Иерархия сверточных тождеств в структурах Паскаля: геометрическая интерпретация и обобщения

Бесплатный доступ

В работе исследуется иерархия сверточных тождеств в комбинаторных структурах Паскаля. На основе геометрической интерпретации элементов как числа путей в целочисленной решетке получены обобщения для треугольника, пирамиды и гиперпирамид произвольной размерности. Построена полная иерархия результатов, демонстрирующая, что все рассмотренные тождества являются частными случаями единой теоремы. Введена операция инверсии индексов, позволяющая интерпретировать свертку как наложение слоев. Для каждого уровня иерархии приведены подробные примеры с пошаговыми вычислениями. Обсуждены приложения в помехоустойчивом кодировании, криптографическом разделении секрета и сжатии данных.

Еще

Треугольник Паскаля, пирамида Паскаля, гиперпирамида Паскаля, полиномиальные коэффициенты, тождество свертки, целочисленные решетки, инверсия индексов, наложение слоев

Короткий адрес: https://sciup.org/148333169

IDR: 148333169   |   УДК: 519.67   |   DOI: 10.18101/2304-5728-2026-1-26-40

Hierarchy of Convolution Identities in Pascal Structures: Geometric Interpretation and Generalizations

We study the hierarchy of convolution identities in Pascal combinatorial structures. Based on the geometric interpretation of ele- ments as numbers of paths in integer lattices, generalizations for Pascal’s triangle, pyramid and hyperpyramids of arbitrary dimension are obtained. A complete hierarchy of results is constructed, demonstrating that all con- sidered identities are special cases of a unified theorem. The operation of index inversion is introduced, allowing to interpret convolution as layer superposition. For each hierarchy level, detailed step-by-step examples are provided. Applications in error-correcting coding, cryptographic secret sharing and data compression are discussed.

Еще

Текст научной статьи Иерархия сверточных тождеств в структурах Паскаля: геометрическая интерпретация и обобщения

Комбинаторные структуры, известные как треугольник Паскаля и его многомерные обобщения, играют фундаментальную роль в различных областях математики, включая комбинаторику, теорию вероятностей и вычислительную математику.

Классическое тождество для треугольника Паскаля:

2 n

n

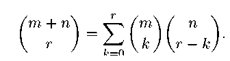
известно с XVIII в. и представляет собой частный случай более общей свертки Вандермонда [2] :

r m + n

r

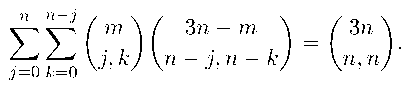
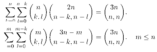
В работе [3] было предложено оригинальное геометрическое доказательство этих тождеств через подсчет путей на целочисленной сетке, а также получены два типа обобщений для пирамиды Паскаля. При записи триномиальных коэффициентов используется стандартная сокращенная нотация k n ,l , где третий индекс определяется как n - k - l при условии k + l n. В этой нотации результаты [3] принимают вид:

n n-k n       2n k, l n - k, n - l

3 п

ЕЕ n, n m m-k m\ / 3n — m k, l n - k, n - l

3 n

ЕЕ k=0 1=0

m≤n n, n

В настоящей работе предлагается геометрическая интерпретация сверточных тождеств через операцию инверсии индексов, позволяющую рассматривать свертку как результат наложения двух слоев гиперпирамиды Паскаля. Развивается единый метод доказательства, основанный на подсчете путей в целочисленной решетке, который естественным образом обобщается с треугольника на пирамиду и далее на гиперпирамиды произвольной размерности. Для каждого уровня иерархии приводятся подробные пошаговые вычисления, демонстрирующие практическое применение полученных формул. Полученные тождества находят применение в задачах помехоустойчивого кодирования, криптографического разделения секрета и сжатии данных.

1 Предварительные сведения

Определение 1.1. Треугольником Паскаля называется бесконечная треугольная таблица, элементами которой являются биномиальные коэффициенты:

n kJ    k!(n — k)

n

0 k n.

