Киберсубъектность как фактор профилактики цифровой зависимости: теоретико-эмпирическое исследование (на примере курсантов военного вуза)

Бесплатный доступ

Постановка проблемы. Интенсивная цифровизация всех сфер жизнедеятельности порождает системные риски деформации поведения личности, среди которых особую актуальность приобретает цифровая зависимость. Для представителей профессий с повышенными психоэмоциональными нагрузками и элементами социальной изоляции, таких как военнослужащие, цифровая среда зачастую становится компенсаторным каналом коммуникации, что многократно усиливает риски аддиктивного поведения. Традиционная запретительно-ограничительная парадигма профилактики демонстрирует низкую эффективность, актуализируя потребность в переходе к ресурсной парадигме, направленной на формирование внутренних психологических структур устойчивости. Цель статьи – теоретическое обоснование конструкта «киберсубъектность» и первичная эмпирическая проверка его роли как фактора профилактики цифровой зависимости на примере курсантов военного вуза. Методология (материалы и методы). Методологическую основу составили системный и субъектный подходы. Исследование проведено в два этапа. На теоретико-моделирующем этапе применены методы анализа литературы, сравнительного анализа и теоретического синтеза. На эмпирико-верификационном этапе использован сравнительный (кросс-секциональный) дизайн. Выборку составили 124 курсанта военного вуза (62 первокурсника и 62 пятикурсника). Применялись методики: «Незащищенность от манипуляций» В.П. Шейнова и «Шкала зависимости от смартфона». Использовались t-критерий Стьюдента и коэффициент корреляции Пирсона. Результаты исследования. Выявлены статистически значимые различия между курсантами 1-го и 5-го курсов. У пятикурсников значимо ниже показатели незащищенности от манипуляций (t(122)=10,56; p<0,001) и зависимости от смартфона (t(122)=5,55; p<0,001). Установлена положительная корреляционная связь умеренной силы между незащищенностью от манипуляций и уровнем цифровой зависимости в общей выборке (r=0,42; p<0,001). Заключение. Теоретический вклад работы заключается в критическом синтезе зарубежных концепций и разработке интегративной модели киберсубъектности как системного свойства личности, синтезирующего мотивационно-волевую, когнитивную и поведенческую составляющие. Модель служит основой для перехода к ресурсной парадигме профилактики. Эмпирический вклад состоит в получении первых данных, подтверждающих, что когнитивный компонент киберсубъектности развивается в процессе профессионального обучения и статистически значимо связан с более низким уровнем цифровой зависимости.

Еще

Киберсубъектность, цифровая зависимость, профилактика, курсанты, критическая цифровая грамотность, цифровая агентность, самоопределение

Короткий адрес: https://sciup.org/144163672

IDR: 144163672   |   УДК: 159.9:004

Cybersubjectness as a factor in digital addiction prevention: theoretical and empirical study (on the example of military university cadets)

Statement of the problem. Intensive digitalization of all spheres of life generates systemic risks of behavioral deformation, among which digital addiction is of particular relevance. For representatives of professions with increased psycho-emotional stress and elements of social isolation, such as military personnel, the digital environment often becomes a compensatory channel of communication, which multiplies the risks of addictive behavior. The traditional prohibitive-restrictive prevention paradigm demonstrates low effectiveness, updating the need to transition to a resource paradigm aimed at forming internal psychological structures of resilience. The purpose of the article is to substantiate the construct of ‘cybersubjectness’ and the primary empirical verification of its role as a factor in the prevention of digital addiction using the example of military university cadets. Methodology (materials and methods). The methodological basis was formed by systemic and subject-oriented approaches. The study was conducted via two stages. At the theoretical and modeling stage, methods of literature analysis, comparative analysis and theoretical synthesis were applied. At the empirical verification stage, a comparative (cross-sectional) design was used. The sample consisted of 124 cadets of a military university (62 first-year and 62 fifth-year cadets). The following methods were used: V.P. Sheinov’s “Susceptibility to Manipulation” and “Smartphone Addiction Scale”. Student’s t-test and Pearson’s correlation coefficient were used. Research results. Statistically significant differences were found between the 1st and 5th year cadets. The fifth-year cadets have significantly lower scores on susceptibility to manipulation (t(122)=10,56; p<0,001) and smartphone addiction (t(122)=5,55; p<0,001). A positive correlation of moderate strength was established between susceptibility to manipulation and the level of digital addiction in the total sample (r=0,42; p<0,001). Conclusion. The theoretical contribution of the work lies in the critical synthesis of foreign concepts and the development of an integrative model of cybersubjectness as a systemic property of a person, synthesizing motivational-volitional, cognitive and behavioral components. The model serves as a basis for the transition to a resource prevention paradigm. The empirical contribution consists in obtaining the first data confirming that the cognitive component of cybersubjectness develops in the process of professional training and is statistically significantly associated with a lower level of digital addiction.

