Химико-физическая диагностика образцов тектита

Автор: А.Ю. Лысюк, В.П. Лютоев, О.С. Головатая

Журнал: Вестник геонаук @vestnik-geo

Рубрика: Научные статьи

Статья в выпуске: 1 (373), 2026 года.

Бесплатный доступ

Методами химического анализа, электронной микроскопии, инфракрасной, 57Fe-мёссбауэровской спектроскопии и электронного парамагнитного резонанса охарактеризованы два образца природного стекла из коллекции академика Н. П. Юшкина, отнесенные предположительно к тектитам австралоазиатского поля рассеяния. По результатам исследований оба образца имеют типичные характеристики австралоазиатских тектитов индокитайского фланга разброса (индошинитов). Образцы хорошо различаются по химическому составу и спектроскопическим характеристикам, степени полимеризации алюмосиликатного каркаса и структурным позициям ионов железа. Различие соотнесено с разноудаленными полями в пределах одного региона.

Еще

Тектиты, поля разброса, алюмосиликатные природные стекла, инфракрасная спектроскопия, электронный парамагнитный резонанс, 57Fe-мёссбауэровская спектроскопия

Короткий адрес: https://sciup.org/149150474

IDR: 149150474   |   УДК: 552.64:[548.75+543.429.22+543.429.3]   |   DOI: 10.19110/geov.2026.1.2

Chemical and physical diagnostics of tektites

Two samples of natural glass from the collection of Academician N. P. Yushkin, presumably attributed to tektites of the Austalasian scattering field, were characterized by chemical analysis, electron microscopy, infrared, 57Fe Mossbauer spectroscopy, and electron paramagnetic resonance. According to the research results, both samples have typical characteristics of the Australasian tektites of the Indochinese flank (Indochinites). The samples differ well in chemical composition and spectroscopic characteristics, the degree of polymerization of the aluminosilicate framework, and the structural positions of iron ions. The difference is related to the disparate fields within the same region.

Еще

Текст научной статьи Химико-физическая диагностика образцов тектита

Под термином «тектиты» понимаются природные стекла от бледно-зеленого до черного цвета, встречающиеся в областях поверхности Земли, называемых тектитовыми полями разброса. Сейчас известно четыре таких поля, перечислим их в порядке уменьшения возраста: североамериканское ( бедиаситы и джорджи-аиты ) — 34.9 млн лет; центральноевропейское ( молдавиты ) — 14.5 млн лет; Кот-д'Ивуар ( ивариты ) — 1.07 млн лет; австралоазиатское ( австралиты, явани-ты, тасманиты, индошиниты ) — 0.8 млн лет. Предполагается, что каждое поле соответствует определенному импактному событию (McCall, 2006).

В научной литературе вопросы происхождения тектитов, их физико-химического строение и свойства обсуждаются уже почти 200 лет. Выдвигались гипотезы техногенного, вулканогенного происхождения вещества тектитов, космогенного в виде осколков комет и метеоритов, выбросов с лунной поверхности (Воробьев, 1966). Во многом благодаря анализам результатов программы «Апполон» (Taylor, 1982) утвердилась теория происхождения тектитов из брызг импактно-го расплава хорошо отсортированных осадочных по- род илистого размера, выброшенных в атмосферу или за ее пределы на начальной стадии формирования ударного кратера. При этом тектиты из различных полей разброса устойчиво различаются химическим составом (табл. 1).

При изучении структуры вещества тектитов и их диагностики применяются специальные спектроскопические методы изучения высококремнистых стекол, такие как инфракрасная и рамановская спектроскопия (White, Minser, 1984; Faulques et al., 2001; Gucsik et al., 2004; и мн. др.), мёссбауэровская спектроскопия (Dunlap, Sibley, 2004; Dunlap, McGraw, 2007; Русаков и др., 2007; Volovetsky et al., 2008 и мн. др.). Численные результаты этих методов, как признают упомянутые работы, сильно зависят от выбранной модели деконволюции спектров, однако обнадеживающим фактором является получение однозначной дифференциации тектитов различных полей и их областей (Dunlap & Sibley, 2004; Русаков и др., 2007).

