Сравнительный анализ антиоксидантных свойств и биохимического состава дикорастущих ягод малины, клюквы и черники
Автор: Березина Е.А., Кригер О.В.
Журнал: Вестник Мурманского государственного технического университета @vestnik-mstu
Рубрика: Биотехнология пищевых продуктов и биологически активных веществ
Статья в выпуске: 4-2 т.28, 2025 года.
Бесплатный доступ
Применение природных антиоксидантов является эффективной мерой профилактики и комплексной терапии хронических заболеваний. В ходе сравнительного анализа антиоксидантных характеристик и химического состава трех видов дикорастущих ягод (малины, черники, клюквы) доказана их биологическая ценность как естественных источников полифенольных соединений, антоцианов и витаминов, обладающих способностью подавлять оксидативный стресс. Лидирующие позиции по концентрации антоцианов (487 мг/100 г) заняла черника, по уровню проантоцианидинов (418 мг/100 г) и витамина С (до 76,8 мг/100 г) – клюква, по содержанию фолатов – малина (200 мкг/100 г). Исследования выявили зависимость состава биологически активных соединений от сорта ягоды, степени ее зрелости и способов переработки. Заморозка позволяет сохранить максимальное количество полезных веществ и не оказывает особого влияния на антиоксидантную активность; тепловая обработка существенно уменьшает содержание антиоксидантов. Следует отметить низкую степень усвоения организмом большинства полифенолов, однако этот недостаток частично компенсируется взаимодействием компонентов и высокой эффективностью метаболизированных форм. Полученные данные свидетельствуют о перспективах использования указанных ягод в создании функциональных и диетических пищевых продуктов и нутрицевтиков, подчеркивают необходимость дальнейших исследований технологий инкапсулирования для улучшения доставки и доступности антиоксидантов, а также более глубокого изучения метаболизма биологически активных соединений.
Антиоксидантная активность, полифенолы, антоцианы, малина, черника, клюква, DPPH, ORAC, FRAP
Короткий адрес: https://sciup.org/142246577
IDR: 142246577 | УДК: 664 | DOI: 10.21443/1560-9278-2025-28-4/2-588-601
Comparative analysis of antioxidant properties and biochemical composition of wild berries: Raspberry, cranberry and blueberry
The use of natural antioxidants is an effective measure for the prevention and comprehensive treatment of chronic diseases. A comparative analysis of the antioxidant properties and chemical composition of three types of wild berries (raspberries, blueberries, and cranberries) has demonstrated their biological value as natural sources of polyphenolic compounds, anthocyanins, and vitamins capable of suppressing oxidative stress. Blueberries leads in anthocyanin concentration (487 mg/100 g), cranberries – in proanthocyanidin levels (418 mg/100 g) and vitamin C (up to 76.8 mg/100 g), and raspberries – in folate content (200 ?g/100 g). Research has revealed that the composition of biologically active compounds depends on the berry variety, its degree of ripeness, and processing methods. Freezing preserves the maximum amount of nutrients and has no significant effect on antioxidant activity; heat treatment significantly reduces the antioxidant content. It should be noted that the body's absorption of most polyphenols is low, but this deficiency is partially offset by the interaction of the components and the high efficiency of the metabolized forms. The data obtained indicate potential for using these berries in the creation of functional and dietary foods and nutraceuticals, and also highlight the need for further research into encapsulation technologies to improve the delivery and availability of antioxidants, as well as a more in-depth understanding of the metabolism of biologically active compounds.
Текст научной статьи Сравнительный анализ антиоксидантных свойств и биохимического состава дикорастущих ягод малины, клюквы и черники
*Национальный исследовательский университет ИТМО, г. Санкт-Петербург, Россия; e-mail: , ORCID:
Березина Е. А. и др. Сравнительный анализ антиоксидантных свойств и биохимического состава дикорастущих ягод малины, клюквы и черники. Вестник МГТУ. 2025. Т. 28, № 4/2. С. 588–601. DOI:
Berezina, E. A. et al. 2025. Comparative analysis of antioxidant properties and biochemical composition of wild berries: Raspberry, cranberry and blueberry. Vestnik of MSTU, 28(4/2), pp. 588–601. (In Russ.) DOI:
В настоящее время возрос интерес к исследованию и применению природных антиоксидантов (АО) в качестве эффективной меры профилактики и комплексной терапии хронических заболеваний. Активные формы кислорода (АФК) – общий термин, обозначающий широкий спектр молекул-окислителей, обладающих различными свойствами и биологическими функциями, которые варьируются от передачи клеточных сигналов до повреждения клеток ( Sies et al., 2022 ).