При этом второй индекс второй строки n - k не указывается явно, но восстанавливается из условия k + ( n k ) = n. Эти числа удовлетворяют рекуррентному соотношению (правилу Паскаля):

n + 1 k nn k — 1 + kk с начальным условием (°) =1 и граничными условиями (П) = (П) = 1, причем (П) = 0, если min(n,k,n —k) < 0. Биномиальные коэффициенты обладают свойством симметрии:

n

k

n n - k

и являются коэффициентами разложения степени бинома:

( X + 1) П = X (njx k .

n

k =0

Определение 1.2. Пирамидой Паскаля называется трехмерная иерархическая структура, элементами которой являются триномиальные коэффициенты:

n

n

k,l)    k ! l !( n — k — l )

k,l 0 , k + l n.

Третий индекс второй строки n - k - l здесь опущен, но определяется автоматически из условия k + 1 + ( n — k — l ) = n. Эти числа удовлетворяют рекуррентному соотношению:

n + 1 k, l n  nn

k 1 ,l + \k— 1 + U,l

с начальным условием (^o) =1 и граничными условиями:

0 , 0

n n, 0

n

0 , n

причем kk ^ = 0 , если min( n, k,l,n — k — l) 0 . Триномиальные коэффициенты обладают симметрией в каждом слое:

n k, l

n l, k

n

-

n

n

k-

l, l

k, n

-k

-

l,

и являются коэффициентами разложения степени тринома:

n n-k n   xkyl.

k, l

( x + y + 1) = XX k=0 / =0

Определение 1.3. Гиперпирамидой Паскаля размерности d называется d -мерный массив, элементами которого являются полиномиальные коэффициенты:

d

n !

, ,----7---,   ki > 0, X ki = n ki! ••• kd-1! kd!

где последний индекс второй строки определяется как k d = n — Pd 1 k i и явно не указывается в левой части для краткости записи. Число n называется номером слоя. Полиномиальные коэффициенты, подобно биномиальным и триномиальным коэффициентам, удовлетворяют начальному условию ^ 0 о) =1 и граничным условиям:

( n n V ••• = ( n Vi.

\0,..., 0/ \n, 0,..., 0y \0,..., 0,nJ причем полиномиальный коэффициент считается равным нулю, если какой-либо из индексов ki отрицателен или если Pd—1 ki > n [4].

Утверждение 1.4 (Подсчет путей) . Число различных путей из точки (0 ,..., 0) в точку ( k i ,...,k d ) в d-мерной целочисленной решетке, состоящих из единичных шагов вдоль координатных осей, равно полиномиальному коэффициенту k ,... n ,k .

Доказательство. Рассмотрим путь из начала координат O = (0 ,..., 0) в точку A = ( k i ,..., k d ) . Каждый шаг пути увеличивает ровно одну из координат на единицу. Пусть сделан n шагов, причем k i шагов в i-м направлении (i = 1 ,..., d). Тогда координаты конечной точки будут в точности ( k i ,..., k d ) , откуда следует, что n = P d =i k i .

Таким образом, любой путь однозначно определяется последовательностью длины n, состоящей из k i шагов первого типа, k 2 шагов второго типа . . . k d шагов d-го типа. Число различных перестановок этой последовательности с повторениями равно k^knr^k^ [9] , то есть полиномиальному коэффициенту согласно равенству (5) .

2 Иерархия сверточных тождеств

2.1    Треугольник Паскаля (d = 2)

Для треугольника Паскаля хорошо известно следующее тождество, которое следует из свертки Вандермонда (2) .

Теорема 2.1 (Свертка для треугольника Паскаля) . Для любых неотрицательных целых n, m, таких, что m ≤ n и любого целого неотри цательного а, где 0 a n, выполняется равенство:

Доказательство. Рассмотрим двумерную целочисленную решетку. Число путей из точки (0 , 0) в точку ( а, b ) , где b = n — а, состоящих из n шагов ( a шагов вправо и b шагов вверх), равно правой части n a согласно утверждению 1.4 .

