Перекрестные наводки в двухпроводном модальном фильтре на двухсторонней печатной плате при воздействии сверхкороткого импульса в схемной земле с разными граничными условиями

Автор: Газизов Т.Р., Юсаф М.Д.

Журнал: Физика волновых процессов и радиотехнические системы @journal-pwp

Статья в выпуске: 4 т.28, 2025 года.

Бесплатный доступ

Обоснование. Исследуются преднамеренные электромагнитные воздействия в схемной земле. Рассматривается запатентованный модальный фильтр, отличающийся наличием двух сигнальных сильно связанных проводников и двух проводников схемной земли. Моделируется кондуктивное воздействие сверхкороткого импульса в схемной земле этого модального фильтра. Цель. Оценка уровней перекрестных помех на ближнем и дальнем концах модального фильтра. Методы. Квазистатическое моделирование временного отклика в частотной области модифицированным узловым методом с использованием метода моментов для вычисления матриц погонных параметров многопроводной линии передачи. Результаты. Приведены формы напряжения в активном и пассивном проводниках модального фильтра длиной 1,5 м с разными граничными условиями на концах активного проводника. Показано, что без учета потерь уровень перекрестных наводок достигает 34 % на ближнем конце модального фильтра и –55 % на дальнем относительно половины амплитуды электродвижущей силы воздействия сверхкоротким импульсом общей длительностью 3 нс. Заключение. Результаты показали, что воздействие сверхкороткого импульса в одном проводнике схемной земли относительно другого генератором с малым внутренним сопротивлением может удвоить уровни перекрестных помех в сигнальных проводниках модального фильтра. Эти уровни могуть достигать четверти амплитуды электродвижущей силы воздействия. Целесообразна оценка угрозы таких воздействий для подобных структур.

Еще

Перекрестная наводка, квазистатический анализ, схемная земля, преднамеренная электромагнитная помеха, сверхкороткий импульс, модальный фильтр

Короткий адрес: https://sciup.org/140313455

IDR: 140313455   |   УДК: 621.372.22   |   DOI: 10.18469/1810-3189.2025.28.4.44-49

Crosstalk in a two-conductor modal filter on a double-sided PCB excited by an ultra-short pulse in a circuit ground with different boundary conditions

Background. Intentional electromagnetic excitations in the circuit ground are investigated. A patented modal filter characterized by two signal strongly coupled conductors and two circuit ground conductors is considered. The conductive excitation of an ultra-short pulse (USP) in the circuit ground of this modal filter is modeled. Aim. Assessment of the levels of crosstalk at the near and far ends of the modal filter when it is excited by a USP in the circuit ground. Methods. Quasi-static modeling of the time response in the frequency domain by a modified nodal method using the method of moments to calculate the matrices of per-unit-length parameters of a multi-wire transmission line. Results. The voltage waveforms in the active and passive conductors of the modal filter with different boundary conditions at the ends of the active conductor demonstrate that without taking into account losses the crosstalk level reaches 34 % at the near end of the modal filter and minus 55 % at the far end, relative to half of the amplitude of the electromotive force of the USP excitation with duration of 3 ns. Conclusion. The results indicate that the USP excitation in one circuit ground conductor relative to another, produced by a generator with a low internal resistance, can double the levels of crosstalk in the modal filter signal conductors. These levels can reach quarter of the excitation electromotive force amplitude. Therefore, it is recommended to assess the threat of such interference to similar structures.

Еще

Текст научной статьи Перекрестные наводки в двухпроводном модальном фильтре на двухсторонней печатной плате при воздействии сверхкороткого импульса в схемной земле с разными граничными условиями

Расширение использования радиоэлектронных средств и рост плотности их размещения и монтажа, а также верхней частоты спектра полезных и помеховых сигналов обостряют проблему электромагнитной совместимости (ЭМС) [1]. В частности, в последние десятилетия активно исследуется защита от преднамеренных силовых электромагнитных воздействий (ПДЭМВ), создаваемых электромагнитным полем, по проводным линиям связи, сети электропитания и металлоконструкциям [2]. Последние два пути затрагивают ПДЭМВ в схемной земле, что мало исследовано, но актуально исследовать более детально, чтобы оценить опасность возможных угроз. Предварительные подходы к решению этой проблемы представлены в докладе [3], где обращено особое внимание на процессы в линиях передачи. Действительно, на основе даже одиночных линий создают различные устройства, например исследованные в [4; 5]. Между тем связанные и многопроводные линии гораздо сложнее и позволяют создавать другие или подобные устройства с более высокими характеристиками. В частности, в докладе [3] предложено рассмотреть новый модальный фильтр (МФ) [6], отличающийся наличием сильно связанных проводников. Он очень мало исследован, а такая его редкая особенность, как сильные электромагнитные связи между сигнальными и доступными (наружными) проводниками схемной земли, делает актуальным исследование перекрестных наводок в сигнальных проводниках при кондуктивном воздействии ПДЭМВ в проводниках схемной земли. Например, рассмотрен сверхкороткий импульс (СКИ) в качестве доступного кондуктивного воздействия на один проводник схемной земли относительно другого. При этом моделирование без учета потерь дало перекрестную помеху высокого уровня (минус 13,7 %) на дальнем конце [6]. Однако на концах проводника, подверженного воздействию, полагались резисторы 115 Ом. Для выявления более опасных угроз целесообраз-