Еще

Текст научной статьи Киберсубъектность как фактор профилактики цифровой зависимости: теоретико-эмпирическое исследование (на примере курсантов военного вуза)

а с другой - порождает системные риски деформации поведения личности [Карабанова и др., 2024]. В условиях современного информационно-психологического противоборства, обозначенного в стратегических и доктринальных

документах Российской Федерации1,2, особую актуальность приобретает проблема цифровой зависимости как одной из наиболее распространенных и психологически деструктивных форм взаимодействия с цифровой средой, требующих специальной адаптации личности [Солдатова и др., 2017]. Для представителей профессий с повышенными психоэмоциональными нагрузками и элементами вынужденной социальной изоляции, к которым относятся военнослужащие, цифровая среда зачастую становится компенсаторным, а иногда и единственным доступным каналом коммуникации и рекреации, что многократно усиливает риски формирования аддик-тивного поведения3.

Сложившаяся традиционная запретительно-ограничительная парадигма профилактики, фокусирующаяся на внешнем контроле и ограничении доступа, демонстрирует низкую эффективность в долгосрочной перспективе. Это актуализирует насущную потребность в переходе к ресурсной, развивающей парадигме, направленной на формирование у личности внутренних психологических структур, обеспечивающих устойчивость к цифровым угрозам. В качестве такой интегральной, системообразующей структуры в данном исследовании обосновывается конструкт киберсубъектности. Киберсубъектность позиционируется нами не как простая сумма цифровых навыков, а как частное проявление общей субъектности личности в специфических условиях цифровой среды, где мотивационно-волевое ядро, опирающееся на ценностно-этические основания [Кант, 1965; Бахтин, 1986], выполняет системообразующую функцию. Формирование такого качества особенно критично в условиях «надзорного капитализма» [Зубофф, 2025], когда цифровые платформы эксплуатируют психологические уязвимости пользователей, превращая их внимание и данные в товар, что создает системный вызов для психологической безопасности личности, в том числе в образовательной среде военных вузов.

Проблема исследования заключается в теоретической и методологической разрозненности научных подходов к пониманию и развитию качеств личности, обеспечивающих ее устойчивость к цифровой зависимости. Несмотря на традиционность проблемы зависимого поведения для психологической науки [Войскунский, 2010], феномен цифровой зависимости, а также ресурсный подход к ее предупреждению через целенаправленное развитие личностных характеристик остаются малоизученными, особенно в контексте специфических профессиональных групп. В современной зарубежной науке проблема также фрагментирована, что выражается в наличии ряда концепций (digital agency, selfdetermination theory, critical digital literacy), изучающих отдельные аспекты взаимодействия личности с цифровой средой [Brand et al., 2019]. Проведенный анализ показывает, что каждый из этих конструктов, обладая объяснительным потенциалом, имеет и существенные ограничения, не позволяющие ему в отдельности выступить целостной основой для профилактики цифровой зависимости. В связи с этим возникает необходимость в их системном синтезе, укорененном в методологически прочном фундаменте. Однако предложенная интегративная модель киберсубъектности требует не только теоретического обоснования, но и первичной эмпирической проверки своих базовых положений на конкретных профессиональных группах, в частности на курсантах военных вузов.

Цель статьи – теоретическое обоснование конструкта «киберсубъектность» и первичная эмпирическая проверка интегративной модели киберсубъектности как фактора профилактики цифровой зависимости на примере курсантов военного вуза.

В соответствии с целью определены задачи исследования:

  • 1)    провести сравнительный анализ зарубежных подходов к изучению активности личности в цифровой среде, выявив их сильные стороны и ограничения;

  • 2)    на основе синтеза выявленных данных и с опорой на отечественную теорию субъектности систематизировать компоненты киберсубъектности и разработать ее интегративную модель;

  • 3)    провести сравнительное исследование уровня защищенности от манипуляций (как обратного индикатора когнитивного компонента) и выраженности цифровой зависимости у курсантов 1-го и 5-го курсов;

  • 4)    выявить взаимосвязь между показателями незащищенности от манипулятивных воздействий и уровнем цифровой зависимости в общей выборке.

