Сравнительная оценка цитотоксичности медь- и цинксодержащих наночастиц как факторов риска здоровью при изолированной и комбинированной экспозиции in vivo

Автор: М.А. Землянова, М.С. Степанков

Журнал: Анализ риска здоровью @journal-fcrisk

Рубрика: Медико-биологические аспекты оценки воздействия факторов риска

Статья в выпуске: 4 (51), 2025 года.

Бесплатный доступ

Обеспечение здорового и активного долголетия является одним из критических направлений научно-технологического развития Российской Федерации. В связи с этим гигиеническая оценка опасности для здоровья населения новых материалов, в том числе наноразмерного диапазона, является высокоактуальной. В настоящее время активно расширяется спектр использования материалов, содержащих наночастицы (НЧ) меди и цинка в составе сплава (Cu-Zn) и изолированном состоянии (CuO, ZnO), что приводит к экспозиции населения, формирующей риски здоровью. Предварительная оценка показала высокую степень потенциальной опасности НЧ Cu-Zn, обусловленную в том числе модифицированной цитотоксичностью относительно микрочастиц (МЧ) химического аналога, благодаря наноразмерной фазе, и относительно изолированных НЧ, что связано с взаимодействием элементов при комбинированном поступлении в организм. Это определяет необходимость проведения исследований, направленных на сравнительную оценку и анализ модифицированной цитотоксичности сплава НЧ Cu-Zn относительно МЧ и изолированных НЧ in vivo. Исследование выполнено на крысах линии Wistar, экспонированных однократно интратрахеально суспензиями в объеме 0,4 см3, содержащими НЧ Cu-Zn, CuO, ZnO или МЧ Cu-Zn в концентрации 0,013 г/см3. Сравнительную оценку цитотоксичности проводили через 24 ч по изменению состава клеточной популяции в жидкости бронхоальвеолярного лаважа. В результате верификации физических свойств подтверждена принадлежность тестируемых материалов к продукции наноиндустрии. НЧ Cu-Zn отличаются от МЧ по показателям размера, удельной площади поверхности и суммарного объема пор (до 2118 раз). Цитотоксический эффект изолированных НЧ CuO и ZnO выявлен по увеличению содержания альвеолярных макрофагов (в 1,9 раза относительно контрольных данных); уменьшению содержания нейтрофильных лейкоцитов, моноцитов, лимфоцитов и соотношения нейтрофилов с макрофагами (до 3,5 раза). НЧ сплава Cu-Zn обладают большей степенью цитотоксичности относительно МЧ (до 6,1 раза) и относительно изоли-рованных НЧ (до 29 раз), что установлено по увеличению содержания нейтрофильных лейкоцитов и их соотношения к макрофагам; снижению содержания альвеолярных макрофагов, моноцитов и лимфоцитов. Таким образом, подтверждена высокая степень опасности медь- и цинксодержащих НЧ, проявляющаяся в том числе в виде цитотоксичности при интратрахеальной экспозиции in vivo. В составе наносплава Cu-Zn цитотоксический эффект усиливается относительно МЧ благодаря наноразмерной фазе и относительно изолированных НЧ в результате синергического взаимодействия элементов. Полученные результаты расширяют гигиенические представления о цитотоксичности медь- и цинксодержащих НЧ при изолированной и комбинированной экспозиции in vivo, что позволяет повысить эффективность научного обоснования мер профилактики и снижения риска для здоровья населения в условиях экспозиции.

Еще

Наночастицы, микрочастицы, латунь, оксид меди, оксид цинка, экспозиция, цитотоксичность, бронхоальвеолярный лаваж, крысы

Короткий адрес: https://sciup.org/142246704

IDR: 142246704   |   УДК: 613.634; 615.916; 691.735; 546.562; 546.47   |   DOI: 10.21668/health.risk/2025.4.12

Cytotoxicity of copper- and zinc-containing nanoparticles as health risk factor upon isolated and combined exposure in vivo: Comparative assessmen