Активные формы кислорода, образованные в результате естественных метаболических процессов и внешнего воздействия, способны вызывать повреждение липидов, белков, нуклеиновых кислот, а также изменять нормальное функционирование клеток. Мозг зависит от постоянного притока кислорода и глюкозы с кровью, поэтому особенно уязвим к кислородному голоданию, обусловленному внешними и внутренними нарушениями в организме, в том числе низким уровнем антиоксидантов и большим количеством полиненасыщенных жиров, склонных к окислению. В норме антиоксидантные системы нейтрализуют их избыток, однако при чрезмерном накоплении АФК возникает окислительный стресс, который признан основным фактором старения и развития многочисленных патологических состояний, включая сердечнососудистые болезни, диабет, хроническую обструктивную болезнь легких, нейродегенерацию (болезни Альцгеймера, Паркинсона) и саркопению ( Cenini et al., 2019 ).
Антиоксиданты могут оказаться неэффективными в результате воздействия загрязняющих веществ окружающей среды, тяжелых металлов, некоторых лекарств, химических растворителей, определенной пищи (копченое мясо, использованное масло), сигаретного дыма, алкоголя и радиации ( Pizzino et al., 2017; Liguori et al., 2018 ), что подчеркивает необходимость дополнительного поступления антиоксидантов извне.
Среди природных источников данных веществ особенное внимание уделяется таким ягодам, как черника, клюква и малина. Данные растения использовались в традиционной медицине, особенно в регионах с большим разнообразием такой флоры (например, среди всех групп карел) ( Пашкова и др., 2022 ). Современные научные исследования подтвердили, что данные ягоды являются мощными источниками биологически активных веществ (БАВ), в частности полифенолов, антоцианов, фенольных кислот и витаминов.
Несмотря на значительный потенциал, бόльшая часть полифенолов ягод имеет низкую биодоступность, однако существуют свидетельства того, что метаболиты полифенолов могут обладать собственными полезными свойствами.
Таким образом, актуальным остается вопрос всестороннего изучения состава и антиоксидантных свойств различных ягод с целью разработки функциональных продуктов питания, нутрицевтиков и лекарственных препаратов, содержащих натуральные антиоксиданты.
Предметом настоящего исследования является сравнительная характеристика частичного химического состава ягод черники, клюквы и малины. Объект исследования охватывает совокупность данных о содержании биологически активных веществ и антиоксидантных характеристиках ягод, представленных в научных публикациях.
Выбор ягод обоснован их богатым химическим составом (фенольные соединения, антоцианы, витамины и минералы), широкой популярностью и доступностью, что делает указанные ягоды перспективными для использования в профилактическом питании и медицине. Актуальность исследования обусловлена повышенным интересом к естественным антиоксидантам и увеличением спроса на продукцию с подтвержденным благотворным влиянием на организм, а также стремлением расширить ассортимент, в том числе за счет местных дикорастущих ресурсов.
Цель настоящей работы – обобщить и проанализировать научные сведения о биохимическом составе и антиоксидантной активности (АОА) трех важнейших представителей семейства ягодных культур: малины, черники и клюквы, выявить перспективы их практического применения и определить факторы, влияющие на стабильность и эффективность биологически активных компонентов.
Материалы и методы
В ходе исследования выполнен обзор доступной литературы, посвященной химическому составу ягод, проанализированы опубликованные данные о содержании ключевых биоактивных соединений (антоцианов, полифенолов, витаминов), систематизирована информация о современных методах оценки антиоксидантной активности.
Сравнение фенольных профилей в работе ( Seeram et al., 2006 ) проводилось с использованием метода ВЭЖХ-МС.
Анализ литературных источников включал также определение факторов, влияющих на сохранность биологически активных веществ в процессе заготовки, переработки и хранения ягод.
Представленные научные данные могут послужить обоснованием для дальнейшего внедрения плодово-ягодного дикоросового сырья в промышленное производство функциональных напитков, а также создадут основу для дальнейших разработок новых пищевых продуктов, ориентированных на удовлетворение потребностей разных категорий населения в здоровом питании.
Теоретические основы
Понятие антиоксидантов и их роль в организме
Антиоксиданты относятся к группе молекулярных структур, способных подавлять процессы окисления, ингибируя образование активных форм кислорода и свободнорадикальные реакции в живых организмах. Они подразделяются на два основных класса: ферментативную систему защиты (супероксиддисмутаза, каталаза, глутатионная система) и неферментативные соединения (витамины C и E, глутатион, мелатонин) ( Jomova et al., 2023 ).
При нарушении баланса между концентрацией прооксидантов и антиоксидантов возникает состояние окислительного стресса, которое ассоциировано как с преждевременным старением, так и со многими болезнями (более 100), включая сердечно-сосудистые, онкологические и нейродегенеративные заболевания ( Яшин, 2008 ).