Обзор научной литературы проведен на основе анализа фундаментальных отечественных работ в области психологии субъекта [Бруш-линский, 1991; 2003; Войскунский, 2010], современных зарубежных концепций цифровой активности и грамотности [Ito et al., 2010; Ryan, Deci, 2000; Lankshear, Knobel, 2008; Gee, 2015], исследований цифровизации и ее рисков [Солдатова и др., 2017; Зубофф, 2025; Карабанова и др., 2024], а также предшествующих разработок автора по проблеме киберсубъектности [Новиков, Сабуров, 2025; Сабуров, Большунова, 2025а; 2025б]. Этот анализ позволяет утверждать, что, несмотря на отсутствие в зарубежной научной лексике прямого терминологического аналога «киберсубъектности», его смысловое содержание раскрывается через ряд активно разрабатываемых конструктов, которые находятся в отношениях взаимодополнения, но не покрывают проблему цифровой зависимости системно.

Концепция «Digital Agency» (Цифровая активность). Данный конструкт, активно развиваемый в трудах М. Ито, Л. Грин, С. Ливингстоун [Ito et al., 2010; Livingstone, Helsper, 2010], акцентирует активную, преобразующую роль индивида в цифровой среде. Агентность проявляется в способности не только потреблять, но и создавать контент, участвовать в цифровых сообществах и трансформировать медийные практики под свои цели. Ключевыми компонентами выступают: техническая компетентность, критическое понимание и коммуникативное участие. Сильной стороной данного подхода является его ориентация на развитие компетенций, востребованных в «культуре участия» (participatory culture). Однако его принципиальным ограничением применительно к нашей проблеме является слабая связь с проблематикой зависимого поведения. Концепция описывает, как человек может эффективно действовать онлайн, но не отвечает на вопрос, почему он выбирает активную, а не пассивно зависимую позицию. Она не затрагивает глубинные мотивационные механизмы, оставляя за скобками вопрос о том, что препятствует проявлению агентности у уязвимых групп.

Концепция «Self-Determination Theory» в контексте киберпсихологической автономии. Фундаментальная теория Р. Райана и Э. Деси [Ryan, Deci, 2000] и ее применение к поведенческим зависимостям М. Гриффитсом [Griffiths, 2005] позволяют выделить мотивационно-волевое ядро киберсубъектности. Киберпсихологи-ческая автономия понимается как способность личности действовать в цифровой среде на основе внутренне организованной мотивации (удовлетворение потребностей в автономии, компетентности и связанности), а не в ответ на внешние стимулы (уведомления, алгоритмы, бесконечная лента), эксплуатирующие психологические уязвимости. Этот компонент напрямую связан с саморегуляцией, контролем побуждений и целеполаганием. Сила подхода – в его объяснительном потенциале относительно причин пассивного, зависимого поведения. Ограничение – в его фокусе преимущественно на внутренних процессах, без достаточной операцио-нализации внешних, поведенческих проявлений активности и компетенций, необходимых для такой автономии в сложной цифровой среде.

Концепция «Critical Digital Literacy» (Критическая цифровая грамотность). Разрабатываемая такими авторами, как С. Лэнкшир и Дж.П. Ги [Lankshear, Knobel, 2008; Gee, 2015], данная концепция формирует когнитивный фундамент киберсубъектности. Она выходит за рамки технических навыков и понимается как способность к критическому анализу, оценке достоверности и идеологической подоплеки цифрового контента, распознаванию манипулятивных техник и рефлексии собственных цифровых практик. Это ключевой инструмент децентрации пользователя от манипулятивных интерфейсов. Сильная сторона – в ее прямой нацеленности на противодействие информационно-психологическим угрозам. Слабость – в ее недостаточном внимании к мотивационно-волевому аспекту: человек может обладать критическим мышлением, но при этом не иметь внутренних ресурсов для саморегуляции, чтобы противостоять, например, прокрастинации через бесконечный скроллинг.