Provision of healthy and active longevity is among the most significant trends in the scientific and technical development of the Russian Federation. In this respect, it is highly relevant to perform hygienic assessment of health hazards posed by new materials, nano-sized ones included. At present, materials containing zinc and copper nanoparticles (NPs) are being used more and more widely; this goes for both an alloy (Cu-Zn) or using their oxides separately (CuO, ZnO). This results in exposure involving human health risks. Preliminary assessment revealed high potential hazard posed by Cu-Zn NPs due to, among other things, modified cytotoxicity relative to microparticles (MPs) of its chemical analogue because of the nano-sized phase as well as relative to isolated NPs, which is associated with interaction between the two elements upon combined administration into the body. This necessitates investigations with their focus on comparative assessment and analysis of modified cytotoxicity of the Cu-Zn NPs alloy relative to MPs and isolated NPs in vivo. The study was performed on Wistar rats involving one-time intratracheal exposure to suspensions in the volume of 0.4 cm3, containing Cu-Zn, CuO, ZnO NPs or Cu-Zn MPs in the concentration of 0.013 g/cm3. Cytotoxicity was comparatively assessed 24 hours after the exposure per changes in the cell population in the bronchoalveolar lavage (BAL). Verification of physical properties confirmed that the tested materials contained NPs. Cu-Zn NPs differed from MPs per their size, specific surface area and total pore volume (up to 2118 times). Cytotoxic effects produced by isolated CuO and ZnO NPs were identified by growing levels of alveolar macrophages (1.9 times higher against the control); declining levels of neutrophil leukocytes, monocytes, lymphocytes and neutrophil to macrophage ratio (up to 3.5 times). Cu-Zn alloy NPs are more cytotoxic relative to MPs (up to 6.1 times) and isolated NPs (up to 29 times) as established per growing levels of neutrophil leukocytes and neutrophil to macrophage ratio and per declining levels of alveolar macrophages, monocytes, and lymphocytes. Therefore, the study confirms serious health hazard posed by copper- and zinc-containing NPs, which is manifested, among other things, as cytotoxic effects upon intratracheal exposure in vivo. Cytotoxic effects become stronger upon exposure to Cu-Zn alloy NPs relative to MPs due to the nano-sized phase and relative to isolated NPs due to synergy between the two elements. These findings enrich hygienic concepts about cytotoxicity of copper- and zinc-containing NPs upon isolated and combined exposure in vivo, which makes it possible to provide more effective scientific substantiation for preventive measures and mitigating health risks for exposed population.

Еще

Текст научной статьи Сравнительная оценка цитотоксичности медь- и цинксодержащих наночастиц как факторов риска здоровью при изолированной и комбинированной экспозиции in vivo

В настоящее время разработка технологий, обеспечивающих здоровое и активное долголетие, является критическим направлением научнотехнологического развития Российской Федерации1. Реализация данного направления сопряжена с гигиенической оценкой опасности для здоровья населения новых материалов, в том числе наноразмерного диапазона, в условиях экспозиции. Наночастицы (НЧ) обладают иными, относительно микроразмерных химических аналогов, размерными, поверхностными, адсорбционными, реакционными, электрическими, оптическими, магнитными, механическими, термодинамическими и прочими свойствами, что изменяет их проникающую способность в объекты биосистем и модифицирует взаимодействие с ними [1].

Одним из наиболее распространенных типов НЧ являются металлические, в том числе медь- и цинксодержащие в виде сплава и в изолированном состоянии. Их активно используют в перспективных композитных, мембранных, оптических, слоистых, магнитных и сенсорных наноматериалах для электротехники (полупроводники, солнечные батареи, накопители энергии, структурные элементы ядерных реакторов), металлургии (сверхпрочные сплавы), химии (производство топлива, метанола, каучука), медицины (импланты, антибиотики, средства доставки лекарств), сельского хозяйства (удобрения, корма, пестициды) и в прочих сферах деятельности [2–11]. В результате процессов интенсивного производства, использования и утилизации продукции наноиндустрии медь- и цинксодержащие НЧ поступают в объекты среды обитания, что приводит к экспозиции населения, формирующей риски здоровью. Предварительная оценка показала высокую степень потенциальной опасности для здоровья человека медь- и цинксодержащих наноматериалов, обусловленную в том числе цитотоксичностью [12, 13].