Всплеск интереса к изучению тектитов спровоцировали сначала прецизионная датировка в 788.1±2.8 тыс. лет 40Ar/39Ar-методом самого обширного и богатого австралоазиатского поля, простирающегося от

Таблица 1. Основные химические элементы тектитов (мас. %)

Table 1. Tektite major element compositions (wt. %)

Оксид Oxide

Бедиаситы Bediasites

Молдавиты Moldavites

Индошиниты Indochinites

Яваниты Javanites

Австралиты Australites

SiO 2

73.5

80.7

72.7

73.2

73.8

TiO 2

0.87

0.32

0.78

0.64

0.67

Al2O3

15.9

9.6

13.6

11.2

11.4

FeO

5.0

1.93

4.6

5.7

4.31

MgO

1.38

1.59

2.14

3.75

1.92

CaO

0.06

2.13

1.98

2.1

3.99

Na2O

1.30

0.37

1.05

0.98

1.23

K2O

1.73

3.6

2.62

2.09

2.28

99.6

100.2

99.5

99.7

99.6

K2O/MgO

1.25

2.3

1.22

0.56

1.19

CaO/MgO

0.04

1.34

0.93

0.56

2.08

Примечание: Данные химического состава взяты из книги (Taylor, 1982, стр. 135) и дополнены строкой CaO/MgO. Приведен состав отдельных тектитов, характерный для данных подгрупп.

Note: Chemical composition data are taken from (Taylor, 1982, p. 135) and supplemented with the line CaO/MgO. The compositions of single tektites that are typical for these subgroups are given.

Индокитая до о. Тасмания, а также определение минимальной температуры нагрева капель выбросов в 2350– 3950 °С (Jourdan et al., 2019). Затем последовало открытие на плато Боловен новой астроблемы и ее обоснование в качестве источника тектитов всего австралоазиатского поля (Sieh et al., 2020, 2023). Возраст кратера близок к возрасту австралоазиатских тектитов, вариации их морфологии по областям поля хорошо согласуются с модельными параметрами импактного события и модельными экспериментами морфологии тектитов (Elkins-Tanton et al., 2003). Материнской породой тектитов, согласно (Sieh et al., 2020, 2023), являются смеси базальтов и песчаников плато Боловен, по поводу чего в статьях (Mizera, 2022; Mizera, Strunga, 2024) высказываются аргументированное несогласие и сомнение в роли данного кратера как источника австралоазиатских тектитов. В любом случае можно прогнозировать дополнительные исследования строения и химических особенностей тектитов данного поля рассеяния.

В нашем распоряжении оказались два достаточно крупных тектита из коллекции академика Н. П. Юшкина, предположительно отнесенные к австралоазиатскому полю. Целью работы являлось изучение их химического состава и структуры и определение возможной принадлежности образцов к разновидностям тектитов данного поля рассеяния.

Объекты и методы исследований

Фото исследованных образцов тектита показано на рис. 1. Образец ТК1 имел гантелевидную форму, а образец ТК2 — каплевидную. Их цвет был от темнокоричневого до черного, размеры по длине 4–5 см, наибольший диаметр 1.5–2 см. Из образцов были изготовлены поперечные тонкие шлифы для электронно-микроскопических исследований и порошковые навески для химического анализа и других методов изучения вещества.

Основная часть аналитических работ выполнена на оборудовании ЦКП «Геонаука» ИГ ФИЦ Коми НЦ УрО РАН. Химический состав определен в силикатном анализе. Однородность распределения химических элементов в тектитах исследована с помощью сканирующего электронного микроскопа VEGA 3 TESCAN с EDS-детектором Oxford.

Фазовый состав тектитов был изучен методами рентгеновской дифракции на порошковом дифрактометре XRD-6000, Shimadzu и инфракрасной (ИК) спек троскопии на Фурье-спектрометре ИК-диапазона «Люмекс ИнфраЛюм ФТ-02». Для получения спектров ИК-поглощения применялись прессованные таблетки 1 г KBr и 1.5 мг образца.

Структурное состояние ионов железа в образцах определено методами электронного парамагнитного резонанса (ЭПР) и мёссбауэровской спектроскопии 57Fe. Спектры ЭПР регистрировались на радиоспектрометре Х-диапазона RadioPAN SE/X-2547 при комнатной температуре в порошковых препаратах навеской

Рис. 1. Образцы тектитов: ТК1 (верхний) и ТК2 (нижний)

Fig. 1. Tektite samples. TK1 (top) and TK2 (bottom)

около 100 мг. Микроволновая мощность на образцах составляла около 7 мВт, амплитуда высокочастотной модуляции 0.1 мТ. Мёссбаэуровские спектры 57Fe об разцов тектита были получены на оборудовании Института минералогии ЮУ ФНЦ МиГ УрО РАН (г. Миасс) при комнатной температуре. Изомерный сдвиг определялся относительно α-Fe.