Рис. 1. Поперечное сечение ( а ) и схема моделирования ( б ) МФ

Fig. 1. Cross-section ( a ) and modeling scheme ( b ) of the MF

но рассмотреть этот МФ с разными граничными условиями. Цель работы – восполнить этот пробел.

1. Исходные данные для моделирования

Для моделирования взят МФ из [6] (рис. 1, а ) с параметрами: относительная диэлектрическая проницаемость подложки s r = 4,5, толщина подложки h = 1 мм, толщина проводников t = 18 мкм, расстояние между проводниками S i = 0,5 мм, ширина проводников w = 1,5 мм.

Потери в проводниках и диэлектриках в пробном моделировании не учитывались. Поэтому матрицы погонных сопротивлений ( R ) и проводимостей ( G ) полагаются нулевыми. Матрицы погонных коэффициентов электромагнитной (L) и электростатической (C) индукции для этой структуры вычислены в системе TUSUR.EMC [8]. Теоретически они должны быть симметричны. Между тем на практике из-за вычислительных погрешностей появляется асимметрия матриц. Однако она легко устранима разными способами, поэтому здесь это не рассматривается. Симметрированные матрицы L (нГн/м) и C (пФ/м):

645,76

L = 380,36

380,36 453,34

570,28 377,78 ;

453,34 377,78  831,2

108,04 -62,09

C = -62,09 108,00

-25,53 -20,38

-25,53

-20,38

50,89

Принципиальная электрическая схема для моделирования МФ приведена на рис. 1, б . Проводники 1 и 2 (номера соответствуют индексам элементов матриц) являются сигнальными (активный

и пассивный при работе структуры в качестве МФ или резервируемый и резервный при модальном резервировании [9]) и соединены со схемной землей (проводник без номера) сопротивлениями, принятыми для пробного моделирования по 50 Ом. Проводник 3 соединен на концах с землей. Предполагается, что их стык стал доступен для ПДЭМВ, так что в разрыв их соединения оказался включен источник СКИ с амплитудой электродвижущей силы (ЭДС) 1 кВ и длительностями фронта, спада и плоской вершины по 1 нс. Длина МФ для пробного моделирования взята 1,5 м, чтобы проявилось больше отражений. Внутреннее сопротивление источника ПДЭМВ может быть разным, а нагрузка на конце заземленного проводника низкоомна. Поэтому сопротивление R 3 сначала (для лучшего согласования, как в [7]) принято 115 Ом, а затем – 50 Ом (для имитации маломощного генератора) и 1 Ом (для имитации мощного генератора), а R 6 = 1 Ом (для имитации соединения со схемной землей).

2. Результаты моделирования

Временные отклики на ПДЭМВ вычислены в системе TUSUR.EMC посредством квазиста-тического анализа модифицированным узловым методом [10]. На рис. 2 показаны формы напряжения в узле V6 (начало активного проводника). Напряжение в конце активного проводника близко к нулю и поэтому не показано. Между тем при R 3 = 115 Ом в проводник 3 поступает СКИ с амплитудой 500 В (близкой к половине амплитуды ЭДС, а значит, с довольно хорошим согласованием), R 3 = 50 Ом – 691 В, а R 3 = 1 Ом – 991 В. В МФ каждая из его мод распространяется

Газизов Т.Р., Юсаф М.Д. Перекрестные наводки в двухпроводном модальном фильтре ...

Gazizov T.R., Yousaf M.J. Crosstalk in a two-conductor modal filter ...