В настоящее время ведутся активные исследования и опубликован значительный ряд работ, посвященных цитотоксичности медь- и цинксодержащих НЧ. Согласно информации, представленной в научной литературе, доказано прямое воздействие НЧ на надмолеклярные структуры, такие как мембраны, ДНК и протеины, что приводит к нарушению процессов поддержания окислительно-восстановительного баланса, метаболических реакций, регуляции клеточного цикла и запуска процессов клеточной гибели [14–22]. Подавляющее большинство этих исследований сосредоточено на изучении цитотоксичности изолированных НЧ на клеточных линиях in vitro. Стоит отметить, что токсичность медь- и цин- ксодержащих НЧ при комбинированной экспозиции может быть модифицирована не только относительно микроразмерного химического аналога благодаря нанодисперсной фазе, но и относительно изолированных НЧ вероятными комбинированными эффектами. Кроме того, имеющиеся результаты исследований in vitro невозможно с абсолютной точностью экстраполировать на токсическое действие наносплава in vivo в экспозиции, приближенной к реальным условиям.

Исходя из вышесказанного, высокоактуальным становится получение релевантных данных о модифицированной цитотоксичности медь- и цинксодержащего наносплава относительно микроразмер-ного химического аналога и изолированных наноматериалов по результатам исследований на живых организмах. Это позволит повысить эффективность обеспечения гигиенической безопасности, минимизировать риск здоровью населения и прогнозировать развитие негативных эффектов в организме человека при экспозиции наносплавом.

Настоящее исследование является продолжением цикла работ ФБУН «ФНЦ медико-профилактических технологий управления рисками здоровью населения» по оценке нарушений здоровья, связанных с воздействием риск-индуцирующих факторов, в том числе комбинированной экспозиции химическими веществами [23, 24].

Цель исследования – сравнительная оценка модифицированной цитотоксичности in vivo медь- и цинксодержащих НЧ при комбинированной экспозиции относительно микроразмерного химического аналога и изолированных НЧ.

Материалы и методы. Для проведения экспериментальных исследований использовали коммерческие порошки наночастиц – ZnO, CuO, Cu-Zn (Россия, США); микрочастиц – Cu-Zn (Россия). Для подтверждения принадлежности тестируемых образцов к нано- или микроматериалу выполняли анализ и оценку физических свойств частиц, входящих в их состав. Размер частиц измеряли методом анализа изображений, полученных с помощью сканирующего электронного микроскопа (Япония). Свойства поверхности частиц (удельная площадь поверхности, суммарный объем пор) устанавливали по степени адсорбции азота, измеряемой с помощью анализатора поверхности (США)2.

В качестве биологической модели использовали самок крыс линии Wistar, приобретенных в сертифицированном питомнике (Россия). Содержание и манипуляции с крысами выполнены в соответствии с

Физические свойства частиц тестируемых порошков

Вещество

Средний размер, нм

Средняя удельная площадь поверхности, м2

Средний суммарный объем пор, см3

МЧ Cu-Zn

51119 ± 12121

0,32 ± 0,066

0,002 ± 0,0001

НЧ Cu-Zn

24,14 ± 1,23

9,11 ± 1,24

0,032 ± 0,003

НЧ ZnO

48,42 ± 11,12

25,50 ± 2,61

0,092 ± 0,018

НЧ CuO

45,86 ± 10,89

17,70 ± 3,10

0,056 ± 0,012

Примечание: результаты представлены в виде «среднее ± стандартная ошибка среднего».

требованиями Европейской конвенции по защите позвоночных животных, используемых для экспериментальных или в иных научных целях (ETS № 123), и с одобрения этического комитета Федерального научного центра медико-профилактических технологий управления рисками здоровью населения (протокол заседания № 3 от 01.03.2019; протокол заседания № 3 от 14.02.2023; протокол заседания № 3 от 20.03.2024). Перед экспериментом животные проходили адаптацию в течение 14 суток к условиям ви-варного помещения при температуре 22–24 ºС, влажности воздуха 44–50 %, длительности дневной и ночной фазы по 12 ч. Сформировали 5 групп ( n = 10): опытные группы № 1–3 – для экспозиции НЧ Cu-Zn, ZnO и CuO; группу сравнения – для экспозиции МЧ Cu-Zn; контрольная группа – для экспозиции основой суспензий без содержания тестируемых материалов.