Таблица 1

Систематизация зарубежных конструктов, релевантных киберсубъектности

Systematization of foreign constructs relevant to cybersubjectivity

Table 1

Конструкт/Критерий Construct/Criterion

Digital Agency (Цифровая активность)

Self-Determination Theory (Киберпсихологическая автономия )

Critical Digital Literacy (Критическая цифровая грамотность)

Основной фокус Main focus

Внешняя, поведенческая активность, компетентность

External, behavioral activity, competence

Внутренняя, мотивационно-волевая регуляция Internal, motivational-volitional regulation

Когнитивная, критико-аналитическая деятельность Cognitive, critical-analytical activity

Ключевые авторы Main focus

Ito, Green, Livingstone

Ryan, Deci, Griffiths

Lankshear, Gee

Сильные стороны

Strengths

Описывает инструменты для преобразования среды

Describes tools for transforming the environment

Объясняет внутренние причины зависимого/ав-тономного поведения Explains the internal causes of dependent/autonomous behavior

Дает инструменты

для защиты от манипуляций и дезинформации Provides tools for protection against manipulation and disinformation

Ограничения в контексте профилактики зависимости Limitations in the context of dependence prevention

Не объясняет мотивационные барьеры для проявления активности Does not explain motivational barriers to activity

Слабо операционализи-рует внешние поведенческие компетенции Poorly operationalizes external behavioral competencies

Не затрагивает проблемы саморегуляции и волевого контроля

Does not address problems of self-regulation and volitional control

Вклад в модель киберсубъектности Contribution to the cybersubjectivity model

Активная позиция (поведенческий компонент) Active position (behavioral component)

Самоорганизация и ценностно-смысловая сфера (мотивационный компонент)

Self-organization and value-meaning sphere (motivational component)

Критическое мышление (когнитивный компонент) Critical thinking (cognitive component)

Сравнительный итог. Ни один из рассмотренных конструктов не охватывает феномен киберсубъектности во всей его полноте. Они описывают различные, хотя и взаимосвязанные грани целого: поведенческую активность (Digital Agency), мотивационно-волевую регуляцию (Self-Determination Theory) и когнитивный инструментарий (Critical Digital Literacy). Их синтез в единой модели позволяет преодолеть ограничения каждого в отдельности и создать целостный теоретический конструкт.

Конструкт «киберсубъектность» имеет прочные теоретико-методологические основания в отечественной психолого-педагогической науке. Прежде всего, он укоренен в фундаментальной для отечественной психологии категории субъекта, разработанной С.Л. Рубинштейном и развитой в трудах К.А. Абульхановой, А.В. Брушлин-ского, В.И. Слободчикова [Брушлинский, 1991, 2003]. В рамках субъектного подхода личность понимается не как пассивный продукт обстоятельств, а как активный, сознательный, способный к творческой самодеятельности и несущий ответственность субъект бытия, «причина себя» (С.Л. Рубинштейн). Субъектность рассматривается как системное качество, первичное по отношению к отдельным компетенциям. Таким образом, киберсубъектность позиционируется нами не как простая сумма цифровых навыков, а как частное проявление общей субъектности личности в специфических условиях цифровой среды, где мотивационно-волевое ядро выполняет системообразующую функцию.

Кроме того, проблема зависимого поведения, в том числе в сети Интернет, является традиционной для отечественной психологической науки. Изучению психологии интернета и разработке методов диагностики интернет-за-висимого поведения посвящены работы ряда исследователей4 [Войскунский, 2010]. Важным теоретическим положением для нашего исследования является вывод Н.Я. Большуновой о том, что цифровая зависимость сопровождается утратой субъектности и деиндивидуализацией [Большунова и др., 2025]. Вместе с тем феномен цифровой зависимости применительно к военнослужащим, а также ресурсный подход к ее предупреждению через целенаправленное развитие киберсубъектности в образовательном процессе остаются малоизученными.

Важным контекстом для понимания ответственности киберсубъекта является этико-философское измерение. Работы, обращающиеся к этическим основаниям деятельности в цифровой среде [Новиков, Сабуров, 2025], а также фундаментальные философские идеи о моральном законе и поступке [Кант, 1965; Бахтин, 1986] задают ценностно-смысловые ориентиры для мотивационно-волевого ядра модели, связывая внутреннюю автономию с ответственностью за последствия своих действий в киберпространстве. Эмпирические исследования цифрового поколения России также подтверждают необходимость развития именно комплексных компетенций, сочетающих безопасность и активность [Солдатова и др., 2017]. Применительно к военному контексту формирование киберсубъектности рассматривается как ключевой ресурс психологического благополучия и фактор противодействия информационным угрозам [Сабуров, Большунова, 2025а; 2025б].