Растительные продукты, в особенности ягоды, служат важным источником натуральных антиоксидантов. Принято считать, что именно концентрация полифенольных компонентов определяет выраженность антирадикальных, антиоксидантных свойств ( Белова и др., 2018 ). Особое внимание уделяется поли-и фенольным соединениям, к классу которых относятся фенольные кислоты, стильбены, лигнаны, танины и флавоноиды (рис. 1) ( Зиятдинова и др., 2022 ).
Рис. 1. Классификация природных фенольных антиоксидантов ( Зиятдинова и др., 2022 )
Fig. 1. Classification of natural phenolic antioxidants ( Ziyatdinova et al., 2022 )
На данный момент в природе изучено более 8 000 полифенольных соединений ( Curieses et al., 2023 ). Эти вещества способны нейтрализовать активные формы кислорода и азота путем подавления активности ферментов, участвующих в образовании свободных радикалов, а также связывают металлы и свободные радикалы, предотвращая их проникновение внутрь клеток. Принцип антиоксидантного действия можно описать следующими реакциями:
-
(1) R• + AH → RH + A•
-
(2) RO• + A• → ROA
-
(3) ROO• + RH → ROOH + R•
Фенольные антиоксиданты (AH) отдают атомы водорода липидным радикалам, образуя липидные производные и радикалы антиоксидантов (реакция 1). Эти радикалы более стабильны и менее склонны участвовать в реакциях самопроизвольного окисления. Радикалы антиоксидантов могут также прерывать реакции продолжения цепи (реакции 2, 3). Антиоксидантная активность фенольных соединений определяется количеством и расположением гидроксильных групп в их молекулах ( Shahidi et al., 2015 ).
Полифенолы обладают противовоспалительными, антиканцерогенными, геропротекторными действиями, они даже могут служить пребиотиками, стимулируя рост полезных бактерий, например Bifidobacterium и Lactobacillus. (Ntemiri et al., 2020). Также полифенолы улучшают липидный и углеводный обмен: снижают уровень глюкозы и холестерина, что показано в исследовании H. Jiang и соавторов: при добавлении в пищу экстрактов ягод черники у мышей отмечалось снижение выраженности гипергликемии (Jiang et al., 2020).
Наиболее важными природными источниками полифенолов считаются дикорастущие ягоды: черника Vaccinium myrtillus, клюква Vaccinium macrocarpon, малина Rubus idaeus, ежевика Rubus fruticosus, красная и черная смородина (Ribes rubrum, Ribes nigrum). Черника отличается высоким содержанием общих фенолов, достигающим значений 525 мг/100 г свежей массы, что превосходит показатели большинства других фруктов и овощей ( Szajdek et al., 2008 ).
Класс полифенолов включает флавонолы – наиболее распространенные флавоноиды растений. Флавонолы повышают биологическую ценность овощей, фруктов и ягод, однако данные фитохимические соединения имеют низкую биодоступность ( Pappas et al., 2009 ). Даже при высоком уровне потребления флавоноидов их концентрация в плазме и клетках человека примерно в 100–1 000 раз ниже концентрации других антиоксидантов, таких как аскорбиновая кислота или глутатион. Большинство циркулирующих флавоноидов представлены их метаболитами; некоторые из них проявляют меньшую антиоксидантную активность, чем исходные молекулы ( Côté et al., 2010 ). Несмотря на то что сами флавоноиды могут плохо усваиваться, возможно, что деградационные продукты фенолов, образующиеся в результате гидролиза, микробного метаболизма или химического распада, играют определенную антиоксидантную роль in vivo ( Pappas et al., 2009 ).
Фактическая польза ягод в качестве источников антиоксидантов зависит не только от абсолютного содержания полезных веществ, но и от их усвояемости организмом ( Wu et al., 2004 ). Однако информация о процессах усвоения, распределения в организме и метаболизме антоцианов и взаимодействующих флавоноидов остается крайне ограниченной. Изучение этих вопросов могло бы проводиться более эффективно при условии наличия изотопно-меченых фитохимических соединений, однако синтезирование таких молекул часто представляет собой значительные трудности, поскольку многие важные соединения синтезируются исключительно в растениях ( Lila, 2004 ). Оптимизация технологий переработки и сохранения биоактивных компонентов представляется важнейшей задачей современной науки о продуктах питания.
Биохимический состав ягод
Ягоды, в особенности выращенные в естественных природных условиях без культивирования человеком (дикорастущие), характеризуются богатым ассортиментом вторичных метаболитов, обеспечивающих их высокие пищевые и лечебно-профилактические свойства. Химический состав ягод включает следующие классы соединений:
-
– фенольные соединения: антоцианы, фенолокислоты, таннины, стильбены;
-
– органические кислоты: лимонная, яблочная, щавелевая, винная;
-
– пищевые волокна: целлюлоза, гемицеллюлоза, пектин;
-
– сахара: глюкоза, фруктоза;
-
– минеральные вещества: калий, магний, кальций, железо, марганец ( Skrovankova et al., 2015; Karlsons et al., 2018 ).