Разобьем каждый такой путь на две части: первые m шагов и оставшиеся n - m шагов. Пусть за первые m шагов сделано j шагов вправо. Тогда количество шагов вверх за первые m шагов равно m - j . За оставшиеся n - m шагов необходимо сделать a - j шагов вправо и b — ( m — j ) = ( n — a ) ( m — j ) = n — m — a + j шагов вверх.

Число способов выбрать первые m шагов с заданным j равно m j . Число способов выбрать оставшиеся n-m шагов с заданными количествами равно n a - - m j . Поскольку эти выборы независимы, общее число путей, у которых за первые m шагов сделано ровно j шагов вправо, равно произведению этих чисел.

Суммируя по всем возможным значениям j от 0 до а (при j > а второй множитель обращается в нуль), получаем общее число всех путей, что и доказывает равенство.

Следствие 2.2 (Центральный случай) . При а = n/ 2 и m = n из теоремы 2.1 получаем классическое тождество (1) .

2.2    Пирамида Паскаля (d = 3)

Перейдем к трехмерному случаю.

Теорема 2.3 (Свертка для пирамиды Паскаля) . Для любых неотрицательных целых n, m, таких, что m ≤ n, и любых целых неотрицательных а и b, удовлетворяющих условию а + b n, выполняется равенство:

n-m

- j 1 , b -

j 2

Доказательство. Рассмотрим трехмерную целочисленную решетку. Число путей из начала координат O = (0 , 0 , 0) в точку A = ( a, b, c ) , где c = n — ( a + b ) , состоящих из n шагов (a шагов в направлении оси x, b шагов в направлении оси y , c шагов в направлении оси z ), равно правой части аП^ согласно утверждению 1.4.

Разобьем каждый путь на два последовательных этапа: первые m шагов и следующие n - m шагов. Обозначим через j 1 количество шагов в направлении оси x на первом этапе, через j 2 — количество шагов в направлении оси y на первом этапе. Тогда количество шагов в направлении оси z на первом этапе равно m - j 1 - j 2 . Числа j 1 и j 2 должны удовлетворять условиям 0 j i a, 0 < j 2 b и j i + j 2 < m, иначе второй этап будет невозможен.

На втором этапе необходимо сделать a - j 1 шагов в направлении оси x, b — j 2 шагов в направлении оси у и c — ( m — j i — j 2 ) шагов в направлении оси z .

Число способов пройти первый этап с заданными j i ,j 2 равно Qj ). Число способов пройти второй этап равно (a- nj - m - j2 )• Поскольку выбор пути на первом и втором этапах независим, общее число путей, проходящих через данную промежуточную точку, равно произведению этих чисел. Суммируя по всем возможным j 1 и j 2 , получаем общее число всех путей.

Пример 2.4. Рассмотрим n = 5 , m = 2 , элемент Q^) = 30 . Тогда a = 2 , b = 1 , c = 5 (2 + 1) = 2 . Вычислим левую часть согласно теореме 2.3 :

Результаты вычислений представлены в таблице 1 .

Таблица 1. Вычисление левой части для d = 3, n = 5, m = 2, элемента (251)

(juh)

2

V .7 1 ,72/

2

3

-.7 1 , 1 - 72/

2

V / 1 ,72/

• (2 - 7 1 З1 - 72)

(0 , 0)

( 2 ) = 2! = 1

10 , 0/     0!0!2!      1

( 231 )

3!

= 2!1!0! = 3

3

(0 , 1)

( 2 \ =      = 2

10 , 11     0!1!1!      2

ф

3!

2!0!1!     3

6

(1 , 0)

( 2 ^=2!= 2

11,0/     1!0!1!      2

ф

3!

1!1!1!     6

12

(1 , 1)

( 2 )= 2!       2

11 , 1/     1!1!0!      2

ф

3!

1!0!2!     3

6

(2 , 0)

( 2 ) -  2!  - 1

1 2 , 0/ = 2!0!0! = 1

ф

3!