Результаты и обсуждение

Химический состав. Электронно-микроскопические снимки шлифов тектитов в режиме обратнорассеянных электронов (BSE), чувствительном к вариациям состава, демонстрируют высокую степень однородности вещества (рис. 2). На снимках выделяются только темные мелкие пятна пустот — вскрытых газовых пузырьков. Составы определены в участках, свободных от них, и представлены в табл. 2. Полученный состав в разных точках одной пробы варьирует в пределах погрешности определений, то есть стекло проб однородно, зональность в распределении элементов не обнаружена. Основными компонентами стекла являются: SiO2 (72–73 вес. %), Al2O3 (12–14 вес. %) и FeO (около 5 вес. %). На остальные оксиды (в порядке уменьшения K2O, MgO, CaO, Na2O и TiO2) приходится не более 10 вес. %. Образец ТК1 отличается повышенным содержанием Al2O3, скомпенсированным в образце ТК2 немного большими содержаниями SiO2, MgO и CaO. Хорошо заметно различие образцов по соотношениям K2O/MgO и CaO/MgO.

Состав образцов, по данным микрозондовых определений, очень хорошо согласуется с данными силикатного валового анализа (табл. 2). Средний микро-зондовый состав в пределах погрешности определений совпадает с силикатным анализом. Дополнительно валовым анализом определены малые количества MnO, BaO и P2O5. Потери веса при прокаливании образцов не обнаружено. В тектитах характерные содержания воды составляют порядка 0.01 вес. % (Taylor, 1982), что находится за пределами обнаружения в силикатном анализе. Крайне низкое содержание воды в природном стекле является отличительной особенностью тек- титов, в вулканических стеклах количество воды на два порядка выше (O'Keefe, 1976).

Сравнивая литературные данные по составу тектитов (табл. 1) с составом образца ТК1 (табл. 2), можно заключить, что образец ТК1 идентичен по всем параметрам индошинитам. Образец ТК2 также близок к индошинитам, но в нем понижено содержание Al2O3, а также величины K2O/MgO и CaO/MgO. В другой близкой разновидности тектитов — яваитах — данные величины существенно ниже, чем в образце ТК2. Оба образца наверняка не относятся к дистальным типам тектитов — австралитам — из-за вдвое меньшего CaO/ MgO и характерной каплевидной формы, свойствен ной проксимальным и медиальным тектитам. Вероятно, образцы ТК1 и ТК2 относятся к тектитам разных районов индокитайского фланга разброса (Вьетнам, Камбоджа, Лаос и Таиланд) австралоазиатского поля.

Рентгеновская дифракция . Согласно полученным рентгеновским данным, вещество тектитов слагает рентгеноаморфная фаза. На дифрактометрических картинах хорошо выражен довольно интенсивный широкий галообразный рефлекс с максимумом в области 3.3–3.5 Å. Наличие такого галообразного рефлекса характерно для аморфной стеклообразной фазы, а приуроченность этого гало к вышеуказанной области свидетельствует о том, что структура стекла представляет собой неупорядоченную сетку кремнекислородных тетраэдров. Второй очень слабый галообразный рефлекс наблюдается в области 8 Å. Его наличие, возможно, связано с тем, что кремнекислородные тетраэдры, расположенные в целом неупорядоченно, создают отдельные области однородности данного размера.

ИК-спектроскопия, в отличие от рентгеновской дифракции, позволяет оценить ближний порядок в решетке стекла. В ИК-спектрах образцов тектитов зарегистрированы интенсивные полосы поглощения с максимумами в области 1070 и плечом 1200 см-1, 470 см-1, а также слабое поглощение или его следы в области 800 см-1 (рис. 3). Все полосы относятся к колебаниям тетраэдрических единиц полимеризованной алюмо-

Рис. 2. BSE-изображения шлифов тектитов. Отмечены точки микрозондовых анализов

Fig. 2. BSE images of tektite thin sections. Microprobe analysis points are marked

Таблица 2. Основные химические элементы изученных тектитов (вес. %)

Table 2. Major element compositions of the studied tektites (wt. %)

Оксид Oxide

Силикатный анализ Silicate analysis

Микрозондовый состав / Microprobe composition

ТК1

ТК2

±∆

ТК1

ТК2

1

2

3

1

2

3

SiO 2

71.28

71.80

72.04

72.25

71.59

72.66

73.14

72.96

0.54

TiO 2

0.84

0.76

0.77

0.90

0.95

0.85

0.71

0.84

0.12

Al2O3

14.19

12.66

14.21

14.17

14.12

12.55

12.57

12.57

0.24

FeO

4.94

5.14

4.87

4.91

4.79

5.03

4.82

4.76

0.22

MnO

0.10

0.11

не обн.