б

Рис. 2. Формы напряжения в узле V6 при R3 = 115 ( а ), 50 ( б ) и 1 ( в ) Ом

Fig. 2. Voltage shapes at node V6 for R3 = 115 ( a ), 50 ( b ), and 1 ( c ) Ohm

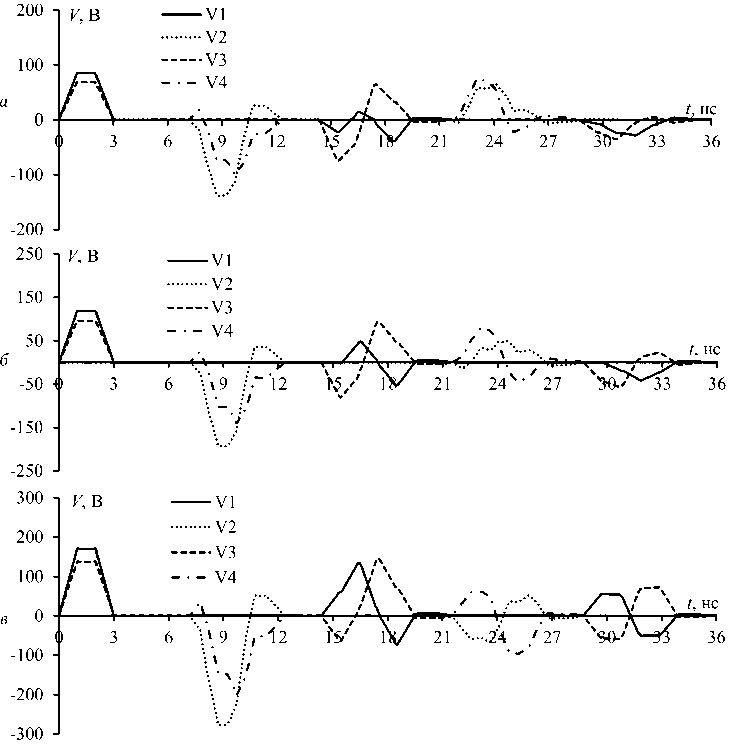
Рис. 3. Формы напряжения в узлах V1, V2, V3 и V4 при R 3 = 115 ( а ), 50 ( б ) и 1 ( в ) Ом

Fig. 3. Voltage shapes at nodes V1, V2, V3, and V4 for R3 = 115 ( a ), 50 ( b ), and 1 ( c ) Ohm

со своей задержкой (7,2; 7,7; 9,3 нс) и своим волновым сопротивлением, что усложняет картину волновых процессов.

Между тем нас интересует, какое указанное воздействие СКИ создает перекрестные наводки на проводниках 1 и 2. Их асимметричное расположение относительно схемной земли приводит к разным наводкам на них. Формы напряжения на их концах приведены на рис. 3. Из-за довольно сильных связей между проводниками уровень перекрестной наводки на ближнем конце при R 3 = 115 Ом на проводник 1 (узел V1) достигает 84В(17 %отполовиныамплитудыЭДС) ипроводник 2 (узел V3) 70 В (14 %), при R 3 = 50 Ом – 119 В (24 %) и 96 В (19 %), а R 3 = 1 Ом – 170 В (34 %) и 140 В (28 %).

Форма напряжения перекрестной наводки на дальнем конце сложнее. В общем случае ее амплитуда определяется не суммой (как на ближнем конце), а разностью коэффициентов емкостной и индуктивной связей между связанными проводниками. Кроме того, она может увеличиваться с ростом длины линии и сокращением фронта и спада СКИ. Наконец, ее составляющие могут имеет разные амплитуды, полярности и задержки. При R 3 = 115 Ом форма перекрестной наводки на дальнем конце проводника 1 (узел V2) начинается с импульса отрицательной полярности уровнем минус 137 В (минус 27 %) и продолжаются импульсом положительной полярности уровнем 25 В (5 %), а проводник 2 (узел V4) - минус 75 В (минус 15 %). При R 3 = 50 Ом помеха на проводнике 1 (узел V2) начинается с импульса отрицательной полярности уровнем минус 193 В (минус 39 %) и продолжается импульсом положительной полярности с уровнем 36 В (7 %), а проводник 2 (узел

V4) - минус 139 В (минус 28 %). При R 3 = 1 Ом помеха на проводнике 1 (узел V2) начинается с импульса отрицательной полярности уровнем минус 275 В (минус 55 %) и продолжается импульсом положительной полярности амплитудой 51 В (10 %), а проводник 2 (узел V4) – минус 200 В (минус 40 %).

Заключение

В работе рассмотрено влияние ПДЭМВ по цепям заземления МФ, отличающегося наличием дополнительного проводника схемной земли, сильно связанного с двумя сигнальными. При уменьшении внутреннего сопротивления генератора ПДЭМВ растет (до двух раз) уровень перекрестных наводок на сигнальные проводники. Моделирование отклика МФ на воздействие СКИ показало высокий уровень перекрестных наводок (до 55 % от половины амплитуды ЭДС воздействия). Поэтому в будущем целесообразно оценивать угрозу таких воздействий для подобных структур и более детально это исследовать: учесть реальные нагрузки на концах сигнальных проводников, потери в проводниках и диэлектрике, изменение параметров структуры и воздействия. Полезно также оценить дифференциальную наводку между сигнальными проводниками. Наконец, важно оценить уровни напряжения не только на концах, но и вдоль проводников, в том числе заземленных и соединенных на концах, для чего удобен алгоритм из работы [11].

Финансирование

Исследование выполнено за счет гранта Российского научного фонда №24-29-00579, в ТУСУРе.