Размерный эффект при измерении прочностных свойств неорганических стекол
Автор: Цыдыпов Ш.Б., Сизов И.Г., Машанов А.А., Герман Е.И.
Журнал: Вестник Восточно-Сибирского государственного университета технологий и управления @vestnik-esstu
Рубрика: Теплофизика и теоретическая теплотехника (технические науки)
Статья в выпуске: 4 (99), 2025 года.
Бесплатный доступ
В работе представлены результаты исследования вязкоупругих свойств трехкомпонентного неорганического стекла методом микрои нановдавливания. Цель исследования экспериментальное подтверждение зависимости прочностных характеристик стекла от размера области деформации при различных температурах. Объектом исследования выступил образец стекла состава SiO2 (60 %), B2O3 (20 %), SrO (20 %). Эксперименты проводились на комплексе Nanotest 600 при температурах от 20 до 500 °C с использованием индентора Берковича. Дополнительно выполнялись измерения микротвердости на приборе ИТВ-1-АМ. Основные результаты показали существенное влияние размера области деформации на прочностные характеристики материала. При глубине индентирования менее 1 мкм наблюдается значительное увеличение твердости материала из-за смены дислокационных механизмов деформации на диффузионные. При комнатной температуре значение нанотвердости (9 ГПа) существенно превышает показатель микротвердости (6 ГПа).
Наноиндентирование, размерный эффект, микротвердость, нанотвердость, дислокационные механизмы
Короткий адрес: https://sciup.org/142246617
IDR: 142246617 | УДК: 53.092, 539.389.4 | DOI: 10.53980/24131997_2025_4_96
Size effect in strength measuring of inorganic glasses
The paper presents the results of the study of three-component glass viscoelastic properties using micro- and nanoindentation methods. The purpose of the research is to confirm experimentally the dependence of the strength characteristics of glass on the size of the deformation area at various temperatures. The object of the study was a glass sample composed of SiO₂ (60 %), B₂O₃ (20 %), and SrO (20 %). The experiments were conducted on the Nanotest 600 complex at temperatures ranging from 20 to 500 °C using Berkovich indenter. Additionally, microhardness measurements were made using ITV-1-AM device. The main results demonstrated significant influence of deformation area size on the material strength characteristics. When indentation depth is less than 1 μm, a considerable increase in material hardness is observed due to the change from dislocation deformation mechanisms to diffusion ones. At room temperature, the nanohardness value (9 GPa) significantly exceeds the microhardness indicator (6 GPa).
Текст научной статьи Размерный эффект при измерении прочностных свойств неорганических стекол
В современном материаловедении метод индентирования является значимым инструментом для изучения вязкоупругих характеристик различных материалов. После вдавливания индентора и его снятия в неорганических стеклах остается пластичный отпечаток, ничем не отличающийся от отпечатков в полимерах и металлах [1]. При нагревании пластичные лунки – отпечатки полностью или частично исчезают. Характер восстановления отпечатка в неорганических стеклах отличается от закономерности этого процесса в кристаллических твердых телах. В кристаллах дно отпечатка оплывает и становится плоским за счет диффузионного вязкого течения [2], в случае стекла острое дно лунки сохраняется до 800 °С, т. е. вплоть до температур близких к температурам стеклования [3].
При пластической деформации кинетические единицы структуры (атомы, группы атомов) переходят из основного энергетического состояния в возбужденное, сводящееся к их критическому смещению, соответствующему максимуму силы межатомного притяжения. Эти процессы начинаются с начала вдавливания индентора и выходят на стационарный режим с постоянной концентрацией критически смещенных структурных единиц. Восстановление пластически деформированных лунок объясняется возвращением возбужденных атомов в основное состояние и может быть вполне удовлетворительно описано в рамках модели возбужденного состояния [3]. Критические смещения возбужденных кинетических единиц по смыслу близки к «незавершенным сдвигам» [4], «сдвиговым трансформациям» [5, 6] и «дислокациям Сомилианы» [7].
Таким образом, термостимулируемая низкотемпературная релаксация пластической деформации стеклообразных систем относится к низкоэнергетическим (энергия активации атомов) и мелкомасштабным (объем критических смещений атомов) релаксационным процессам [1, 5 - 9].
Важную роль играет исследование поведения материалов при уменьшении размеров отпечатка до субмикронных значений ( R < 1 мкм), где наблюдаются кардинальные изменения механических свойств [10].
Основной причиной таких изменений является трансформация механизмов деформации: при переходе в наномасштабную область дислокационные процессы сменяются диффузионными явлениями. Данный эффект, при котором линейные параметры отпечатка (диагональ или глубина) становятся сопоставимыми с характерными структурными размерами материала (например, расстоянием между дислокациями), получил название размерного эффекта.
Экспериментальные исследования [11] показывают закономерность: при уменьшении размера отпечатка прочностные характеристики материала приближаются к теоретическому пределу прочности. Этот предел, рассчитанный в рамках различных физических моделей, приблизительно составляет 10 % от значений модуля Юнга E или модуля сдвига G . Данное явление открывает новые перспективы для изучения фундаментальных свойств материалов на наноуровне и разработки новых конструкционных материалов с улучшенными характеристиками.