не обн.

не обн.

не обн.

не обн.

не обн.

не опр.

MgO

1.99

2.69

2.03

1.95

1.89

2.53

2.52

2.51

0.12

CaO

1.89

2.05

1.71

1.66

1.78

1.87

1.87

1.96

0.12

Na2O

1.23

1.32

1.14

1.16

1.14

1.08

1.19

1.30

0.12

K 2 O

2.44

2.36

2.54

2.45

2.47

2.46

2.39

2.50

0.10

P 2 O 5

0.04

0.08

не обн.

не обн.

не обн.

не обн.

не обн.

не обн.

не опр.

BaO

0.22

0.09

-//-

-//-

-//-

-//-

-//-

-//-

-//-

ППП

не обн.

не обн.

не опр.

не опр.

не опр.

не опр.

не опр.

не опр.

-//-

99.16

99.06

99.31

99.45

98.73

99.03

99.21

99.40

-//-

K2O/MgO

1.23

0.88

1.25

1.26

1.31

0.97

0.95

1.00

0.05

CaO/MgO

0.95

0.76

0.84

0.85

0.94

0.74

0.74

0.78

0.05

Примечание: Точки микрозондовых анализов 1, 2, 3 показаны на рис. 2. Доверительный интервал ± — 95 %. Не опр. — не определялось, не обн. — не обнаружено.

Note: Microprobe analyses points 1, 2, 3 are shown in Fig. 2. Confidence interval. ±D — 95 %. не опр. — not determined, не обн. — not detected.

силикатной сетки стекла, они регистрируются в ИК-спектрах стекла различного происхождения, в том числе тектитов (White, Minser, 1984; Faulques et al., 2001; Gucsik et al., 2004).

Аналогичные, но более узкие полосы регистрируются в спектре чистого кварцевого стекла. Низкочастотная полоса 470 см-1 относится к деформационным колебаниям с изгибом связей –Si–O–Si– при движении атомов кислорода нормально связи Si–Si. Ее смещение в сторону низких частот и уширение при уменьшении содержания Si в стекле связано с вкладом связей –Al–O–Si–. Малоинтенсивная полоса в области

800 см-1 принадлежит деформациям угла связей –Si–O– Si– с движением атомов кремния. С понижением содержания Si в стекле она уширяется и смещается в сторону низких частот. Для сравнения на рис. 3 приведен ИК-спектр техногенного стекла ТНГ-3, образованного при нефтяном пожаре на месторождении тенгиз в Казахстане, c составом (вес. %): SiO2 — 61.7, Al2O3 — 9.7, FeO — 1.4, Fe2O3 — 2.7, CaO — 16.4, MgO — 2.9, Na2O — 2.7, K2O — 1.6 (Потапов и др., 2011). В отличие от хорошо выраженных полос 796 см-1 у образцов тектита, низкокремнеземистое и высококальциевое стекло ТНГ-3 имеет плохо выраженный максимум 780 см-1.

Волновое число (Wavenumber)

Рис. 3. ИК-спектры поглощения тектитов. Для сравнения приведены спектры кварцевого стекла Suprasil и стекла техногенной плавки ТНГ-3. Контуры разнесены вдоль оси оптической плотности

Fig. 3. IR absorption spectra of tektites. Spectra of Suprasil quartz glass and ТНГ-3 technogenic melting glass are shown for comparison. The contours are spaced apart along the absorbance axis