= 0!1!2! = 3

3

Суммируя полученные произведения 3 + 6 + 12 + 6 + 3 = 30 , видим, что результат совпадает с правой частью равенства согласно теореме 2.3, а именно c элементом ( 251 ) = 2ГП2! = 30 .

Следствие 2.5 (Центральные элементы) . При a = b = c = n из теоремы 2.3 получаем

n n-j m\ / 3n — m

3n j, k n - j, n - k n, n

что при m = n дает (3) , а при произвольном m — соотношение (4) .

2.3 Гиперпирамида Паскаля (общий случай)

Перейдем к гиперпирамидам произвольной размерности d .

Теорема 2.6 (Многомерное тождество свертки) . Для любых неотрицательных целых n, m, таких, что m n, и любых целых неотрицательных a i , ..., a d - i , удовлетворяющих условию a i + ... + a d - i n, выполняется равенство:

a 1        a d - 1

m

n - m

n

...

j 1 , ..., j d - 1      a 1 - j 1 , ..., a d - 1 - j d - 1

Доказательство. Рассмотрим d -мерную целочисленную решетку. Число путей из начала координат O = (0 ,..., 0) в точку A = ( a i , ..., a d ) , Ed - 1

i=1 a i , состоящих из n шагов, равно правой части a ,... n ,a    согласно утверждению 1.4 .

Разобьем каждый путь на два последовательных этапа: первые m шагов и следующие n - m шагов. Первый этап заканчивается в точке P = ( j i ,...,j d - i ,m — P d - 1 j i ) . Числа j i должны удовлетворять условиям 0 j i a i для всех i = 1 ,... ,d — 1 и ^P d - i j i < m, иначе соответствующий путь не существует (соответствующие слагаемые в сумме считаются равными нулю).

На втором этапе необходимо сделать a i - j i шагов в i -м направлении для каждого i = 1 ,... ,d — 1 и a d ( m — Р^^ j i ) шагов в d-м направлении.

Число способов пройти первый этап с заданными j , . . . , jd-1 равно m . Число способов пройти второй этап равно      n-m j1,...,jd-1                                                                              a1-j1,...,ad-1-jd-1

Поскольку выбор пути на первом и втором этапах независим, общее число путей, проходящих через точку P , равно произведению этих чисел.

Суммируя полученные произведения по всем возможным значениям j , . . . , jd-1 (от 0 до a , . . . , ad-1 соответственно) и учитывая, что d-1 i=1 ji > m автомати чески равны нулю, получаем общее число всех путей из O в A, что и доказывает равенство (9).

Пример 2.7. Рассмотрим d = 4 , n = 5 , m = 2 , элемент (2 1 1) = 60 .

Вычислим левую часть согласно теореме 2.6:

- 3 1 , 1

- 3 2 , 1

-

j 3

Результаты вычислений представлены в таблице 2 .

Таблица 2. Вычисление левой части для d = 4, n = 5, m = 2, элемента (2 11)

( 3 1 ,3 2 ,3з)

( j l ,j 2 , +)

2 - j 1 1 - 3 j 2 1 - j 3

G 1 , j 2 , j 3 )   ( 2 - j i , 1 - j 2 , 1 -+ )

(0 , 0 , 0)

1

0

0

(0 , 0 , 1)

2

3

6

(0 , 1 , 0)

2

3

6

(0 , 1 , 1)

2

3

6

(1 , 0 , 0)

2

6

12

(1 , 0 , 1)

2

6

12

(1 , 1 , 0)

2

6

12

(1 , 1 , 1)

0

3

0

(2 , 0 , 0)

1

6

6

(2 , 0 , 1)

0

3

0

(2 , 1 , 0)

0

3

0

(2 , 1 , 1)

0

1

0

Суммируя ненулевые вклады, получаем 6+6+6 + 12 + 12 + 12+6 = 60 , что совпадает с элементом (2 1 1) = 2ш1ш = 60 .

