значения только на фоне применения карбоната. При этом концентрация меди росла во всех опытных группах в диапазоне от 18 до 41,3 % (p ≤ 0,01) по сравнению с контролем с максимальным значением на фоне скармливания цитрата.

Рис. 2. Изменение концентрации химических элементов в почках самцов крыс линии Wistar при введении в рацион CaCl 2 (А) , Ca 3 (C 6 H 5 O 7 ) 2 (Б) , CaCO 3 (В) относительно контрольной группы (опыт в виварии, 2024 год) .

* и ** Соответственно р 0,05 и р 0,01 в сравнении с контролем.

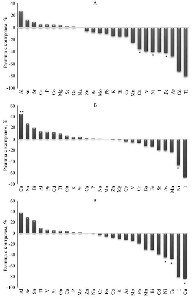
Элементный состав костной ткани при введении CaCl 2 характеризовался снижением концентрации меди ( - 35,25 % к контролю, p 0,05), никеля ( - 39,92 %, p 0,05) и железа ( - 41,42 %, p 0,05). В то же время сохранялась тенденция по накоплению алюминия и олова (рис. 3, А).

Включение Ca 3 (C 6 H 5 O 7 ) 2 в рацион приводило только к достоверному изменению в костях количества никеля и меди, причем если содержание первого падало (см. рис. 3, Б), то концентрация второго возрастала до +44,6 % (p 0,01). Соотношение Ca:Mg составляло 51 ед.

Рис. 3. Изменение концентрации химических элементов в бедренной кости самцов крыс линии Wistar при введении в рацион CaCl 2 (А) , Ca 3 (C 6 H 5 O 7 ) 2 (Б) , CaCO 3 (В) относительно контрольной группы (опыт в виварии, 2024 год ) .

* и ** Соответственно р 0,05 и р 0,01 в сравнении с контролем.

Введение CaCO 3 не вызвало значимых смещений по токсичным элементам, однако все так же снижалось количество никеля, железа и меди (см. рис. 3, В). Следует также отметить, что кальций-магниевое соотношение в бедренных костях составляло 51,9 против контрольных 49,9 ед. Дозозависимых корреляций обнаружено не было.

Не установлено отложения кальция в костной ткани при введении в рацион всех исследованных форм, при этом снижалась концентрация железа от 12,9 до 46,3 % (p 0,05).

В сыворотке крови достоверные изменения концентрации были выявлены для восьми элементов: B, Na, P, K, Ca, Cd, Tl, Ga (табл. 2). В большей степени концентрация значимых из них снижалась на фоне применения цитратной и карбонатной форм с максимальной разницей с контролем при введении в рацион CaCO3.

  • 2.    Концентрация (мг/л) химических элементов в сыворотке крови крыс линии Wistar при введении в рацион различных источников кальция ( n = 5, Ì ±SEM, опыт в виварии, 2024 год)