Основная полоса ИК-спектра кварцевого стекла состоит из компонента с максимумом около 1220 и пика 1104 см-1, которые относятся к продольным (LO) и поперечным (TO) оптическим фононам (LO-TO- расщепление) асимметричных валентных колебаний кислородных мостиковых связей –Si–O–Si–. В спектрах тектитов главный максимум этой полосы смещен к 1070 см-1, в стекле ТНГ-3 — до 1035 см-1, сдвиг полосы 1220 см-1 не заметен. В статье Faulques et al. (2001) появление в ИК-спектрах стекла LO-компонента связывается с разупорядочением сетки. Главное нарушение сплошности сетки (Si, Al)O4 — её деполимеризация — связано с появлением немостиковых атомов кислорода (White, Minser, 1984; Mysen, Richet, 2019). При этом положение максимума рассматриваемой ИК-полосы c увеличением числа немостиковых атомов кислорода в позиции тетераэдрического катиона (NBO/T) смещается к низким частотам: NBO/T = 0 (все атомы кислорода мостиковые) — 1110 см-1; NBO/T = 1 — 1070–1110 см-1; NBO/T = 2 — 940–970 см-1; NBO/T = 3 — 880–910 см-1; NBO/T = 4 — 840–860 см-1 (White, Minser, 1984; Mysen, Richet, 2019). Величину NBO/T можно оценить по данным состава стекла, приняв, что все ионы щелочного, щелочно-земельного и двухвалентного железа и марганца действуют как модификаторы структуры, а весь алюминий и трехвалентное железо входят в стеклообразующий каркас (White, Minser, 1984):

NBO 2{Na2O + K2O + CaO + MgO+FeO]

Т

SiO2 + 2А12О3 + 2Fe2O3 2{А1203 + Fe2O3]

’ SiO2 + 2Al2O3 + 2Fe2O3

Оксиды представлены мольными долями состава стекла. Знак «–» в числителе перед стеклообразующими компонентами выводит соответствующую часть щелочных ионов в роль компенсаторов заряда тетраэдрических трехвалентных катионов. Малое содержание оксида марганца в составе тектитов (табл. 2) не сказывается на результате. Оксиды титана и фосфора не включены в расчет, так как они могут менять свою роль в сетке стекла и склонны к кластеризации (Mysen, Richet, 2019). Согласно уравнению (1), NBO/T чистого кварцевого стекла Suprasil равно 0, сетка стекла полностью полимеризована. Соответственно, на ИК-спектре (рис. 3) низкочастное крыло полосы 1104 см-1 не имеет уширения или дополнительных полос. У образца тенгизита ТНГ-3 с названным выше составом NBO/T = 0.54 структура частично деполимеризована. Максимум ИК-полосы сдвинут к 1035 см-1, заметно плечо 910 см-1, что можно трактовать как проявление колебаний немостиковых связей кислорода тетраэдрических катионов. У тектита ТК1 и ТК2 значения NBO/T составляют 0.08 и 0.14 соответственно по данным валового химического анализа, 0.07 и 0.14 — по данным микрозондовых определений.

Таким образом, стекло тектитов, особенно у образца ТК1, представляет собой высокополимеризован-ный алюмокремнекислородный каркас с соответствующими модами колебаний в основном мостиковых связей –Si–O–Si– и –Si–O–Al–. В ИК-спектре образца ТК2 заметно смазанное плечо в области 910 см-1, что говорит о небольшой доле колебаний немостиковых связей. Для верификации мод колебаний тетраэдри- ческого каркаса стекла тектитов планируется исследование методом рамановской спектроскопии с лазерным возбуждением в ультрафиолетовом и видимом диапазонах.

Спектры ЭПР . Спектр ЭПР алюмосиликатного стекла с растворенными ионами трехвалентного железа представлен на рис. 4 образцом тенгизита ТНГ-3, а спектр стекла с наличием кластеров железа — образцом иргизита Ж-1. Образцы тектитов ТК1 и ТК2 (табл. 2) содержат около 5 % оксидов двух- и трехвалентного железа в сумме (Лютоев и др., 2018). Главной особенностью спектра ТНГ-3 является асимметричная интенсивная линия с g-фактором 4.27 шириной по точкам экстремумов ∆Bpp = 14 мТ, сопровождающаяся слабыми особенностями, с g ∼ 8.4 и 2.0. Это типичный спектр ЭПР Х-диапазона силикатного стекла с небольшой примесью ионов Fe3+. Спектр ЭПР иргизита Ж-1 дополнен широкой (∆Bpp = 50 мТ) интенсивной полосой с g = 2.08.