Химический профиль ягод неоднороден и изменяется в зависимости от вида, стадии созревания, условий культивации и хранения. Также важно и то, в какой форме находится сырье. В исследовании ( Veljković et al., 2019 ) свежие плоды малины содержали наибольшее количество витамина C (46,62 мг/100 г) и органических кислот (лимонной кислоты 882,22 мг/100 г), общее количество фенолов (галловой кислоты 36,23 мг/г) и флавоноидов (рутина 4,93 мг/г). В свою очередь, сок малины – максимальное содержание антоцианов (107,22 мкг/мл) и сахаров (25 °Brix), а сладкое варенье ("слатко") – наибольшее количество фенолов (галловой кислоты 200,83 мг/г), флавоноидов (12,85 рутина мг/г) и танинов (39,11 мг/г) ( Veljković et al., 2019 ).
Содержание витамина С в плодах малины обыкновенной (R. idaeus L.) составляет 5–40 мг/100 г, фолиевой кислоты – 26–44 мкг/100 г. Употребление всего 100 г плодов малины обеспечивает суточную потребность в витамине С (60 мг) на 8,3–66,7 %, в фолатах (200 мкг) – на 13–22 %. Cуммарное содержание антоцианов в красной малине варьируется в широких пределах – 20–100 мг/100 г, в черной малине – 200–600 мг/100 г. Эллаговой кислоты в плодах культивируемых сортов накапливается от 38 до 270 мг/100 г. В небольших количествах в плодах культивируемых сортов красной малины содержатся каротиноиды (β-каротин – 9,3 мкг/100 г, зеаксантин – 11 мкг/100 г, лютеин – 320 мкг/100 г), витамин Е – 0,15–0,44 мг/100 г токоферольных эквивалентов, тиамин – 0,020 мг/100 г, рибофлавин – 0,034 мг/100 г, ниацин – 0,036 мг/100 г, пиридоксин – 0,05 мг/100 г, биотин – 5,7 мкг/100 г. Суммарное содержание антиоксидантов в плодах культивируемых сортов малины составляет 1,71 мг/г (стандарт – кверцетин) ( Жбанова, 2018 ).
По литературным данным, черника содержит:
– глюкозу (14,9–37,8 г/кг), фруктозу (18,2–37,1 г/кг); другие углеводы, такие как сорбитол и сахароза, не обнаружены;
– органические кислоты: яблочную (2,8–8,5 г/кг), лимонную (5,2–13,3 г/кг), хинную (0,3–7,0 г/кг), шикимовую (49,0–222,5 мг/кг), изолимонную (13,0–50,0 мг/кг);
– фосфор (130, 0–199,0 мг/кг), калий (780–1,105 мг/кг), магний (24,0–96,9 мг/кг), кальций (64,0–198,0 мг/кг) ( Grégrová et al., 2021 ).
В клюкве основными сахарами являются фруктоза (42,1 г/кг) и глюкоза (45,1 г/кг). Лимонная кислота (10,8–54,3 г/кг) – основная кислота, придающая клюкве характерный кислый вкус. Также преобладающими кислотами являются яблочная (14,1–43,3 г/кг) и хинная (3,81–13,3 г/кг). Общее содержание антоцианов составляет 12,4–207,3 мг/100 г ( Jurikova, et al., 2019 ).
Эта ягода является ценным источником витаминов; особенно выделяется содержание витамина С (14 мг/100 г), также присутствуют витамин Е (1,3 мг/100 г), витамин К (5 мкг/100 г) и витамин А (3 мкг/100 г). В клюкве содержатся практически все витамины группы В: тиамин (0,012 мг/100 г), рибофлавин (0,02 мг/100 г), ниацин (0,101 мг/100 г), пантотеновая кислота (0,295 мг/100 г), витамин В6 (0,057 мг/100 г) и фолаты (1 мкг/100 г) ( Negrușier et al., 2024 ).
Фенольные соединения ягод представлены беантоцианинами, флавонолами, флаваноламинолами, эллагитанинами, галлотанинами, проантоцианидинами и фенольными кислотами.
В ягодах обнаружены основные антоцианы:
– в малине: цианидин-3-софорозид, цианидин-3-глюкозид и пеларгонидин-3-глюкозид;
– чернике: цианидин-3-галактозид, дельфинидин-3-галатозид, петунидин-3-галактозид, петунидин-3-глюкозид, петунидин-3-арабинозид, пеонидин-3-галактозид, мальвидин-3-галактозид, мальвидин-3-глюкозид и мальвидин-3-арабинозид;
– клюкве: цианидин-3-глюкозид, цианидин-3-арабинозид, дельфинидин-3-арабинозид, пеонидин-3-галактозид, пеонидин-3-глюкозид и пеонидин-3-арабинозид ( Seeram et al., 2006 ).