    Элемент

    Группа

    контроль

    CaCl 2

    ]    Ca 3 (C 6 H 5 O 7 ) 2     1

    CaCO 3

    B

    0,58±0,160

    0,14±0,005*

    0,42±0,148

    0,074±0,0090*

    Na

    3382,2±65,79

    3281,8±10,36

    2916,6±159,53*

    2492,59±15,588***

    Mg

    25,8±1,34

    26,2±2,13

    19,32±2,113

    14,5±1,41

    Al

    1,05±0,169

    1,19±0,109

    1,23±0,417

    1,021±0,199

    P

    208,1±16,56

    208,3±21,54

    163,2±8,17**

    127,0±10,75***

    K

    424,7±26,35

    430,7±41,98

    377,6±20,85*

    329,4±22,77**

    Ca

    106,6±4,57

    111,1±3,86

    103,5±6,05

    88,2±1,57***

    Mn

    0,06±0,020

    0,05±0,006

    0,044±0,0042

    0,032±0,0031

    Co

    0,010±0,0020

    0,013±0,0041

    0,009±0,0000

    0,006±0,0012

    Ni

    0,24±0,088

    0,13±0,003

    0,14±0,015

    0,11±0,006

    Cu

    1,99±0,187

    1,83±0,197

    1,90±0,150

    1,53±0,092

    Ga

    0,003±0,0011

    0,006±0,0024

    0,005±0,000*

    0,002±0,0011

    Sr

    0,077±0,0101

    0,068±0,0025

    0,067±0,0052

    0,057±0,0031

    Mo

    0,047±0,0132

    0,800±0,4750

    0,31±0,171

    0,170±0,0944

    Ag

    0,061±0,0312

    0,019±0,0025

    0,018±0,0053

    0,010±0,0044

    Cd

    0,002±0,0010

    0,005±0,0020

    0,004±0,000**

    0,002±0,0014

    Sn

    0,047±0,0192

    0,029±0,0060

    0,037±0,0100

    0,027±0,0113

    I

    0,74±0,1852

    0,480±0,1030

    0,85±0,162

    0,390±0,0892

    Ba

    0,015±0,0071

    0,025±0,0054

    0,024±0,0102

    0,006±0,0021

    Hg

    0,013±0,0052

    0,003±0,0000

    0,002±0,0000

    0,002±0,0000

    Tl

    0,0004±0,00000

    0,0031±0,00111

    0,0028±0,00001***

    0,0010±0,00111

    Pb

    0,007±0,0032

    0,006±0,0013

    0,008±0,0024

    0,003±0,0012

    Bi

    0,0064±0,002

    0,005±0,0010

    0,004±0,0010

    0,002±0,0010

    V

    0,003±0,0013

    0,003±0,0000

    0,003±0,0001

    0,002±0,0002

    Cr

    0,59±0,227

    0,303±0,0010

    0,35±0,032

    0,31±0,014

    Fe

    8,8±1,37

    6,458±0,4270

    6,0±0,69

    4,71±0,210

    Zn

    1,94±0,074

    1,936±0,0970

    1,98±0,159

    1,61±0,052

    As

    0,019±0,005

    0,013±0,0020

    0,009±0,0011

    0,008±0,0012

    Se

    0,75±0,053

    0,705±0,0280

    0,62±0,037

    0,53±0,016

    *, ** и *** Соответственно p 0,05; p 0,01 и p 0,001

    в сравнении с контролем.

  • 3.    Элементный профиль (%) органов крыс линии Wistar при введении в рацион различных источников кальция в сравнении с контролем ( n = 5, Ì ±SEM, опыт в виварии, 2024 год)

Так, концентрация P и K снижалась на 21 % (p 0,01) и 11 % (p 0,05) при применении цитратной формы и на 38 % (p 0,001) и 22 % (p 0,01) — карбонатной. Видно, что разница была выше на фоне CaCO 3 , при этом также отмечалось снижение количества Са на 17 % (p 0,001). Концентрация магния изменялась аналогично. Это может быть связано с тем, что избыток Ca за счет включения карбоната повышал pH в кишечнике, что способствовало осаждению ряда основных катионных минералов с противоанионами (24). Тенденция к снижению содержания в сыворотке крови наблюдалась для меди, железа, цинка, магния, марганца во всех группах.

На основании элементного профиля тканей при добавлении к рациону различных форм кальция можно сделать вывод, что при введении в рацион хлорида и карбоната Са организм крыс аккумулировал токсичные и условно токсичные элементы (Pb, Ba, Al) в большей степени, при использовании цитратной формы — в меньшей степени (Bi). При этом число токсичных и условно токсичных элементов сокращалось: на фоне применения Ca 3 (C 6 H 5 O 7 ) 2 в профилях отсутствовали пять элементов (V, Al, Ba, Sr, Sn), CaCl 2 — четыре (Cd, Al, Ba, Sn), CaCO 3 — один (Sn) (табл. 3).

