Ecological Monitoring of Breeding Populations of Anatinae in the Absheron Peninsula (Azerbaijan)

Автор: Huseynov R., Agayeva Z.

Журнал: Бюллетень науки и практики @bulletennauki

Рубрика: Естественные науки

Статья в выпуске: 2 т.12, 2026 года.

Бесплатный доступ

From 2018 to 2025, a year-round, species-specific monitoring of mallards in the Absheron Peninsula was conducted, covering both abundance and all key aspects of biology. The data obtained allowed us to identify certain species characteristics associated with their habitat in anthropogenically transformed areas and reliably demonstrate the existence of a well-established mallard population. For the first time, the socioeconomic conditions for the use of existing duck resources were examined, and recommendations for resource management were provided. The information obtained significantly complements existing data on duck biology and can be used to adjust hunting parameters in suburban hunting areas.

Еще

Ecological groups, egg laying, popullation, ecomonitoring, nesting

Короткий адрес: https://sciup.org/14134422

IDR: 14134422   |   УДК: 598.2/9-15   |   DOI: 10.33619/2414-2948/123/10

Экологический мониторинг гнездовых популяций Anatinae на Апшеронском полуострове (Азербайджан)

С 2018 по 2025 год проводился круглогодичный видоспецифический мониторинг крякв на Апшеронском полуострове, охватывающий как численность, так и все ключевые аспекты биологии. Полученные данные позволили выявить определенные видовые характеристики, связанные с их местообитанием в антропогенно преобразованных районах, и достоверно продемонстрировать существование хорошо сформировавшейся популяции крякв. Впервые были изучены социально-экономические условия использования существующих ресурсов уток, и были даны рекомендации по управлению ресурсами. Полученная информация значительно дополняет существующие данные о биологии уток и может быть использована для корректировки параметров охоты в пригородных охотничьих угодьях.

Еще

Текст научной статьи Ecological Monitoring of Breeding Populations of Anatinae in the Absheron Peninsula (Azerbaijan)

Бюллетень науки и практики / Bulletin of Science and Practice

Ducks, one of the most important transboundary waterfowl resources, are hunted in more turean 50 countries worldwide, including 45 regions of the Republic of Azerbaijan (Figure 1). Therefore, monitoring waterfowl and their habitats is of great international importance. Secondly, there is a lack of monitoring in populated areas and other territories that are not designated as hunting grounds or specially protected natural areas but are duck habitats. Related to this area is research on the avifauna of anthropogenic landscapes, particularly urban areas [1, 2].

Figure 1. Study area in Absheron Peninsula (40.191935, 49.491381; 40.338410, 49.838480; 40.213140, 49.557470; 40.064757, 49.420136 and others). Note: Red points - рlaces where mallards are most often found

Due to increasing anthropogenic pressure, this topic remains relevant, and ornithological studies are being conducted in many places, compiling lists of the avifauna of cities and suburban areas. In accordance with the Federal Law "On Environmental Protection," green belts are currently being actively created around cities. Priority areas of activity in these zones include: environmental protection, protection of individual natural complexes and sites, scientific research, environmental education, and tourism development. Therefore, a systematic survey of the forest-park green belt is becoming essential and, in our case, allows us to assess the reserve of available renewable resources when considering this belt as a reserve. Including natural, natural-anthropogenic, and anthropogenic areas, the forest-park green belt serves as a permanent habitat for ducks, which have important socioeconomic, reserve (for dispersal), and ecological significance, primarily for hunting, as the primary user of these resources [3-5].

Methods

The date of first egg laying and the start of incubation were determined based on average incubation times and the number of eggs in the clutches. The influence of temperature factors was analyzed using standard methods. To facilitate the analysis of the relationship between dates and other indicators, the number of days elapsed from a fixed date to the first egg laying, as well as the date of the onset of positive average daily air temperature, were used in the calculations. The presence and statistical significance of relationships between abundance and reproduction indicators and with meteorological factors were assessed using nonparametric correlation analysis. Biotopes were described visually during population censuses. Habitat conditions were determined based on ecotopic, biotic, and anthropogenic factors that characterize the protective and foraging potential of habitats. The images were then processed using our specially developed duck counting software, "CountDucks." This program allows you to count the number of females and males [6-8].