Следует отметить, что для объективного сравнения необходимо учитывать различные условия отбора проб и методы анализа, влияющие на определение концентраций отдельных веществ. По данным разных литературных источников, концентрации могут значительно колебаться: среднее содержание антоцианов в свежих ягодах черники – от 487 до 296,4 мг/100 г; ягодах малины – от 20–100 мг/100 г до 230 мг/100 г ( Kalt et al., 2020; Жбанова, 2018 ).
Различия концентраций отдельных веществ в разных исследованиях объясняются зависимостью биохимического состава от условий выращивания и степени зрелости. Состав минеральных элементов отличается в различных составных частях ягод: кожице и мякоти ( Нилова et al., 2018 ). Установлено, что созревшая клюква содержит в 100 раз больше мономерных антоцианов, чем неспелая, а общее содержание фенольных соединений, напротив, ниже в 2 раза ( Skrovankova et al., 2015 ).
Различия концентраций связаны также с тем, что качество ягод и стабильность содержащихся в них веществ могут зависеть от способа обработки и продолжительности хранения. Например, сушка ягод при высоких температурах приводит к разрушению термочувствительных соединений (витамина C и некоторых антоцианов), тогда как замораживание сохраняет бόльшую часть биологически активных веществ ( Jurikova et al., 2019 ). В ходе исследований установлено, что замораживание в течение трех месяцев не оказывает особого влияния на содержание антоцианов, а также антиоксидантную активность ( Lohachoompol et al., 2004 ).
Различия в составе и количестве биологически активных компонентов определяют необходимость подбора оптимального сырья, а также способов его обработки для достижения максимальной эффективности использования диетического питания и профилактических препаратов.
Антиоксидантная активность
Оценка антиоксидантной активности ягод основана на их способности ингибировать и устранять свободные радикалы и активные формы кислорода, что позволяет снизить риск возникновения окислительного стресса в организме. Изучение антиоксидантных свойств осуществляется посредством различных лабораторных анализов, учитывающих конкретные механизмы реакций.
Основными методами оценки антиоксидантной активности являются тесты DPPH, ORAC и FRAP. Данные методы являются общепринятыми инструментами аналитической химии для определения антиоксидантной активности пищевых продуктов, экстрактов растений и других соединений. Каждый из указанных методов имеет уникальный механизм взаимодействия антиоксидантов с реактивами, определяющими чувствительность, избирательность и сферу практического применения методики в зависимости от характеристик изучаемых соединений.
Метод DPPH предполагает использование азотистого радикала 2,2-дифенил-1-пикрилгидразила, имеющего интенсивную фиолетовую окраску вследствие наличия обширной делокализованной π-электронной системы, присутствия неспаренного электрона и сильного электроноакцепторного влияния нитрогрупп в пикрильном фрагменте. Антиоксидант восстанавливает молекулу DPPH, при этом происходит изменение окраски раствора (рис. 2) (Котенкова и др., 2018).
Рис. 2. Схема восстановления молекулы DPPH образцом АО ( Котенкова и др., 2018 )
Fig. 2. Scheme of DPPH molecule reduction by sample AO ( Kotenkova et al., 2018 )
Реакцию контролируют спектрофотометрическим методом (длина волны λ = 517–520 нм), который позволяет измерить количество антиоксиданта, необходимое для 50%-го уменьшения первоначальной концентрации DPPH, а также необходимое для этого время. Эти параметры характеризуют антирадикальную емкость и эффективность ( Яшин, 2021 ).
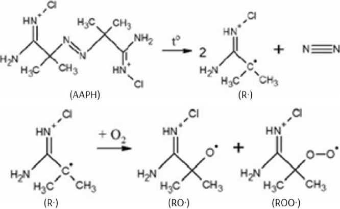
Абсорбционная емкость по отношению к кислородным радикалам определяется флуориметрическим методом ORAC. Он основывается на ингибировании оксидативного повреждения флуоресцирующего вещества, который инициируется пероксильными радикалами вследствие разложения азосоединения AAPH (рис. 3).
Рис. 3. Схема образования кислородных радикалов из ААРН ( Котенкова и др., 2018 )
Fig. 3. Scheme of oxygen radical formation from AAPH ( Kotenkova et al., 2018 )
Флуоресцирующим соединением обычно выступает флуоресцеин. Он теряет свою люминесценцию при повреждении молекулами активного кислорода. Присутствие антиоксидантов замедляет этот процесс, и изменение флуоресценции регистрируют во временном интервале. Интенсивность флюоресценции определяют при длине волн λвозб = 490 нм и λисп = 530 нм на флюориметре. Количественное определение антиоксидантной активности осуществляется по площади между двумя кривыми – свободной реакции и с добавлением антиоксиданта (рис. 4) ( Тринеева, 2017 ).