Таким образом, предлагаемая концепция киберсубъектности призвана заполнить существующий теоретический пробел, синтезируя классические отечественные представления о субъектности с современными зарубежными наработками в области цифровой активности, обогащенными этико-философским и социально-критическим анализом цифровой среды. Визуальная репрезентация предложенной интегративной модели, отражающая взаимосвязь и системный характер ее компонентов, представлена на рис. 1.

Методология (материалы и методы). Методологическую основу исследования составили:

  • 1)    системный подход, позволивший рассмотреть киберсубъектность как комплексное системное образование;

  • 2)    субъектный подход (в традиции С.Л. Рубинштейна), акцентирующий активную, преобразующую роль личности в цифровой среде.

Исследование проводилось в два взаимосвязанных этапа, отражающих логику движения от теории к эмпирической верификации.

Рис. 1. Интегративная модель киберсубъектности личности Fig. 1. Integrative model of personal cybersubjectivity

Первый этап (теоретико-моделирующий) был направлен на разработку интегративной модели киберсубъектности. Его логика включала последовательную реализацию следующих шагов с применением соответствующих теоретических методов:

  • 1)    поиск и отбор релевантных зарубежных и отечественных публикаций (метод анализа литературы);

  • 2)    содержательный анализ и декомпозиция ключевых концепций (digital agency, selfdetermination theory, critical digital literacy);

  • 3)    сравнительный анализ выявленных подходов для определения их сильных сторон, ограничений и взаимодополняемости;

  • 4)    синтез и теоретическое моделирование – интеграция ключевых элементов в целостную модель киберсубъектности.

Второй этап (эмпирико-верификационный) был нацелен на первичную проверку работоспособности модели и ее связи с цифровой зависимостью. В рамках данной статьи представлены результаты его начальной части – кросс-секционного исследования, сфокусированного на проверке когнитивного компонента модели (критической цифровой грамотности). На этом этапе были применены следующие эмпирические методы:

  • 1)    психодиагностическое тестирование с использованием стандартизированных опросников

для операционализации переменных (незащищенность от манипуляций как обратный индикатор когнитивного компонента и уровень цифровой зависимости);

  • 2)    статистический анализ данных (t-критерий Стьюдента, коэффициент корреляции Пирсона) для проверки выдвинутых гипотез.

Методика эмпирического исследования. Для первичной проверки теоретической модели и подтверждения ее работоспособности было организовано эмпирическое исследование, сфокусированное на анализе одного из ключевых компонентов киберсубъектности - когнитивного. В качестве его операционального индикатора была выбрана «защищенность от манипуляций», поскольку критическое мышление и рефлексия напрямую связаны с сопротивляемостью манипулятивным техникам, широко используемым в цифровой среде для формирования зависимого поведения. Таким образом, незащищенность от манипуляций рассматривается как обратный индикатор сформированности когнитивного компонента.

Эмпирическая часть исследования выполнена в рамках сравнительного (кросс-секциональный) дизайна и направлена на проверку гипотезы о взаимосвязи между когнитивным компонентом киберсубъектности и уровнем цифровой зависимости.

Выборка. В исследовании приняли участие 124 курсанта военного вуза, разделенные на две независимые группы. Группа 1: 62 курсанта 1-го курса (средний возраст M = 18,5 лет, SD = 0,6). Группа 2: 62 курсанта 5-го курса (средний возраст M = 22,3 года, SD = 0,8). Все респонденты являются юношами. Выборка сформирована методом целевого отбора. Анкетирование проводилось анонимно в групповом формате в аудиторных условиях с предварительным информированием о целях исследования.

Методический инструментарий. Для диагностики переменных использовались две стандартизированные методики.

  • 1.    Короткая версия опросника «Незащищенность от манипуляций» (ВМ-16) [Шейнов, 2022]. Методика оценивает склонность личности

  • 2.    Короткая версия опросника «Шкала зависимости от смартфона» (адаптация) [Шейнов, 2021]. Методика предназначена для скрининга симптомов поведенческой аддикции. Содержит 16 утверждений, оцениваемых по 4-балльной шкале. Более высокий суммарный балл указывает на более выраженную симптоматику зависимости. В данной выборке надежность методики составила α = 0,79.