Резонансы при g = 4.27 и g = 8.4 обусловлены парамагнитными переходами изолированных ионов Fe3+ в позициях с сильным ромбическим искажением (E/D ∼ 1/3) и аксиальным искажением (E/D ∼ 0) кислородного окружения. Интерпретация полосы при g ∼ 2.0 не столь однозначна (Vercamer et al., 2015). Полоса, как и особенность g = 8.4, может быть отнесена к парамагнитному сигналу Fe3+ в аксиально искаженных позициях или к сигналу обменно-связанных пар или малых кластеров Fe3+, а также к примесям железооксидных фаз. При резко отличной форме полосы g ∼ 2.0 образцов ТНГ-3 и Ж-1 мёссбауэровские исследования не выявили в них каких-либо примесей железооксидов (Лютоев и др., 2018). Соответственно, полоса в спектре ЭПР ТНГ-3 в основном относится к изолированным ионам Fe3+ (E/D ∼ 0), а в спектре Ж-1 — к их кластерным формам.

Спектры ЭПР двух образцов тектита почти иден тичны и содержат асимметричную узкую линию с g-фактором 4.27 шириной ∆Bpp 6 мТ (ТК1) или 8 мТ (ТК2) и очень слабые следы широкой полосы (∆Bpp = 60– 70 мТ) с g-фактором 2.06 (ТК1) или 2.01 (ТК2). Если в качестве меры концентрации изолированных ионов Fe3+ принять интегральную интенсивность сигнала 4.27 (произведение квадрата ширины на интенсивность), то в тектитах содержание таких ионов составляет 4–7 % от их содержания в ТНГ-3 и 15 % в иргизи-те. Интегральный сигнал кластерных форм железа в тектитах на порядок ниже, чем в иргизите. То есть при примерно равных суммарных содержаниях железа во всех образцах в спектрах ЭПР тектитов проявляется их очень малая часть. Следует заключить, что в тектитах железо в основном содержится в двухвалентном состоянии, как это и отмечено в табл. 2. Линии двухвалентного железа при комнатной температуре вследствие очень короткого времени спин-релаксации в спектрах ЭПР не проявляются.

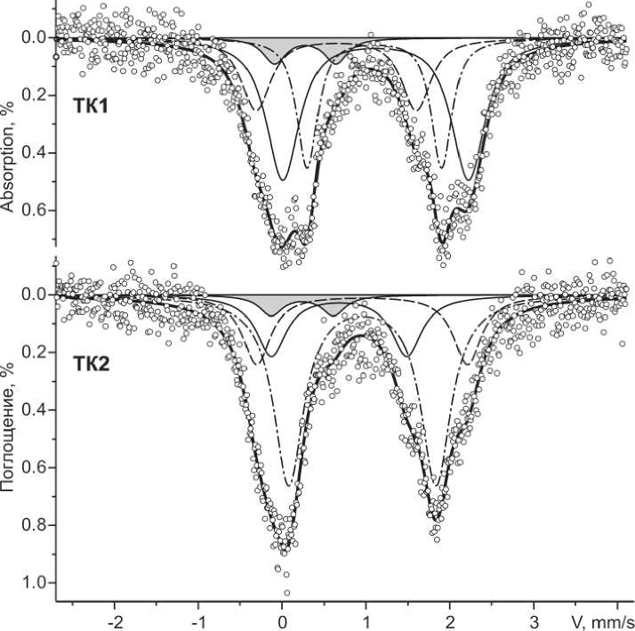
Мёссбауэровская спектроскопия 57Fe позволяет определить валентное состояние железа и оценить распределение ионов железа в структурных позициях минерального вещества. Полученные спектры изучаемых тектитов показаны на рис. 5. К сожалению, вследствие низкой активности источника гамма-квантов отношение «сигнал/шум» слишком низкое для получения хорошей статистики расчетной модели декомпозиции спектров. По форме спектры не отличаются от приводимых в литературе по тектитам. Это асим-

Рис. 4. Спектры ЭПР тектитов. Для сравнения показаны спектры техногенного стекла плавления ТНГ-3 и образца иргизита Ж-1. Спектры записаны при идентичных усилениях и нормированы на равные навески проб

Fig. 4. EPR spectra of tektites. The spectra of the technogenic melting glass ТНГ-3 and the irghizite sample Ж-1 are shown for comparison. The spectra were recorded at identical amplifications and normalized to equal sample weights метричный, неоднородно уширенный дублет с расщеплением около 2 мм/c c центром около 1 мм/c, характерным для ионов Fe2+ в октаэдрическом кислородном окружении. Повышенная интенсивность низкоскоростного компонента говорит о вкладе в спектральный контур дублета с малым расщеплением от ионов Fe3+.