Метод FRAP оценивает потенциал антиоксидантов восстанавливать ионы трехвалентного железа. При низком значении pH среды и соединения 2,3,5-трифенил-1,3,4-триаза-2-азонияциклопента-1,4-диенхлорида (сокращенно TPTZ) комплекс преобразуется в восстановленную форму Fe+2. Суть реакции состоит в передаче электрона от антиоксидантной молекулы к молекулам окисляющих агентов согласно схеме, указанной на рис. 5. Этот процесс сопровождается образованием интенсивного синего цвета, имеющего максимум поглощения при длине волны λ = 593 нм; антиоксидантную активность рассчитывают по градировочному графику.
мин
Рис. 4. Принцип определения АОА по изменению продолжительности флуоресценции:
кривая 1 – кинетика флуорисценции в отсутствии АО; кривая 2 – то же в присутствии АО ( Тринеева, 2017 ) Fig. 4. Principle of antioxidant activity (AOA) determination based on fluorescence duration changes.
Curve 1 – fluorescence kinetics in the absence of AO, curve 2 – the same in the presence of AO ( Trineeva, 2017 )
Рис. 5. Схема химических превращений по методу FRAP ( Котенкова и др., 2018 )
Fig. 5. Chemical reaction scheme of the FRAP method ( Kotenkova et al., 2018 )
Также альтернативным методом анализа комплексных смесей антиоксидантов является метод Фолина – Чокальтеу. Данный спектрометрический метод основан на том, что реактив содержит фосфорновольфрамовые кислоты, окисляющие гидроксогруппы фенола. При этом в исследуемом растворе образуется вольфрамовая синь. Оптическая плотность образца измеряется при длине волны 765 нм.
В качестве стандарта при использовании данного метода используются галловая, хлорогеновая, феруловая кислоты, катехол, катехин и др. Следует учесть тот факт, что в зависимости от выбранного стандарта значения общего содержания фенолов могут отличаться, причем результаты напрямую не могут быть сопоставлены. В большинстве исследований в качестве стандарта выбирается галловая кислота вследствие ее высокой растворимости в воде, стабильности в сухом виде и низкой стоимости. В таком случае результат рассчитывают по градировочному графику и выражают в мг-экв. галловой кислоты на 1 г исследуемого образца. Для анализа общего содержания фенолов необходимо установление общепринятого оптимального стандарта, чтобы все исследователи могли рационально сравнивать результаты ( Bastola et al., 2017 ).
Анализ данных свидетельствует, что большинство дикорастущих ягод, в том числе черника, клюква и малина, характеризуются значительной антиоксидантной активностью; лидером по этому показателю традиционно считается черника (табл. 1).
Таблица 1. Антиоксидантная активность, определенная различными методами ( Borges et al., 2010; Жбанова, 2018; Яшин и др., 2019, 2021 )
Table 1. Antioxidant activity assessed by different methods ( Borges et al., 2010; Zhbanova, 2018; Yashin et al., 2019, 2021 )
|
Ягода |
FRAP, μmol Fe²⁺/g |
ORAC, μmol TE/g |
Амперометрический метод, ×20 мг/г* |
ССА, мг/100 г |
|
Черника |
30,0 ± 1,9 |
44,6 |
2 480 |
406 |
|
Малина |
27,7 ± 1,1 |
13,1–45,2 |
378 |
171 |
|
Клюква |
18,6 ± 0,3 |
8,2–14,1 |
70 |
270 |
Примечание. *Данные, полученные амперометрическим методом, представлены в соответствии с оригинальной методикой ( Яшин, 2021 ) в условных единицах, эквивалентных миллиграммам кверцетина на грамм образца; коэффициент "×20" является частью методики.
Высокое содержание антоцианов, особенно малвидина, цианидина и дельфинидина, придает чернике уникальные защитные свойства. Клюква выделяется высоким уровнем проантоцианидинов по сравнению с другими ягодами (табл. 2).