Эксперимент по изучению цитотоксичности in vivo при целенаправленном воздействии НЧ и МЧ на органы дыхания выполнен при однократном интрат-рахеальном введении в соответствии с МР № 0119/24-17 (далее – МР)3. Экспозиции осуществляли суспензиями на основе 0,9%-ного стерильного изотонического раствора натрия хлорида (0,9 % NaCl), содержащего НЧ или МЧ в концентрации 0,013 г/см3 (исходя из рекомендованной, согласно МР, дозы – 5 мг на крысу). Для равномерного распределения частиц в объеме суспензии непосредственно перед введением обрабатывали с помощью ультразвукового гомогенизатора. Суспензии вводили в объеме 0,4 см3. Через 24 ч после экспозиции выполняли процедуру бронхоальвеолярного лаважа путем введения в отпрепарированную трахею и последующего немедленного извлечения 5 см3 0,9 % NaCl. Полученные промывные воды дыхательных путей центрифугировали, из осадка подготавливали мазки в соответствии с МР. В мазках методом световой микроскопии изучали состав клеточной популяции.

Статистическую обработку результатов проводили с помощью программного продукта Statistica 10. Оценку статистической значимости межгрупповых различий осуществляли с учетом несоответствия полученных значений в выборках закону нормального распределения по U -критерию Манна – Уитни при заданном уровне значимости р ≤ 0,05.

Результаты и их обсуждение. По результатам исследования физических свойств средние значения размера НЧ Cu-Zn, ZnO и CuO составляют 24,14–48,42 нм, удельной площади поверхности – 9,11–25,50 м2/г, суммарного объема пор – 0,032–0,092 см3/г (таблица). НЧ Cu-Zn сравнительно с частицами микроразмерного химического аналога отличаются меньшим размером – в 2118 раз, большей удельной площадью поверхности – в 28 раз, большей степенью пористости – в 16 раз (рис. 1).

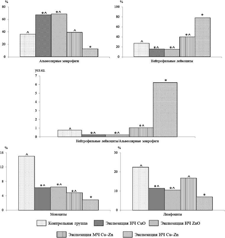
Изменение состава клеточной популяции в жидкости бронхоальвеолярного лаважа крыс через 24 ч после изолированной экспозиции НЧ ZnO и CuO сравнительно с контрольной группой характеризуется увеличением относительного числа альвеолярных макрофагов в 1,87–1,91 раза ( р = 0,00004–0,0002); снижением относительного числа нейтрофильных

Рис. 1. Изображение частиц сплава Cu-Zn с помощью РЭМ: а – нанопорошок, б – микропорошок

лейкоцитов, моноцитов, лимфоцитов и соотношения нейтрофилов с макрофагами в 1,74–3,50 раза ( р = 0,00004–0,004) (рис. 2). При комбинированной экспозиции медью и цинком в составе НЧ сплава Cu-Zn доля нейтрофильных лейкоцитов и их соотношение с альвеолярными макрофагами выше в 2,90–8,32 раза ( р = 0,005) сравнительно с контрольными данными; относительное число альвеолярных макрофагов, моноцитов и лимфоцитов ниже в 2,87–5,30 раза ( р = 0,005–0,025). При экспозиции МЧ Cu-Zn установлены статистически значимые отличия сравнительно с контрольными данными по увеличению содержания нейтрофильных лейкоцитов и их соотношения с альвеолярными макрофагами в 1,36–1,48 раза ( р = 0,010–0,020); снижению относительного числа моноцитов в 3,11 раза ( р = 0,010). Влияние НЧ сплава Cu-Zn на состав клеточной популяции отличается от эффектов, вызываемых воздействием микро-размерного химического аналога или изолированных НЧ CuO и ZnO. Оно характеризуется большей долей нейтрофильных лейкоцитов и увеличением соотношения их содержания с альвеолярными макрофагами в 1,96–29,08 раза ( р = 0,00004–0,005) при одновременном снижении относительного числа альвеолярных макрофагов, моноцитов и лимфоцитов в 1,52–5,48 раза ( р = 0,00004–0,008).

Обобщение результатов исследования позволило подтвердить принадлежность тестируемых материалов к продуктам наноиндустрии на основании верификации физических свойств. Сравнительная оценка показала отличие НЧ Cu-Zn от микро- размерного химического аналога (до 2118 раз) по показателям размера, удельной площади поверхности и суммарного объема пор, что позволило предположить их большую проникающую способность через плазматическую мембрану и иной характер взаимодействия с клетками.