В отличие от кристаллических веществ с дискретными структурными позициями с различными параметрами окружения ионов железа, в стеклообразном веществе ожидается их широкое перекрывающееся распределение. В спектрах ЭПР стекла это проявляется в доминировании сигнала g = 4.3 ионов Fe3+ в позициях с E/D ∼ 1/3, даже при их низкой плотности вероятности, поскольку при E/D = 1/3 линия становится изотропной. В мёссбауэровских спектрах подобной селекции сигналов не происходит; спектральные контуры сглажены и уширены, выделение отдельных компонент с дискретными сверхтонкими мёссбауэровскими параметрами становится условным. Предложены различные методы восстановления распределенных сверхтонких параметров при анализе мёссбауэровских спектров стекла, в частности тектитов.

Согласно методу восстановления распределенных квадрупольных расщеплений мёссбауэровских 57Fe-спектров стекол, в тектитах выделяются три моды: Fe2+ в пентаоктаэдрических позициях со средними значениями изомерного сдвига ∼ 1 мм/c и квадрупольного расщепления ∼ 1.8–2.1 мм/c; Fe2+ в тетраэдрических позициях с ∼ 0.5–0.7 мм/c, ∼ 0.8– 1.5 мм/c; Fe3+ в тетраэдрических позициях с ∼ 0.2– 0.3 мм/c, ∼ 0 мм/c (Dunlap et al., 1998; Dunlap, Sibley, 2004). Метод выдает сильно заниженное значение доли Fe3+/ΣFe в предположении равенства вероятностей мёссбауэровских переходов различных неэквивалентных позиций ионов. В стеклах оценка данной вероятности затруднена, но из данных по силикатам известно, что она в среднем на 15 % выше у ионов Fe3+. При малых величинах Fe3+/ΣFe корректировка будет несущественной. Так, в целом у австралоазиатских тек- титов Fe3+/ΣFe не превышает 2 %, в частности у индо-шинитов составляет около 1 % (Dunlap, Sibley, 2004). В отличие от тектитов, в спектрах проксимального им-пактного стекла (например, иргизитах) моды тетраэдрических Fe3+ и Fe2+ не разделяются (Dunlap, McGraw, 2007). Близкие к нулевым значения QS у тетраэдрических позиций Fe3+ предполагают высокую степень симметрии тетраэдров [FeO4]-, что маловероятно для структур силикатного стекла (Mysen, Richet, 2019).

Альтернативный вариант интерпретации мёссбауэровских спектров тектитов и импактных стекол выполнен в рамках восстановления двух независимых функций распределения QS-ионов Fe2+ и Fe3+ (Русаков и др., 2007; Volovetsky et al., 2008). В этом варианте не появляется компонент Fe2+ с ∼ 0.5–0.7 мм/c, промежуточным между характерными значениями для ионов Fe2+ и Fe3+ в кислородном окружении, а дублеты Fe3+ имеют очень высокие значения . По сути, моды распределенных параметров Fe2+ и Fe3+ тетраэдрических позиций (по Dunlap, Sibley, 2004) заменены одним компонентом Fe3+. В индошинитах параметры Fe3+ соответствуют октаэдрическому окружению. Величина Fe3+/ΣFe в тектитах, в том числе индо-шинитах, находится в диапазоне 5–10 %, а их максимальные значения получены для иргизитов — 30–50 %. Видимо, это несколько завышенные значения.

Данные по изучению тектитов методом мёссбауэровской 57Fe-спектроскопии значительно варьируют, содержат очевидные несоответствия. Но также установлено, что применение единого подхода приводит к статистически одинаковым результатам для тектитов одного региона и их значимым различиям для тектитов из различных регионов (Dunlap et al., 1998; Dunlap, Sibley, 2004; Русаков и др., 2007).

Приведенные на рис. 5 мёссбауэровские спектры тектитов ТК1 и ТК2 вследствие высокого уровня шума проанализированы в модели дискретных дублетов: трех для Fe2+ и одного для Fe3+. Результаты даны в табл. 3, для сравнения приведены ранее изученные нами спектры иргизита Ж-1 и тенгизита ТНГ-3 из статьи (Лютоев и др., 2018). Судя по величинам IS и QS, дублет Fe3+ соответствует искаженным тетраэдрическим позициям. Величина Fe 3+ / Σ Fe существенно выше результатов (Dunlap, Sibley, 2004) и попадает на нижнюю границу величины для индошинитов, приведенную в статьях (Русаков и др., 2007; Volovetsky et al., 2008). С учетом присутствия в образцах примерно 5 % Fe3+ значения NBO/T понижаются до 0.07 у ТК1 и до 0.13 у ТК2.