Таблица 2. Содержание антоцианов и проантоцианидинов ( Szajdek et al., 2008; Яшин и др., 2019) Table 2. Anthocyanin and proanthocyanidin content ( Szajdek et al., 2008; Yashin et al., 2019 )
|
Ягода |
Антоцианы, мг/100 г |
Проантоцианидины, мг/100 г |
Лигнаны, мг/100 г |
|
Черника |
214,7–296,4 |
27,0 ± 17,5 |
37,1 |
|
Малина |
19–51 |
30,2 ± 23,4 |
– |
|
Клюква |
19,8–65,6 |
418,8 ± 75,3 |
15,1 |
Важно подчеркнуть, что анализы in vitro не всегда точно отображают истинную биологическую активность антиоксидантов in vivo. Антоцианы имеют низкую биодоступность для организма, а некоторые компоненты, содержащиеся в продукте, могут ингибировать биоактивность флавоноидного соединения (например, влияние пектина на антиоксидантную способность в тестах in vitro) ( Giampieri et al., 2012 ). В иных ситуациях сопутствующие соединения, сами по себе не обладающие биоактивностью, могут работать совместно с биофлавоноидом, усиливая его биодоступность или всасывание, поэтому синергизм антиоксидантов также играет существенную роль ( Lila et al., 2004 ). Отдельные компоненты менее эффективны, чем их комбинация: красное вино и виноградный сок эффективно снижают образование тромбов за счет сильного взаимодействия флавоноидов, содержащихся в виноградной кожице и косточках.
Таким образом, определение уровня антиоксидантной активности осуществляется посредством различных лабораторных методик, каждая из которых выявляет определенные аспекты взаимодействия антиоксидантов с радикалами или ионами металлов. Методы DPPH и FRAP широко используются для определения антиоксидантной активности растительных экстрактов благодаря своей относительной простоте реализации и быстроте получения результатов с высокой повторяемостью. Метод ORAC требует дорогостоящего оборудования и занимает больше времени, однако является одним из наиболее информативных кинетических методов, позволяющих учесть как степень, так и продолжительность ингибирования действия свободных радикалов, что делает его более приближенным к биологическим условиям. Спектрофотометрический метод Фолина – Чокальтеу широко используется для оценки общего содержания фенолов, однако его универсальность ограничивается тем, что результаты зависят от выбранного стандарта. Для всесторонней оценки антиоксидантного потенциала как рассматриваемых ягод (малина, клюква и черника), так и других объектов, важно комбинировать методы, учитывая их чувствительность к различным типам соединений, преобладающим в конкретных образцах.
Практическое применение
Широкий набор биологически активных веществ и выраженная антиоксидантная активность делают ягоды черники, малины и клюквы востребованными ингредиентами в пищевой промышленности, нутрицевтике, медицине и косметологии. Использование ягод актуально как в натуральном виде, так и в обработанном состоянии: сушеном, концентрированном, порошкообразном и соковом виде. Ягоды добавляют в напитки, йогурты, десерты, выпечку и сухие смеси для расширения ассортимента, а также с целью обогащения рациона антиоксидантами и поддержания здоровья потребителя.
Пищевая промышленность активно внедряет природные ингредиенты, содержащие антоцианы, витамины и минералы, для придания продуктам оздоровительных свойств. Особенно популярными стали ягодные чаи, соки и сиропы, созданные на основе черники и клюквы, обладающих противовоспалительными, кардиопротекторными и ангиопротективными качествами за счет содержания полифенолов и антиоксидантных веществ. Сухие порошки и капсулы, изготовленные на основе ягодных экстрактов, удобны для длительного хранения и транспортировки, сохраняя полезные вещества даже при воздействии неблагоприятных температурных условий (Kalt et al., 2000).
Фармацевтика использует экстракты ягод для лечения и профилактики широкого спектра состояний, включая хронические воспаления, болезни сердца, гипертензию и нарушение углеводного обмена ( Del Rio et al., 2013 ). Проантоцианидины клюквы известны своим эффектом уменьшения бактериального прикрепления к слизистым оболочкам мочевых путей, что помогает предотвратить инфекции мочевыводящей системы ( Jepson at al, 2012 ). Антоцианы черники способствуют улучшению функций мозга, включая зрение ( Kalt et al., 2020 ), а также установлено, что экстракт черники предотвращает фотоповреждение сетчатки ( Osada et al., 2017 ).
Экстракты ягод находят широкое применение в косметических средствах. Компоненты ягод защищают кожу от повреждающего действия ультрафиолетового излучения, помогают бороться с признаками старения кожи и повышают тонус тканей ( Nichols et al., 2010 ).
Вместе с тем ряд практических проблем препятствует массовому внедрению ягодных экстрактов в коммерческие продукты. Ограничивающие факторы включают нестабильность антоцианов при нагревании, низкую растворимость полифенолов в воде, сложность контроля дозировки активных веществ в готовых продуктах ( Kaur et al., 2014 ). Современные исследования направлены на разработку технологий инкапсуляции, позволяющих защитить БАВ от разрушительного действия внешней среды и обеспечить постепенное выделение полезных веществ в организме.
Разнообразие и ценность биологически активных веществ ягод открывают возможность создания полезных продуктов для улучшения здоровья и профилактики болезней. Однако чрезмерное потребление полифенолов может иметь и вредные последствия, особенно в случаях, когда соединения изолированы, а не употребляются в составе пищи ( Williamson, 2017 ).