поддаваться манипулятивным воздействиям в повседневных ситуациях межличностного взаимодействия. Состоит из 16 ситуационных вопросов с выбором одного из трех ответов. Более высокий суммарный балл отражает большую незащищенность от манипуляций. В данном исследовании показатель надежности-согласованности (α Кронбаха) составил 0,80.

Методы статистической обработки. Статистическая обработка данных включала проверку распределений на соответствие нормальному закону, сравнение групп с помощью t-критерия Стьюдента для независимых выборок и расчет коэффициента корреляции Пирсона (r). Уровень статистической значимости принят p < 0,05. Обработка проводилась в программе Microsoft Excel с использованием пакета анализа.

Результаты исследования. Сравнительный анализ показателей курсантов 1-го и 5-го курсов. Для проверки гипотезы о различиях между группами был применен t-критерий Стьюдента для независимых выборок. Результаты сравнительного анализа представлены в табл. 2.

Как показано в табл. 2, у курсантов 5-го курса средний балл по шкале «Незащищенность от манипуляций» статистически значимо ниже, чем у первокурсников. Аналогичная картина наблюдается для показателя «Зависимость от смартфона»: у выпускников уровень зависимости значимо ниже. Полученные данные подтверждают первую часть рабочей гипотезы о наличии различий между курсантами разных курсов.

Величина эффекта Коэна (d) для различий между группами составила d = 1,84 для незащищенности от манипуляций и d = 0,94 для зависимости от смартфона, что соответствует большому

Таблица 2

Сравнительный анализ показателей незащищенности от манипуляций и цифровой зависимости у курсантов 1-го и 5-го курсов

Table 2

Comparative analysis of indicators of susceptibility to manipulation and digital addiction among 1st and 5th year cadets

Показатель/Indicator Курсанты 1-го курса (n = 62) Курсанты 5-го курса (n = 62) t-критерий/ t-value (df=122) p (уровень значимости) / p (significance level) 1. Незащищенность от манипуляций/ Susceptibility to manipulation 21,66 ± 4,43 14,24 ± 3,52 t(122) = 10,56 p < 0,001 2. Зависимость от смартфона/ Smartphone addiction 14,58 ± 5,15 10,40 ± 3,86 t(122) = 5,55 p < 0,001 эффекту согласно общепринятым интерпретациям Дж. Коэна. Это свидетельствует о выраженном влиянии фактора профессионального обучения и личностного становления на развитие когнитивного компонента киберсубъектности и сопутствующее снижение риска цифровой зависимости. Наглядно динамика средних значений по группам представлена на рис. 2.

Сравнение средних значений показателей

Рис. 2. Сравнительная диаграмма средних значений показателей

Fig. 2. Comparative diagram of mean indicator values

Анализ взаимосвязи незащищенности от манипуляций и цифровой зависимости. Для проверки гипотезы о взаимосвязи был рассчитан коэффициент корреляции Пирсона (r) между показателями в общей выборке (N = 124). Корреляционный анализ выявил статистически значимую положительную связь умеренной силы между уровнем незащищенности от манипуляций и выраженностью зависимости от смартфона: r = 0,42, p < 0,001 (95 % доверительный интервал: 0,26–0,56). Это означает, что чем выше у курсанта склонность поддаваться манипулятивным воздействиям, тем выше у него уровень симптоматики цифровой зависимости. Коэффициент детерминации R² = 0,18 свидетельствует, что вариабельность показателя незащищенности от манипуляций объясняет 18 % дисперсии в уровне цифровой зависимости. Такая величина объясненной дисперсии соответствует типичным значениям в психолого-педагогических исследованиях сложно детерминированных феноменов и подтверждает теоретическое предположение о значимости когнитивного компонента киберсубъектности (критической цифровой грамотности) для профилактики зависимого поведения в цифровой среде.