Оценивая элементный профиль тканей печени, почек и бедренных костей при добавлении Са в рацион крыс, следует отметить, что формы кальцийсодержащих веществ не влияли на концентрацию кальций-зависи-мых элементов. В эксперименте не установлено критического снижения их содержания. Выявлена тенденция снижения количества железа и никеля в бедренной кости на фоне накопления селена и бария — в печени, никеля и хрома — в почках во всех группах. Кальций накапливался только в печени при введении CaCl2.

Форма кальция

Орган

CaCl 2

1 Ca 3 (C 6 H 5 O 7 ) 2 \

CaCO 3

CaCl 2

\ Ca 3 (C 6 H 5 O 7 )2 \

CaCO 3

Печень

Seс (15,4)

Seb (40,3)

Seb (58,8)

-

-

-

Snа (64,2)

-

-

-

-

-

Pbс (10,1)

-

Pbа (64,6)

-

Pbс (7,5)

-

Nib (40,1)

-

Nib (30,8)

-

Nib (41,7)

-

Crb (31,0)

-

-

-

-

-

Baа (23,3)

Baс (5,2)

Baа (55,0)

-

-

-

-

-

Vа (46,3)

-

V а (28,2)

-

Cab (37,2)

Caс (0,5)

-

-

-

-

-

-

Crb (32,8)

-

-

-

-

-

-

Cdа (73,0)

-

-

-

-

-

Alа (71,2)

Alа (87,8)

-

-

-

-

Biс (182,4)

Biа (265,2)

-

-

-

-

-

Srа (57,2)

-

Почки

Nib (56,7)

Nib (43,9)

Nib (50,4)

-

-

-

Crb (54,7)

Crb (42,7)

Crb (49,8)

-

-

-

-

-

-

Baа (39,7)

Baа (82,2)

-

-

-

Vс (33,5)

-

-

-

-

Cub (41,4)

Cub (29,6)

-

-

-

-

-

-

Snа (52,3)

Snа (44,9)

Snа (54,5)

Pbа (54,6)

-

-

-

-

-

-

Biа (60,5)

Biа (32,5)

-

-

-

Feb (40,4)

-

Feа (22,4)

-

-

-

Mnb (25,4)

-

-

-

-

-

-

-

Moа (20,7)

-

-

-

-

-

Seb (28,5)

-

-

-

-

-

-

-

Alа (30,4)

-

Бедренная

Alс (27,2)

-

Alа (37,8)

-

-

-

кость

-

-

-

Nib (39,9)

Nib (46,3)

Nib (44,3)

-

-

-

Feb (41,4)

Feс (13,0)

Feb (46,7)

-

Cub (44,6)

-

Cub (35,3)

-

Cub (83,4)

-

-

-

-

Mnс (23,0)

Mnс (29,8)

-

-

-

Cdс (72,0)

-

-

-

-

-

-

-

Iс (80,6)

Примечание. Различия с контролем статистиечски значимы (p ≤ 0,05): а — для токсичных и условно токсичных элементов, b — для эссенциальных макро- и микроэлементов, c — сдвиги, отражающие тенден- цию. Прочерки означают, что по соответствующему элементу нет достоверных различий с контролем.

Закономерно, что биодоступность любого вещества зависит от формы, которую, в свою очередь, регламентируют физико-химические свойства, в частности растворимость, а хлоридная и цитратная формы кальция превосходят по этому показателю карбонатную. При этом ни в одном варианте опыта избытка кальция обнаружено не было. Возможно, избыточный Ca в рационе образует нерастворимые комплексы с фитатом, особенно в тонком кишечнике, где pH повышен (26) .

Содержание кальция в сыворотке крови при исследовании на биохимическом анализаторе в опытных и контрольной группах оставалось в пределах нормы и колебалось в диапазоне 2,67-2,81 ммоль/л. Около половины ионизированного Ca откладывается в костях, заменяя Ca, высвобожденный ранее, что приводит к постоянному обмену между кровью и костными тканями (29). В нашем эксперименте в костной ткани отмечена тенденция накопления кальция при введении всех его форм, но разница была невелика (от 1,46 до 4,9 %). При этом максимальное значение оказалось характерно для печени при введении в рацион CaCl 2 .