Целью данной работы является экспериментальное подтверждение зависимости прочностных характеристик неорганических стекол от размера области деформации при различных температурах.
Материалы и методы исследования
Исследования проводились на комплексной системе измерений с цифровым управлением Nanotest 600 (компания MicroMaterials Ltd, Великобритания), позволяющей исследовать прочностные свойства материалов как в нано-, так и в микромасштабах в диапазоне нагрузок от 0,5 до 20 000 мН и температурном интервале от 20 до 500 ° С.
Испытания образца трехкомпонентного стекла, состав которого приведен в таблице, проведены методом непрерывного индентирования в нанодиапазоне в соответствии с между- народным стандартом ISO 14577 [12] с помощью алмазного индентора Берковича при температурах образца 20, 100, 200, 300, 400, 500 °С с последующим его охлаждением и измерениями при тех же температурах. Максимальная нагрузка на инденторе составляла 1 Н.
Некоторые особенности измерения микротвердости в некристаллических материалах представлены в [13]. Математическая обработка диаграмм нагружения проводилась по методу Оливера - Фарра [14].
Кроме этого, были проведены измерения микротвердости при комнатной температуре на микротвердомере ИТВ-1-АМ того же образца трехкомпонентного стекла, состав которого приведен в таблице.
Состав образца трехкомпонентного стекла
Таблица
|
Состав |
Компонент, % |
|
SiO 2 |
60 |
|
B 2 O 3 |
20 |
|
SrO |
20 |
Описание процедуры измерений частично приведено в [15].
Результаты исследования и их обсуждение
На рисунке 1 представлена зависимость характеристик прочности твердых тел при вдавливании индентора от определяющих размеров объекта R – глубины отпечатка в данном случае [16 - 19]. Здесь о теоретический предел прочности идеальной кристаллической решетки; Е - модуль Юнга; R - диагональ или глубина отпечатка.
Рисунок 1 - Зависимость характеристик прочности
(здесь о - теоретический предел прочности идеальной кристаллической решетки; Е - модуль Юнга; R - диагональ или глубина отпечатка) твердых тел при вдавливании индентора от определяющих размеров R объекта
При глубине индентирования <1 мкм величина R становится соизмеримой со средним расстоянием между соседними дислокациями. В областях с определяющим размером R < 100 нм дислокационные механизмы деформации сменяются диффузионными [18, 19] и прочностные свойства объекта испытания значительно увеличиваются.
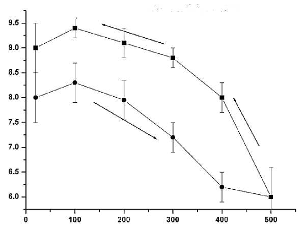
На рисунке 2 приведена зависимость нанотвердости Н трехкомпонентного стекла от температуры t ° C измеренная с помощью системы Nanotest 600 (состав стекла представлен в таблице).
При измерении микротвердости при комнатной температуре на микротвердомере ИТВ-1-АМ получено значение микротвердости 612 HV при нагрузке 0,1 кгс и глубине отпечатка 3520 нм. Для сравнения микротвердости 612 HV (кгс/мм2) с результатами измерения нанотвердости при 20 ° С (см. рис. 2) был произведен пересчет этого значения в ГПа умножением на коэффициент 0,00980665 и получено значение 6,0 ГПа. Это значение микротвердости значительно ниже нанотвердости 9 ГПа при одинаковых комнатных температурах, что подтверждает вышеуказанный размерный эффект при переходе от нанотвердости к микротвердости.
Температура t, ° С
Рисунок 2 - Температурная зависимость нанотвердости H трехкомпонентного стекла, состав которого приведен в таблице
Таким образом, показано, что твердость образца стекла при одинаковых условиях зависит от глубины погружения индентора и обусловлена, по-видимому, сменой дислокацио-ного механизма деформации диффузионным.
Заключение
С целью экспериментального подтверждения зависимости прочностных характеристик материалов от размера области деформации выполнены измерения нанотвердости образца неорганического стекла на измерительном комплексе Nanotest 600 методом непрерывного иден-тирования в нанодиапазоне при температурах от 20 до 500 °C. Дополнительно выполнялись измерения микротвердости этого же образца стекла на приборе ИТВ-1-АМ. Выявлено, что уменьшение размера отпечатка при наноиндентировании неорганических стекол до субмикронных значений, сопоставимых с размерами структурных особенностей испытуемых образцов материалов, наблюдается значительное увеличение микротвердости. По данным [11], при уменьшении размера отпечатка прочностные характеристики материала увеличиваются приближаясь к теоретическому пределу прочности равному 10 % от модулей Юнга или сдвига. Такие измерения нанотвердости позволят расширить возможности верификации различных физических моделей в теории прочности материалов, в частности модели возбужденных атомов Д.С. Сандитова [3]. Кроме того открываются возможности расчета упругих и прочностных характеристик материала на основе расчета сил взаимодействия атомов и их положений методом молекулярной динамики [20].