Два дублета, Fe2+(1) и Fe2+(2), образца ТК1 по величине IS относятся к октаэдрическим позициям сетки стекла, у образца ТК2 величина изомерного сдвига понижена, что указывает на вклад позиций пятивершинных кислородных полиэдров. На две эти позиции железа в тектитах приходится по 70–80 %. Около 20 % общей площади спектрального контура принадлежит дублету с промежуточным значением изомерного сдвига 0.6–0.7 мм/c, аналогичному тетраэдрическим позициям (Dunlap, Sibley, 2004). Следует заметить, что такие величины IS, промежуточные между характерными для ионов Fe2+ и Fe3+, в минералах часто трактуются как делокализация электрона между Fe2+ и Fe3+ в соседних позициях, а результирующая величина IS отражает условное эффективное валентное состояние Fe2.5+ (Dyar et al., 2006). На возможное присутствие та- 19

Таблица 3. Параметры мёссбауэровских спектров стекол

Table 3. Mossbauer parameters of glasses

Образец / Sample

Параметр / Parameter

Компоненты спектра / Spectrum components

Fe2+(1)

Fe2+(2)

Fe2+(3)

Fe3+

IS, мм/с

1.12

1.10

0.64

0.27

ТК1

QS, мм/с

2.21

1.60

1.91

0.73

Γ, мм/с

0.47

0.30

0.42

0.33

A, %

46

27

21

6

IS, мм/с

0.95

0.96

0.68

0.24

тк?

QS, мм/с

2.51

1.76

1.61

0.74

Γ, мм/с

0.40

0.44

0.43

0.34

A, %

20

57

18

5

Образец* / Sample*

Параметр / Parameter

Fe2+(1)

Fe2+(2)

Fe3+(1)

Fe3+(2)

IS, мм/с

1.07

1.00

0.31

0.21

ТНГ-3

QS, мм/с

2.08

1.66

1.10

0.30

Γ, мм/с

0.64

0.59

0.85

0.23

A, %

25

18

54

3

IS, мм/с

1.12

1.04

0.40

не обн.

Ж-1

QS, мм/с

2.22

1.63

1.30

-//-

Γ, мм/с

0.64

0.62

0.94

-//-

A, %

1.12

1.04

34

-//-

Примечание. * — данные из статьи (Лютоев и др., 2018); IS — изомерный сдвиг, QS — квадрупольное расщепление, Γ — ширина линий, A — относительная площадь спектрального компонента.

Note. * — data from the article (Lyutoev et al., 2018); IS — isomer shift, QS — quadrupole splitting, Γ — line width, A — relative area of the spectral component, не обн. — not detected.

Рис. 5. Мёссбауэровские спектры 57Fe тектитов. Маркеры — экспериментальные значения; жирная сплошная линия — суммарный расчетный спектр; затененный контур — дублет Fe3+; тонкие сплошная и пунктирные линии — дублеты Fe2+ Fig.5. 57Fe Mossbauer spectra of tektites. Markers are experimental values; bold solid line is the calculated spectrum; shaded contour is the Fe3+ doublet; thin solid and dotted are Fe2+ doublets ких пар ионов в изучаемых тектитах указывает наличие малоинтенсивной широкой полосы с g-фактором около 2.0 в спектрах ЭПР, отнесенной к кластерным формам ионов железа (рис. 4). Для прояснения этих вопросов необходимо получение качественных мёс-сбауровских и ЭПР-спектров не только при комнатной температуре, но и при низких, хотя бы азотных температурах.

Заключение

По результатам проведенных исследований оба образца продемонстрировали типичные характеристики австралоазиатских тектитов индокитайского фланга разброса, то есть индошинитов. Образцы хорошо различаются по химическому составу и спектроскопическим характеристикам. Каплеобразный образец ТК2 отличается пониженным содержанием оксидов алюминия, повышенной долей оксида магния, меньшей степенью полимеризации алюмосиликатного каркаса, в котором, как следует из данных мёссбауэровской спектроскопии, повышена доля 5-вершинных позиций катионов. Возможно, образец ТК2 относится к более близким к источнику полям разброса, нежели гантелеподобный образец ТК1.

Работа выполнена в рамках темы НИР ИГ ФИЦ Коми НЦ УрО РАН (ГР № 122040600009-2).