Results

Mallards, as a partially synanthropic species, have a more extended pairing period, beginning as early as the third ten-day period of September. During this period, isolated pairs formed during the combined molt, which took place within the city limits, are observed. In October and November, a fairly large number of pairs (10-35) are observed on urban waterways: for example, on waterways on the Absheron Peninsula, we observed up to 25 pairs at the end of October [1].

The degree of overgrowth of a reservoir, which affects the protection of lands, is significant only in natural and natural-anthropogenic reservoirs; in residential areas, mallards can inhabit reservoirs without any coastal vegetation. The highest population density is observed during the autumn migration period on natural water bodies (40.3 individuals/ha) and during wintering in the residential area (4011.2 individuals/ha). In the second half of April, pair formation in dabbling ducks ends, and fights between males are quite rare. In May and June, pairs are still observed, but in smaller numbers. In July, pairs are quite rare. Pairs typically disband after the female settles on her eggs. Males and uncaught females then form groups for the molting period. We recorded two instances of a male mallard participating in raising a brood: May 23, 2018, at Sangachal Terminal and July 30, 2024, on the shores of Yashma (Figure 2). In both cases, the chicks were no more than a week old. When threatened, the female would fledge, while the male would call the chicks to him, as the female usually does (Figure A and B).

Figure 2. Summer population mallards dynamics on the Absheron Peninsula from 2018 to 2025

А

Figure 3. Correlation analysis of the number of wintering mallards in two polynyas with average winter season temperature (A) and open water area (B)

During autumn migrations, injured mallards were often spotted on ponds, some of which remained for the winter. The most common specimens were those with broken wings, missing flight and tail feathers, broken or missing legs, and broken beaks. In November 2020, a female was spotted with a broken arrow in her neck (Figure 4). Decoy ducks with torn leggings were also frequently spotted, which were subsequently also left for the winter. After analyzing the recorded pair sightings at ponds, we determined the approximate dates of pair separation, which fall around the end of the second ten-day period of April.

Comparing these dates with the start of incubation, we see that the recorded and calculated data generally match. This confirms that most pairs do separate in late April and early May (Figure 5).

A

B

C

D

A

Figure 5. Relationships between nest spacing, clutch size, and nest density in mallards on the Caspian Sea coast (Absheron Peninsula). Note: The solid line represents a linear regression with a Gaussian fit (upper line) and a Poisson fit (lower line), with the 96% confidence interval highlighted in light gray

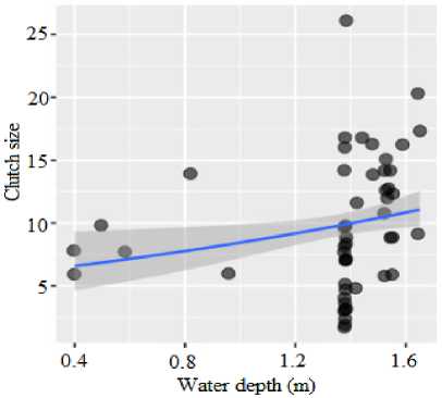
Figure 4. Clutch size per mallard nest as a function of nest height, vegetation height, distance between nests of conspecifics, water depth below the nest, and distance to the water depths and shore in the Caspian Sea (Absheron Peninsula). Note: Lines represent a linear regression with a Poisson GLM distribution and a 96% confidence interval, highlighted in light gray

B

Mallard and teal nests were found near bodies of water, where broods were later observed. Finding nests in urban areas was quite difficult. Firstly, the ducks camouflage them more carefully, secondly, the areas where broods were subsequently found are located in many private and protected areas. Mallard nests averaged 8.3 eggs (n=47), with a maximum of 14 (Figure 6).

Figure 6. Mallard breeding success as a function of clutch size, egg laying date, nest and nest site characteristics, and the density of conspecific breeding pairs on the lake. Note: Lines represent a linear regression with a Poisson GLM distribution, with the 96% confidence interval highlighted in light gray

Conclusion

We recommend that the Ministry of Ecology and Natural Resources of the Republic of Azerbaijan conduct annual species-specific monitoring of wintering waterfowl in the cities of Sumgait and Baku to facilitate timely management decisions. We also recommend that the Absheron Peninsula administration strengthen its information campaign to prevent duck feeding in the city during the spring, summer, and fall.