Таким образом, все рассмотренные выше тождества являются частными случаями теоремы 2.6 и органично вписываются в единую иерархическую структуру, где каждый следующий уровень (пирамида, гиперпирамида) естественным образом обобщает предыдущий (треугольник, пирамида). Связь полиномиальных коэффициентов с производящими функциями и их обобщения подробно исследованы в [10] .

3    Инверсия индексов и наложение слоев

Введем операцию, позволяющую дать геометрическую интерпретацию тождествам свертки. Для этого необходимо сначала пояснить, как определяются координаты элементов гиперпирамиды Паскаля.

Каждый элемент гиперпирамиды Паскаля размерности d с номером слоя n однозначно задается набором из d — 1 индексов (k1,..., kd-i), которые удовлетворяют условию ki > 0 и Pd-1 ki < n. Недостающий d-й индекс определяется как kd = n — P'-1 ki. Таким образом, элемент гиперпирамиды можно рассматривать как точку в d-мерном пространстве с координатами (ki,..., kd), где последняя координата выражается через остальные. Именно такой набор мы будем называть координатами элемента гиперпирамиды.

Определение 3.1. Рассмотрим элемент гиперпирамиды Паскаля размерности d с координатами ( a i ,..., a d ) , где a d = n — P d i a i . Инверсией индексов называется отображение, действующее на первые d 1 индексов:

I ( a 1 ,...,a d ) : ( kl, . . . , k d - 1 ) ^ ( a 1 kl, . . . , a d - 1 k d - i ) , (10) при этом последний индекс k d = m — P d - 1 k i преобразуется в a d — k d , что согласуется с условием сохранения суммы:

( a 1 k 1 ) + • • • + ( a d - 1 k d - i ) + ( a d k d ) = n m.

Инверсия индексов является аффинным преобразованием ( d — 1) -мерного симплекса, представляющего слой гиперпирамиды. Геометрически это означает, что слой сначала отражается относительно своего центра, а затем сдвигается на вектор v = ( a i ,..., a d 1 ) так, чтобы его образ совпал с исходным симплексом.

Для центральных элементов, у которых все координаты равны между собой ( a i = • • • = a d = n/d ) , инверсия принимает более симметричный вид:

I n/d ( k i ,...,k d - i ) = ( n/d k i ,...,n/d k d - i ) .

В этом случае вектор переноса равен v = ( n/d,... ,n/d ) и преобразование становится центральной симметрией относительно геометрического центра ( d — 1) -мерного симплекса.

Геометрическая интерпретация центральной симметрии для различных размерностей:

  • а)    при d = 2 (слой — отрезок) это отражение относительно центра отрезка;

  • б)    при d = 3 (слой — треугольник) это поворот треугольника на 180 ° в плоскости;

  • в)    при d = 4 (слой — тетраэдр) это преобразование, при котором каждая из четырех вершин переходит в центр противоположной треугольной грани;

  • г)    при d 5 это обобщенное преобразование, меняющее местами вершины и противоположные ( d — 2) -мерные грани многомерного симплекса [1 , 6] .

Рассмотрим два слоя гиперпирамиды: слой m с элементами m k1,...,kd-1 = Ui,...,kd—i и слой n - m с элементами n-m Вк"~,к<-1 = U,...,kd-J.

Применим инверсию ко второму слою, получив

B k 1 ,...,k d - 1 = B I (a 1 ...,ad) (k 1 ,-,k d - 1) =

n-m a 1 - k 1 , . . . , a d - 1 - k d - 1

где невыписанный последний индекс в правой части равен ( n — m ) — E d =i1 ( a i — k i ) = a d ( m — P - -1 k i ) .

Тогда тождество свертки (9) можно переписать как ai      ad-1                               f П \

U ••• E A k i^ k d - i B k i ,...,k d - 1 =  .       _    )•      (11)

k i =o    k d - 1 =0                           aa!,..,^ - 1^

Это означает, что любой элемент гиперпирамиды может быть получен как сумма попарных произведений элементов двух слоев при наложении с инверсией второго слоя. Такая интерпретация будет ключевой для приложений в следующих разделах.