Обсуждение результатов. Выявленные статистически значимые различия между курсантами 1-го и 5-го курсов, а также прямая корреляция между незащищенностью от манипуляций и уровнем цифровой зависимости подтверждают теоретическое предположение о том, что когнитивный компонент киберсубъ-

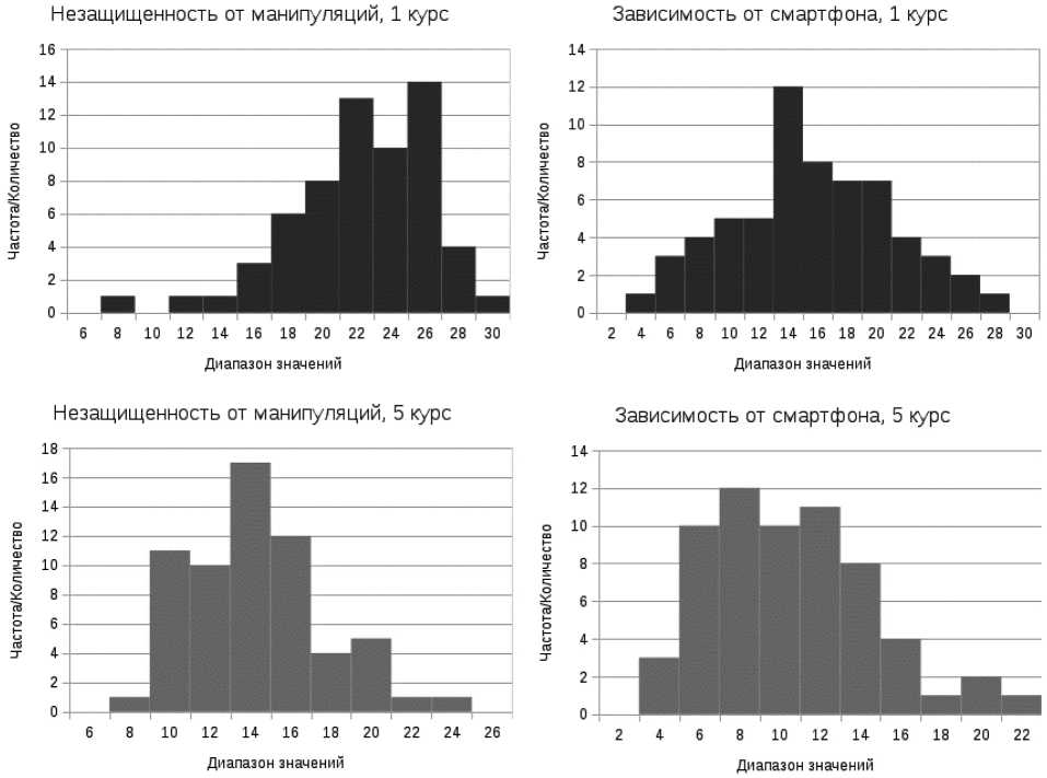
Рис. 3. Гистограммы распределения показателей незащищенности от манипуляций и зависимости от смартфона в группах курсантов

Fig. 3. Histograms of distribution for indicators of susceptibility to manipulation and smartphone addiction in cadet groups

Визуальный анализ гистограмм показывает, что распределения всех показателей приближаются к нормальному, что оправдывает использование выбранных методов.

Полученные данные согласуются с положениями концепции «critical digital literacy» о том, что способность к критическому анализу и распознаванию манипуляций выступает ключевым инструментом децентрации от зависимостогенных интерфейсов цифровой среды, которые спроектированы для максимизации вовлеченности ектности является значимым фактором профилактики зависимого поведения в цифровой среде. Для проверки предпосылок применения параметрических методов и углубленного анализа структуры данных были построены гистограммы распределения показателей по каждой группе (рис. 3).

и захвата времени пользователя [Lankshear, Knobel, 2008; Gee, 2015; Livingstone, Helsper, 2010].

Полученные результаты позволяют выдвинуть обоснованное предположение о том, что в процессе профессионального обучения и воспитания в военном вузе у курсантов происходит развитие критического мышления, рефлексивных способностей и, как следствие, повышается сопротивляемость манипулятивным воздействиям. Это, в свою очередь, создает когнитивный барьер на пути формирования

автоматизированных, нерефлексивных паттернов взаимодействия со смартфоном и цифровыми сервисами, лежащих в основе поведенческой аддикции [Griffiths, 2005; Bandura, 2001]. Выявленная положительная динамика может быть связана как с естественным процессом личностного созревания и накопления жизненного опыта, так и со спецификой образовательной среды военного вуза, которая традиционно уделяет внимание дисциплине, самоорганизации и формированию критического восприятия информации в контексте информационно-психологической безопасности5,6 [Сабуров, Большунова, 2025а].