В научной литературе описано внутриклеточное поступление НЧ с помощью эндоцитарных везикул по механизмам фагоцитоза и пиноцитоза, что позволяет им распространяться по цитоплазме и накапливаться в органоидах [25]. Говоря об особенностях внутриклеточного поступления наноразмер-ных частиц, отличающих их от микроразмерных химических аналогов, стоит отметить большую проникающую способность через плазматическую мембрану. На примере углеродных НЧ установлено их наличие внутри альвеолярных макрофагов, аль-веоцитов и бронхиоцитов крыс через 30–120 мин после интратрахеальной экспозиции, в то время как МЧ замечены только на поверхности мембран [26]. Вероятно, данные особенности биопоступления характерны и для цинк-, и для медьсодержащих НЧ в изолированном состоянии и в составе сплава, что позволяет им накапливаться в клетках в большем количестве сравнительно с МЧ. Согласно результатам исследования in vitro на клетках линии бронхиального эпителия человека, способность НЧ Cu-Zn преодолевать плазматическую мембрану доказана по их наличию в цитоплазме [22]. В исследовании на Stylonychia mytilus (брюхоресничная инфузория) локализация НЧ при экспозиции наносплавом

Рис. 2. Состав клеточной популяции жидкости бронхоальвеолярного лаважа через 24 ч после экспозиции ( р ≤ 0,05): * – статистически значимое отличие от контрольной группы, ^ – от экспозиции НЧ Cu-Zn

и наносмесью Cu и Zn отмечена не только в цитоплазме, но и в пищеварительных вакуолях [27]. В аннотируемых источниках научной литературы отсутствует более подробная информация о внутриклеточном накоплении НЧ Cu-Zn, но имеются сведения о локализации НЧ ZnO и CuO [28–30]. НЧ ZnO обнаружены в везикулах и ядре клеток линии фибробластов легких китайского хомяка [28]; НЧ CuO – в лизосомах клеток культуры макрофагов и легочного эпителия мышей, в ядрах альвеоцитов человека [29–31]. Активное внутриклеточное поступление НЧ CuO, ZnO и Cu-Zn обусловливает их прямое, в отличие от МЧ, взаимодействие с надмолекулярными структурами и органоидами. В широком спектре исследований отмечено, что изолированное воздействие НЧ CuO и ZnO характеризуется дисрегуляцией антиоксидантных процессов, энергетическим дисме-таболизмом, нарушением клеточного цикла, развитием воспаления и, как итог, гибелью клетки [14–21].

Согласно результатам выполненного исследования НЧ CuO и ZnO проявляют цитотоксичность в изолированном состоянии, что отмечено по увеличению относительного числа альвеолярных макрофагов (до 2 раз относительно контроля) и снижению содержания нейтрофильных лейкоцитов, моноцитов, лимофцитов и соотношения нейтрофилы / макрофаги (до 3,5 раза). Установленная мобилизация альвеолярных макрофагов является характерной реакцией на воздействие токсичных для клеток частиц, при этом чем выше резистентность альвеолярных макрофагов, тем меньше наличие в дыхательных путях нейтрофильных лейкоцитов, а их соотношение с макрофагами снижается4. Однако высокоцитотоксичные наночастицы могут вызывать гибель альвеолярных макрофагов [32]. Продукты их разрушения являются хемоаттрактантами нейтрофильных лейкоцитов, поступление которых в клеточную популяцию является компенсаторным механизмом альвеолярного клиренса [33]. Несмотря на меньшее количество частиц, которое может поглотить единичный нейтрофильный лейкоцит сравнительно с альвеолярным макрофагом, увеличение их численности в клеточном пуле позволяет распределить цитотоксическую нагрузку и поддерживать фагоцитарную активность на сопоставимом уровне. Данные процессы наблюдаются при экспозиции НЧ сплава Cu-Zn: содержание альвеолярных макрофагов, моноцитов и лимфоцитов уменьшается (до 5,3 раза относительно контрольных данных), а нейтрофильных лейкоцитов и их соотношения с макрофагами – увеличивается (в 8 раз). В отличие от эффекта, вызванного изолированными НЧ и микроразмер-ным химическим аналогом, экспозиция сплавом НЧ приводит к более выраженному уменьшению содержания альвеолярных макрофагов, моноцитов и лимфоцитов (в 5 раз относительно НЧ CuO и ZnO;

