Математическое моделирование состава рецептуры и технологических параметров в производстве функциональной творожной массы
Автор: Гартованная Е.А., Ермолаева А.В., Карпич Д.А.
Журнал: Молочнохозяйственный вестник @vestnik-molochnoe
Статья в выпуске: 1 (61), 2026 года.
Бесплатный доступ
В данной работе рассматривается получение функциональной творожной массы, обогащённой экстрактами древесных грибов H. erinaceus (ежовик гребенчатый) и G. lucidum (трутовик лакированный) и ягодным компонентом на основе математического моделирования. Согласно методологии авторов, построение математических моделей методом полного факторного эксперимента включает следующие этапы: планирование эксперимента, оценку воспроизводимости результатов, получение регрессионной модели с последующей проверкой статистической значимости коэффициентов (по критерию Стьюдента) и адекватности модели (по критерию Фишера). Расчётные значения Фишера составили F=7,97. Полученное уравнение регрессии адекватно описывает процесс в пределах исследуемой области. Проведенные исследования показали оптимальные значения определяемых факторов: оптимальная температура растворения 31,60С (tраст); количество вводимого растворителя (экстракта древесных грибов) 19 (гр., кг) или 19%; (Кэкстр) и количество вносимого порошка из ягод винограда амурского 11г на 100 основы (Dпор ) или 11%, на основе которых составлена рецептура творожной массы. Проведённый анализ на остаточное содержание пестицидов и микробиологических показателей подтверждает безопасность разработки.
Творожная масса, экстракт древесных грибов, виноград амурский, планирование эксперимента, регрессионный анализ, оптимизация рецептуры, содержание пестицидов
Короткий адрес: https://sciup.org/149150666
IDR: 149150666 | УДК: 637.12:635.8 | DOI: 10.52231/2225-4269_2026_1_162
Mathematical modeling of the recipe composition and technological parameters in the production of functional curd mass
This paper presents the production process of a functional curd mass enriched with extracts of wood fungi Hericium erinaceus (Lion’s mane) and Ganoderma lucidum (Reishi mushroom) and a berry component based on mathematical modeling. According to the authors’ methodology, the development of mathematical models by using the full factorial experiment method includes the following stages: experiment planning, evaluation of the result reproducibility, developing a regression model with subsequent testing of the statistical coefficient significance (according to the Student’s criterion) and the model adequacy (according to the Fisher criterion). The calculated Fisher values have been F=7.97; the resulting regression equation adequately describes the process within the study area. The conducted studies have shown the optimal values of the determined factors, that is the optimal dissolution temperature is 31.60C; the amount of introduced solvent (wood fungi extract) is 19 (g, kg) or 19%; and the amount of the introduced Amur grape berry powder is 11g per 100 base or 11%, on the basis of which the curd mass recipe has been developed. The analysis of residual pesticides and microbiological indicators confirms the safety of the development.
Текст научной статьи Математическое моделирование состава рецептуры и технологических параметров в производстве функциональной творожной массы
Молочное производство имеет стратегическое значение в пищевой промышленности. Его основная задача - обеспечение населения качественной и разнообразной молочной продукцией. Значимость молока в рационе питания несомненна для людей всех возрастов, полов, профессий и вероисповеданий. Молочные продукты обеспечивают организм наибольшим количеством необходимых питательных веществ по сравнению с другими продуктами, оставаясь при этом доступными для всех слоев населения [1].
Разработка рецептуры и технологии полноценных комбинированных продуктов опирается на развитии особого направления в пищевой технологии - проектировании продуктов питания. При их создании очевидно основополагающее влияние медико-биологических критериев, позволяющих определить, по какому принципу и в каких пропорциях применим тот или иной рецептурный компонент, где, прежде всего, учитывают эквивалентность заменяемого сырья по биологической ценности [2]. Управление качеством при проектировании продукта - это комплекс мер, направленных на обеспечение требуемого уровня качества с самого начала разработки. Это включает в себя планирование, контроль и улучшение процесса проектирования для достижения поставленных целей и удовлетворения требований потребителей.
«Основными средствами достижения этих целей является повышение эффективности и качества научных исследований, ускорение внедрения научных достижений в промышленность. Последнее внесет коррективы в ускорение разработки эффективных технологий кисломолочных продуктов. Использование новых методов планирования эксперимента с целью оптимизации технологических процессов позволит сократить продолжительность исследований по созданию новых видов продуктов. Одним из научных достижений последних лет является быстрое развитие экспериментально статистических методов исследования в различных отраслях, включая молочную» [3,4]. Согласно методологии авторов, математические модели строятся с использованием метода полного факторного эксперимента. Такой подход позволяет не только описать изучаемый процесс в экспериментально реализованных точках, но и экстраполировать модель для анализа перспективных, ранее не исследованных режимов, что особенно ценно при ограниченных возможностях практической реализации на этапе лабораторных испытаний.
В современном мире тема здорового питания становится чрезвычайно актуальной. Творожные продукты – источник белка, кальция и других полезных веществ. Они являются неотъемлемой частью рациона для тех, кто ценит свое здоровье. Уникальное сочетание питательных веществ делает творог частью сбалансированной диеты, потому что он является источником пребиотиков и пробиотиков, которые способствуют здоровью кишечника. Функциональные добавки позволяют создавать продукты, отвечающие не только самым разным вкусовым предпочтениям, но и удовлетворяющие потребности потребителей, ведущих здоровый образ жизни.