Важно подчеркнуть, что на данном этапе проверен лишь один, хотя и ключевой, компонент предложенной интегративной модели. Логика модели предполагает, что максимальный профилактический эффект достигается при синхронном развитии всех трех компонентов: когнитивная грамотность без сформированного мотивационно-волевого ядра (киберпсихоло-гической автономии) может остаться невостребованной в ситуации эмоционального дискомфорта или скуки, а поведенческая активность (агентность) без критической рефлексии может быть небезопасной или неэффективной. Таким образом, выявленная связь является важным, но не исчерпывающим доказательством работоспособности модели в целом.

Заключение. Теоретический вклад исследования заключается в следующем.

  • 1.    На основе сравнительного анализа зарубежных концепций (digital agency, self-determination theory, critical digital literacy) и с опорой на отечественную традицию субъектного подхода осуществлен их критический синтез,

    • 5    Об утверждении Доктрины информационной безопасности Российской Федерации: указ Президента Рос. Федерации от 5 декабря 2016 г. № 646 // Собр. законодательства Рос. Федерации. 2016. № 50, ст. 7074. URL: http:// publication.pravo.gov.ru/document/0001201612060002 (дата обращения: 20.01.2026).

    • 6    Экстремальная психология в экстремальном мире: матер. I Междунар. молодеж. науч. форума / под ред. А.В. Кокурина, В.И. Екимовой, В.Е. Петрова, В.М. Позднякова. М.: МГППУ, 2019. 358 с. URL: https://elibrary.ru/item . asp?id=41578091 (дата обращения: 20.01.2026).

  • 2.    Для преодоления этих ограничений предложена оригинальная интегративная модель киберсубъектности, понимаемой как системное свойство личности, синтезирующее мотивационно-волевую (автономия), когнитивную (критическая грамотность) и поведенческую (агент-ность) составляющие для занятия активной, осознанной и ответственной позиции субъекта в киберпространстве.

  • 3.    Данная модель позиционируется как теоретическая основа для практического перехода от репрессивной, запретительной парадигмы профилактики к развивающей, ресурсной парадигме, делающей акцент на целенаправленном формировании внутренних психологических качеств личности, обеспечивающих устойчивость к цифровым угрозам, что обосновывает ее особую практическую значимость для системы профессиональной подготовки военных кадров в условиях цифровой трансформации.

выявлены содержательные ограничения каждого подхода при рассмотрении в отрыве от других в контексте профилактики цифровой зависимости. Теоретическая модель получила расширенное этико-философское и социально-критическое обоснование, что позволило конкретизировать ценностно-смысловое содержание мотивационно-волевого компонента (киберпсихологи-ческой автономии).

Эмпирический вклад настоящего исследования состоит в получении первых проверяемых данных, подтверждающих ключевые положения модели на релевантной выборке курсантов военного вуза.

  • 1.    В результате сравнительного анализа установлены статистически значимые различия между курсантами 1-го и 5-го курсов по уровню защищенности от манипуляций (обратный показатель когнитивного компонента) и выраженности зависимости от смартфона. Это может свидетельствовать о положительной динамике развития компонентов киберсубъектности в процессе профессионального обучения и социализации.

  • 2.    Эмпирически доказана положительная корреляционная связь умеренной силы между показателем незащищенности от манипуляций

и уровнем цифровой зависимости. Этот результат является прямым статистическим подтверждением центрального тезиса о том, что несформиро-ванность когнитивной составляющей киберсубъектности выступает значимым фактором риска развития цифрового аддиктивного поведения.

Авторский вклад заключается в концептуализации исследования, разработке теоретической модели, планировании и организации эмпирической части, сборе и статистической обработке данных, анализе и интерпретации результатов, написании исходного текста статьи, окончательном оформлении рукописи в соответствии с требованиями журнала.

Теоретическая и практическая значимость работы определяется тем, что она закладывает научные основания для разработки конкретных психолого-педагогических технологий и образовательных модулей, направленных на формирование киберсубъектности в учебном процессе военных вузов. Такая работа может стать условием не только профилактики цифровой зависимости, но и укрепления информационно-психологической безопасности, повышения общей надежности и психологической устойчивости будущих офицеров. Перспективными направлениями дальнейших исследований являются: разработка комплексного диагностического инструментария для оценки всех компонентов киберсубъектности; организация лонгитюдного исследования для установления причинно-следственных связей; разработка и экспериментальная апробация целостной программы формирования киберсубъектности у курсантов.