Пример 3.2 (Инверсия и наложение слоев для d = 3 ) . Рассмотрим пирамиду Паскаля размерности d = 3 с параметрами n = 6 , m = 2 . Выберем нецентральный элемент Q6^ = 60 (здесь a i =2 , a 2 = 1 , a 3 = 3 ).

Слой m = 2 содержит элементы A j,k = (kj :

( j, k )

(0 , 0)

(0 , 1)

(0 , 2)

(1 , 0)

(1 , 1)

(2 , 0)

A j,k

1

2

1

2

2

1

Слой n — m = 4 содержит элементы B j,k = Q^). Применим инверсию с вектором переноса v = ( a i , a 2 ) = (2 , 1) :

B 0 , 0 = B I (0 , 0) = B 2 , i =  2 , 1   = 12 ,

B 0 , i = B I (0 , i) = B 2 , 0 = 2 , 0  = 6 ,

B 0 0 , 2 = B I (0 , 2) = B 2 , - i = 0 ,

B 1 , 0 = B i (i , 0) = B 1 , 1 = [1 , J = 12 ,

/ 4 \

B 1 , 1 = B I (1 , 1) = B 1 , 0 =      0j =4 ,

B 2 , 0 = B I (2 , 0) = B0 , 1 = ^ J = 4

Теперь вычислим сумму попарных произведений:

XX A j, k B j, k = 1 12 + 2 6 + 2 12 + 2 4 + 1 4 = 12 + 12 + 24 + 8 + 4 = 60 , j=0 k=0

что в точности равно (26 j = 60 .

Таким образом, элемент Q^) получен как наложение слоя m = 2 и инвертированного слоя n — m = 4 , где инверсия представляет собой аффинное преобразование ( j, k ) н (2 j, 1 — k ) .

Рис. 1. Наложение 2-го слоя на инвертированный слой номер 4

На рисунке 1 хорошо видно, что для элемента A 0 , 2 второго слоя пирамиды Паскаля не нашлось при наложении соответствующего элемента в четвертом слое пирамиды, именно поэтому при инвертировании B 0 2 один из его индексов получился отрицательным и соответствующее слагаемое не внесло вклада в общую сумму.

4    Приложения

Развитая теория сверточных тождеств для структур Паскаля открывает перспективы для различных приложений. Ниже представлен обзор потенциальных областей применения, где геометрическая интерпретация и иерархическая структура гиперпирамид могут дать новые инструменты.

Структуры Паскаля естественно описывают классы комбинаторных объектов: треугольник — для сочетаний, пирамида — для триномиальных коэффициентов, гиперпирамиды — для многомерных композиций. Сверточные тождества дают явные формулы для количества таких объектов.

В области помехоустойчивого кодирования классические коды Рида — Соломона [7] основаны на интерполяции многочленов. Предлагаемый подход использует структуру полиномиальных коэффициентов. Информационное сообщение {x j 1 ,...,j d -1 } размещается в m-м слое гиперпирамиды. Выбираются эталонные элементы E t = (a ( t ) naw ) в n-м слое. Находится набор {y j 1 ,...,j d -1 } из (п — т ) -го слоя после инверсии, удовлетворяющий системе с весовыми функциями w t . Преимущества подхода: целочисленная арифметика, геометрическая наглядность, масштабируемость.

Для криптографического разделения секрета классическая схема Шамира [8] основана на интерполяции многочлена. В предлагаемом подходе секрет S представляется как элемент гиперпирамиды a ,... n ,a Случайное разложение S = ^2 j mjd Jyji.-M-i выбирается для генерации долей. Свойства: существование (теорема 2.6), неединственность (число переменных больше числа уравнений), совершенная секретность. Для пороговой схемы (k, N ) коэффициенты у представляются как значения многочлена степени к — 1 .