в 3 раза относительно МЧ), увеличению содержания нейтрофильных лейкоцитов и их соотношения с макрофагами (до 29 раз относительно НЧ CuO и ZnO; в 6 – относительно МЧ). Полученные результаты доказывают большую степень цитотоксичности сплава НЧ Cu-Zn сравнительно с микроразмер-ным химическим аналогом и синергический эффект при комбинированном интратрахеальном воздействии меди и цинка в концентрации 0,013 г/см3 относительно изолированных наночастиц. Полученные результаты согласуются с выводами исследований in vitro . Снижение выживаемости клеток, обусловленное воздействием НЧ Cu-Zn, установлено в популяциях линий альвеолярного эпителия, аденокарциномы молочной железы и меланомы человека [34, 35]. Механизм цитотоксического действия НЧ сплава Cu-Zn предположительно связан с их воздействием на плазматическую мембрану и митохондрии. Исследование in vitro на альвеоцитах человека позволило установить повреждение мембраны у 60 % экспонированных клеток в течение 240 мин экспозиции НЧ Cu-Zn, в то время как значение данного показателя при воздействии изолированных НЧ меди в металлической и оксидной форме составило около 20 % [36]. Результаты дальнейших экспериментов на искусственно смоделированных мембранах показали снижение ее массы, что, вероятно, является следствием адсорбции липидов на поверхности НЧ Cu-Zn. В клетках линии рака молочной железы мышей, экспонированных биметаллическим нанокомплексом Cu-Zn, отмечено окислительное повреждение митохондрий, проявляющееся в виде набухания органоида, укорочения крист и вакуолеподобных образованиях [37]. Это приводит к высвобождению митохондриальной ДНК в цитоплазму, что способствует активации сигнальных путей, ведущих к гибели клетки. Предположительно, запуск процесса клеточной гибели, обусловленной воздействием биметаллических медь- и цинксодержащих наночастиц, характеризуется снижением пролиферативной способности, блокированием клеточного цикла на переходе между фазами G2 и М, запуском процессов апоптоза и некроза [22, 38]. В исследовании на клетках линии бронхиального эпителия человека отмечено преобладание некротической гибели над апоптической (68,5 / 31,5 %) при возрастании концентрации НЧ Cu-Zn [22].

Выводы. Анализ тестируемых порошков Cu-Zn, CuO и ZnO позволил установить типичные для наноматериалов физические свойства: малый размер, высокую удельную площадь поверхности и степень пористости. НЧ Cu-Zn отличаются по физическим показателям (до 2118 раз) относительно частиц микроразмерного химического аналога. Это обусловливает большую степень цитотоксичности наносплава при однократной интратрахеальной экс- позиции в концентрации 0,013 г/см3, установленной по изменению состава клеточной популяции в бронхоальвеолярной жидкости в виде меньшего содержания альвеолярных макрофагов, моноцитов и лимфоцитов (в 3 раза относительно эффекта МЧ); большего содержания нейтрофильных лейкоцитов и их соотношения с макрофагами (в 6 раз). Цитотоксический эффект изолированных НЧ CuO и ZnO характеризуется увеличением содержания альвеолярных макрофагов (до 1,9 раза относительно контрольных данных); снижением содержания нейтрофильных лейкоцитов, моноцитов, лимфоцитов и соотношения нейтрофилов с альвеолярными макрофагами (до 3,5 раза). Сопоставление результатов показало синергический эффект меди и цинка при комбинированном воздействии, определяющий большую степень цитотоксичности (до 29 раз) наносплава относительно изолированных НЧ.

Полученные результаты расширяют гигиенические представления о цитотоксичности медь- и цинксодержащих НЧ при изолированной и комбинированной экспозиции in vivo, что позволяет повысить эффективность научного обоснования мер профилактики и снижения риска для здоровья населения в условиях экспозиции.

Финансирование. Исследование выполнено за счет федерального бюджета.