Несмотря на тенденцию повышения концентрации кальция в сыворотке крови и достоверно в печени только на фоне применения хлорида, его повышенной реабсорбции в почках не происходило, хотя 50 % циркулирующего Ca в сыворотке фильтруется в канальцах почек и 70 % из них могут быть реабсорбированы из различных частей почек (30).

Увеличение концентрации Ca снижает поглощение Р (31), или кальций может осаждаться с фосфором (32). Кроме того, высокие концентрации Ca в рационе (при введении в виде карбоната) повышают pH в пищеварительном тракте, что приводит к снижению усвоения питательных веществ (24), в том числе железа (33) .

При сравнении карбоната с сульфатом показано, что при введении в рацион CaCO 3 доступность железа у крыс снижалась сильнее, чем при высоком содержании сульфата кальция. При этом карбонат кальция повышает рН кишечника, а высокий рН снижает растворимость железа, что, в свою очередь, подавляет его всасывание. Подобный эффект отсутствует у сульфатной формы кальция (34, 35). Следовательно, формы кальция могут изменять физико-химические свойства химуса, что влияет на усвоение химических элементов.

Кальций, введенный в рацион за счет цитрата и карбоната, снижал концентрацию в сыворотке крови ряда макро- и микроэлементов: магния, железа, цинка, калия (без достоверных различий), что согласуется с ранее проведенными исследованиями, где доступность некоторых физиологически значимых макро- и микроэлементов, включая железо, магний, марганец и цинк, а также белка при избытке кальция в рационе снижалась (22).

Ряд исследований содержат иную информацию о доступности элементов при введении цитрата кальция. В эксперименте in vitro лимонная кислота, получаемая с кормом, повышала усвояемость кальция, магния и цинка (28). Лимонная кислота также улучшает усвоение цинка (36). Благотворное влияние цитрата на усвояемость этих минералов может быть частично объяснено его кислотностью. Вероятно, цитрат повышает их растворимость за счет снижения рН в желудочно-кишечном тракте. Следовательно, избыток карбоната кальция может оказывать более серьезное влияние на метаболизм этих минералов, чем избыток цитрата кальция.

Исследованные концентрации Ca, P, Mg, Fe, Cu и Zn в некоторых биосубстратах крыс, получавших избыток кальция с рационом в виде карбоната и цитрата, позволили уточнить, что неблагоприятное воздействие избытка кальция на минеральный обмен частично зависит от его формы (37).

При характеристике биодоступности Са важна не только форма вещества, но и другие факторы. Так, даже биодоступность кальция из карбоната будет варьировать от 27 до 77 % в зависимости от источника известняка, размера частиц, растворимости in vitro, содержания других элементов (38). То есть количество доступного кальция, определенного в конкретном образце известняка, не будет применимо к другим образцам с иными физико-химическими характеристиками, что затрудняет использование усредненного показателя в рецептурах кормов.

При использовании Ca3(C6H5O7)2 и CaCO3 отмечено снижение содержания магния, который может связывается с кальцием в кишечном тракте, снижая его доступность для животного (39). В нашем эксперименте при использовании всех форм кальция концентрация цинка снижалась в косной ткани, печени и сыворотке крови. Вероятно, избыток кальция подавляет доступность цинка или опосредует перераспределение между органами-мишенями. Однако некоторые исследователи сообщали, что кальцийсодержащий рацион повышает количество цинка в костях крыс (40). При этом в почках отмечалась тенденция накопления цинка с разницей с контролем в пределах 8,2-9,3 % независимо от формы кальция. Возможно, определенную роль в усвоении цинка на фоне избытка кальция играет наличие фитатов в рационе. Исследования на безфитатной диете показали, что избыток кальция улучшает биодоступность цинка, не влияя на его усвоение (41).