В задачах сжатия данных массив {x j 1 ,...,j d -1 } интерпретируется как слой гиперпирамиды размерности d с номером n . Выбирается m < n , данные представляются в виде свертки:

j 1        j d - 1

x j 1 ,

m jd-1-kd-1 .

•"                         )j--ki, ki=o    kd—i=o \ki,...,kd-i/

Хранятся только у с P k i < m, их количество ( m + d ! 1 ) • Коэффициент сжатия: ( n + d -1 )/( m + d -1 ). Схема обратима только при m = п, при m < n дает приближение с контролируемой точностью [5] .

В обработке сигналов биномиальные коэффициенты образуют дискретное приближение гауссиана. Строки треугольника Паскаля используются как сглаживающие фильтры: [1,2,1] — аналог второй производной, [1,3,3,1], [1,4,6,4,1] — фильтры высших порядков. Сверточные тождества позволяют строить иерархические пирамиды изображений с целочисленной арифметикой. Последовательное применение свертки с биномиальным ядром и прореживания дает набор приближений разного масштаба. Инверсия соответствует точному восстановлению. Применения включают сглаживание, шумоподавление, выделение контуров, сегментацию.

В статистике для полиномиального распределения вероятность попадания в область R:

P (( k i ,...,k d ) G R )=

X f \  Vk 1 ••• p d d .

k ,...,k

(k i ,...,k d ) e R 4 1’         d 17

Сверточные тождества позволяют вычислять такие суммы рекуррент-но. Геометрическая интерпретация через пути дает наглядный способ нахождения критических областей для доверительных интервалов и проверки гипотез. Число путей в решетке равно полиномиальному коэффициенту, что позволяет моделировать многомерные случайные блуждания.

В теории связи требуются адаптивные коды с переменной скоростью. Гиперпирамиды Паскаля порождают иерархию таких кодов. При фиксированном n и изменяющемся m получаем семейство вложенных кодов: код с параметром m i является подмножеством кода с m 2 m i . Передача начинается с минимальной избыточности, при ухудшении качества добавляются проверочные символы. Применения включают беспроводную и спутниковую связь, системы хранения с возможностью восстановления при частичной потере данных.

В квантовых вычислениях рекуррентная структура гиперпирамид отображается на квантовые схемы с контролируемыми вентилями. Каждый шаг пути соответствует кубиту, полиномиальный коэффициент — амплитуде базисного состояния. Это позволяет готовить состояния, соответствующие полиномиальным распределениям (например, состояние Грина — суперпозиция всех путей). Сверточные тождества могут быть реализованы как квантовые преобразования Фурье. Инверсия индексов соответствует обращению квантовой схемы. Применения: квантовые алгоритмы Монте-Карло, моделирование случайных процессов.

В машинном обучении гиперпирамиды Паскаля предлагают иерархию комбинаторных признаков. Для классификации текстов важны не только отдельные слова, но и их сочетания. Полиномиальные коэффициенты дают веса для таких сочетаний. Сверточные тождества позволяют вычислять признаки рекуррентно, без полного перебора. Операция наложения слоев с инверсией напоминает сверточные слои в нейросетях, но с фиксированными весами. Применения: анализ текстов, биоинформатика, рекомендательные системы.

Заключение

В работе построена полная иерархия сверточных тождеств для структур Паскаля, от треугольника до гиперпирамид произвольной размерности. Сформулирована и доказана общая теорема 2.6, объединяющая все известные частные случаи. Построена иерархия результатов для размерностей d = 2 и d = 3, демонстрирующая, что классические тождества являются следствиями общей теоремы. Введена операция инверсии индексов, позволяющая интерпретировать свертку как наложение слоев (11). Приведены подробные примеры для каждого уровня иерархии, включая четырехмерный случай. Продемонстрированы приложения полученных результатов в помехоустойчивом кодировании, криптографическом разделении секрета и сжатии данных.

Дальнейшие исследования могут быть направлены на изучение q -аналогов полученных тождеств, а также на применение развитой теории в задачах квантовой информатики и теории кодирования.