Результаты и обсуждение
Проведенное исследование литературных источников показало, что многие виды диких ягод (черника, клюква, малина) отличаются высокими показателями антиоксидантной активности благодаря содержанию различных полифенолов (антоцианов, фенольных кислот, дубильных веществ, флавоноидов). Данные соединения успешно подавляют образование реактивных форм кислорода и азота, они блокируют ферменты, продуцирующие прооксиданты, и образуют стабильные комплексы с металлами. Регулярное употребление ягод помогает предотвратить развитие различных хронических болезней, вызванных окислительными процессами, таких как заболевания сердца и сосудов, рак и дегенерация нервной ткани.
Антоцианы занимают особое положение среди природных антиоксидантов, их концентрация в чернике доходит до 487 мг на каждые 100 г продукта, поэтому черника является одним из лучших источников данного типа веществ. Особенность антоцианов состоит в их способности не только уничтожать свободные радикалы, но и влиять на генетические механизмы, регулируя работу ферментов антиоксиданта.
Водорастворимый витамин C, содержащийся в больших объемах в ягодах, обладает способностью связывать свободные радикалы. Клюква выделяется высокой концентрацией аскорбиновой кислоты (в ягодах сорта Oxycoccus palustris содержание доходит до 76,8 мг на 100 г) ( Лютикова и др., 2015 ), превосходящей аналогичные показатели других видов ягод. Малина также служит источником витамина C (15,4–32 мг/100 г), покрывая примерно треть ежедневной нормы организма ( Szajdek et al., 2008 ). В чернике содержится около 12,4–13,1 мг/100 г этого витамина.
Истинная польза ягод определяется не только уровнем концентрации антиоксидантов, но и эффективностью их усвоения организмом. Исследование показало, что большинство флавоноидных соединений имеют низкую степень всасывания: уровень этих веществ в плазме крови меньше, чем уровень известных антиоксидантов, таких как аскорбиновая кислота или глутатион. Причинами тому служат сложности с метаболизмом, низкая растворимость и тот факт, что циркулируют чаще всего не сами первоначальные соединения, а их производные.
Химический состав ягод показывает, что они являются источником не только антиоксидантов, но и целого спектра других питательных веществ. Дикорастущие ягоды включают значительное количество органических кислот (лимонную, яблочную и щавелевую), играющих ключевую роль в кислотно-щелочном балансе организма. Ягоды снабжают организм пищевыми волокнами, такими как пектин, клетчатка и гемицеллюлоза, благотворно влияющими на пищеварение и поддерживающими полезную микрофлору кишечника. Богатый минеральный состав ягод, включающий калий, магний, кальций, марганец и железо, поддерживает важные физиологические процессы, начиная от регулирования водного и солевого баланса и заканчивая производством клеток крови.
Ягоды приносят несомненную пользу здоровью благодаря своему антиоксидантному действию и другим функциональным свойствам, однако избыток определенных соединений, полученных отдельно или в форме концентрированных препаратов, способен вызвать обратный эффект, включая усиление окислительных процессов, нарушение обмена веществ и баланса микрофлоры кишечника. Оптимальный вариант – получать полезные вещества именно из натуральных продуктов, содержащих одновременно антиоксиданты, пищевые волокна, микроэлементы и витамины.
Дикие ягоды обладают мощным антиоксидантным действием и являются ценным компонентом в рационе здорового питания. Полноценная оценка влияния ягод на здоровье должна учитывать разнообразные факторы: условия выращивания, стадию спелости, форму приготовления, индивидуальные особенности каждого человека. Для лучшего понимания роли ягод в профилактике заболеваний, связанных с окислительным повреждением тканей, требуются дополнительные научные исследования, изучающие биодоступность и взаимодействие различных компонентов пищи.
Заключение
В результате проведенного исследования установлена зависимость антиоксидантной активности ягод от множества факторов, таких как сорт, стадия зрелости, технология хранения и обработки. Трудности прямого сравнения результатов исследований обусловлены отсутствием единых стандартов и критериев оценки антиоксидантной активности. Вместе с тем признано, что низкая биодоступность полифенолов компенсируется их метаболитами, сохраняющими частичные положительные эффекты.
Малина, черника и клюква обладают различными профилями биологически активных веществ, каждое из которых может иметь собственное целевое назначение. Перспективным направлением будущих исследований становятся изучение синергизма биологически активных компонентов ягод и разработка специальных форм доставки, таких как инкапсуляция, позволяющих увеличить доступность и длительность действия биологически активных веществ. Данное направление позволит создать новые поколения лекарственных препаратов и обогатить рынок функциональных и диетических продуктов, способствующих укреплению здоровья и профилактике заболеваний.