Динамика концентрации меди в большей степени зависела от органа-мишени, чем от формы кальция. Так, в печени и почках содержание меди увеличивалось во всех вариантах опыта, причем различия с контролем были более значимы в почках, чем в печени. В костной ткани хлоридная и карбонатная формы вызывали снижение концентрации меди на 35,2 и 83 %, а цитратная — рост на 44,5 %. Возможно, дефицит железа приводит к неэффективному использованию меди, что обусловливает ее накопление в печени (25). При этом в нашем эксперименте содержание железа было ниже контрольных значений в сыворотке крови и костной ткани при использовании всех форм кальция на фоне накопления железа почками. В печени хлоридная и карбонатная формы повышали содержание железа, цитратная — снижала. Поэтому однозначно отмечать дефицит железа нельзя.

Сравнительная оценка влияния различных соединений кальция на концентрацию тяжелых металлов, преимущественно Cd, Al, Pb, показала зависимость между формой кальцийсодержащего вещества и органом-мишенью у крыс. Введение Са может как снижать токсическое воздействие этих металлов с различной эффективностью в зависимости от конкретного соединения кальция, так и повысить их концентрацию. Карбонат кальция продемонстрировал заметную способность снижать накопление свинца в костной ткани и сыворотке крови. При этом все формы кальция увеличивали содержание свинца в почках и печени. Возможно, повышенное содержание кальция усиливает выведение свинца с мочой, что свидетельствует о нефропротекторном эффекте в отношении указанных металлов. Это позволяет предположить, что кальций может эффективно противодействовать токсичности, вызванной свинцом и кадмием. Также было показано, что добавки кальция снижают токсичность тяжелых металлов, в частности свинца и кадмия (42, 43). В исследованиях на крысах, получавших гидроортофосфат кальция, продемонстрированы менее серьезные посмертные изменения по сравнению с контрольной группой (44). В наших опытах в костной ткани в основном накапливался алюминий при введении всех форм кальция. Кадмий имел тенденцию к снижению в печени, почках и костной ткани. Высокое содержание кальция в пище снижает всасывание кадмия в желудочно-кишечном тракте, тем самым уменьшая его накопление в организме (45, 46). Хотя соединения кальция многообещающе снижают токсичность тяжелых металлов, конкретные механизмы и сравнительная эффективность его различных соединений требуют дальнейшего изучения для оптимизации диетических стратегий.

Таким образом, добавление кальция в форме хлорида в рацион крыс линии Wistar способствовало аккумуляции в печени Se, Ni, Cr, Sn при снижении содержания Al, Cd, I. Карбонатная и цитратная формы обеспечивали повышение количества Se. Использование в рационе хлорида и карбоната увеличивало количество Ca в пределах 37,2-17,5 %. Почки как орган выделения не накапливали Ca при введении любой из его форм. При этом добавление всех форм Ca вело к накоплению Ni, Cu, Cr и снижению количества Sn. Задержку Fe почками в пределах 40,35-22,4 % обеспечивало применение хлорида и карбоната. В сыворотке крови достоверные изменения концентрации были обнаружены для восьми элементов: B, Na, P, K, Ca, 734

Cd, Tl, Ga. В большей степени концентрация значимых из них снижалась на фоне применения цитратной и карбонатной форм Ca с максимальной разницей с контролем при введении в рацион последней. В костной ткани не установлено отложения Ca при добавлении в рацион всех исследованных форм, при этом концентрация Fe снижалась на 12,9-46,3 %. Показано, что при использовании хлорида и карбоната Са токсичные и условно токсичные элементы (Pb, Ba, Al) накапливались в большей степени, в варианте с цитратной формой — в меньшей степени (Bi). Организм не аккумултровал токсичные и условно токсичные элементы: на фоне применения цитрата — V, Al, Ba, Sr, Sn, хлорида — Cd, Al, Ba, Sn, карбоната — Sn. В то же время, как показал настоящий эксперимент, использованные рационы с высоким содержанием кальция в различных формах не влияют на концентрацию кальция в сыворотке крови и органах-мишенях, что позволяет предположить, что гомеостаз кальция сохраняется.