Творожная масса — молочный или молочный составной продукт из творога с возможным добавлением сливочного масла, сливок, сгущённого молока с сахаром, сахаров и/или соли, а также с возможным добавлением немолочных компонентов не в целях замены составных частей молока. [5]. Этому уникальному по своему составу продукту чаще всего можно добавить функциональность. Введение немолочных растительных компонентов и являются обогатителями. Особую актуальность в связи с этим приобретает разработка и внедрение в производство экологически безопасных, полноценных по составу продуктов питания, обладающих высокой пищевой и биологической ценностью. Сырьем для обогащенных продуктов питания могут являться пищевые лесные ресурсы, к которым согласно ст. 34 Лесного кодекса РФ относятся дикорастущие грибы, ягоды и лекарственные растения.
Дальний Восток, это уникальный природный регион, на территории которого сосредоточено огромное количество богатейших природных ресурсов. Пищевая ценность грибного и ягодного сырья и продуктов его переработки являются основной качественной характеристикой [6,7].
Ежовик Гребенчатый (лат. Hericium Erinaceus ), известный как дедушкина борода или львиная грива. Это съедобный гриб семейства Sarcodiaceae с белым или бежевым цветом плодовых тел неправильной формы, напоминающих львиную гриву, обладает противоопухолевыми, антиоксидантными, иммуномодулирующими, антибактериальными свойствами, представляет собой ценный гриб, с широким спектром положительных эффектов на организм человека, что делает его перспективным объектом для дальнейших исследований и разработок пищевых технологий [8].
Трутовик лакированный (лат. Ganoderma lucidum). Ганодерма – разновидность гриба, который приживается в корневище дерева или на его влажной коре. В размере гриб может достигать 25 сантиметров в диаметре, и такого же размера может быть его ножка. В природе этот трутовик найти достаточно сложно – он капризен к условиям произрастания и до 1972 года, пока не был открыт секрет оранжерейного выращивания ганодермы, гриб был мало доступен. Имеет высокий противоопухолевый эффект, обладает антиаллергенным воздействием, высоко ценится в медицине стран Юго-Восточной Азии.
Виноград амурский ( Vitis amurensis ) – самый зимостойкий вид лиановых. Растет в кедро-широколиственных и других смешанных лесах, по долинам рек, ручьев, на опушках и старых вырубках в Амурской области и Приморском крае. Является одним из перспективных видов сырья для обогащения продуктов питания и получения биологически активных добавок.
Ягоды мелкие, округлые, иссиня-черного цвета с обильным восковым налетом, средний вес одного плода 0,9 г. Мякоть мясистая, плотная, сочная, вкус варьируется от кислого до кисло-сладкого. Содержание сахаров невысокое, кислотность повышенная. По данным Резниченко И.Ю. и Фроловой Н.А. выявлено, что виноград амурский благодаря уникальному химическому составу может служить источником незаменимых нутриентов и является перспективным для использования в производстве пищевых продуктов, особенно с низкой пищевой и высокой энергетической ценностью [9].
Цель исследования - разработка рецептуры творожной массы, в составе которой немолочными компонентами являются объединённый водный экстракт древесных грибов и порошок из ягод винограда амурского. Разработать и адаптировать прогностическую математическую модель функционального кисломолочного продукта, позволяющую спроектировать рецептуру и определить оптимальные дозировки добавок и параметры технологического процесса с учётом их влияния на качество и безопасность готового продукта.
Творожную массу изготавливали по традиционной технологии с внесением функциональных компонентов на завершающих стадиях процесса. Все этапы направлены на обеспечение безопасности, стабильности структуры и сохранность биологически активных веществ.
Объекты и методы исследований
Органолептический анализ творожной массы проводили по 25-балльной шкале. Разработку описательной балльной шкалы оценки органолептических показателей осуществляли в соответствии с ГОСТ Р ИСО 22935-1-2011, ГОСТ Р ИСО 22935-2-2011, ГОСТ Р ИСО 5495–2005. Номенклатуру показателей качества определяли в соответствии с ГОСТ
31453-2013.
Математическую обработку экспериментальных данных проводили с использованием табличного процессора Microsoft Excel; математическое моделирование и определение трехфакторных зависимостей результатов исследований – с использованием программного обеспечения SigmaPlot 12.0.
Содержание аминокислот определялось с использованием высокоэффективной жидкостной хроматографии (ВЭЖХ), осуществляемой на аналитической ВЭЖХ-системе, состоящей из жидкостного хроматографа «Agilent 1100» с диодно-матричным детектором (при 338 нм). Разделение фенольных веществ проводили на хроматографической колонке Eclipse Plus C18 длиной 250 мм и внутренним диаметром 5 мм в градиентном режиме.
Определение остатков пестицидов СанПиН 1.2.3685-2021.
Бактерии группы кишечных палочек (БГКП) определяли в 0,0001 г продукта по ГОСТ 32901-2014, п. 8.5.1 Продукты пищевые. Методы выявления и определения количества бактерий группы кишечных палочек (колиформных бактерий). Методы определения количества мезофильных аэробных и факультативно-анаэробных микроорганизмов по ГОСТ 32901-2014. Методы определения патогенных организмов ГОСТ Р 51600-2000.
Результаты исследования и их обсуждение
При выборе объекта авторы учитывали результаты маркетингового исследования потребителей в г. Благовещенске. Исходя из полученных данных, следует, что 30% опрошенных респондентов предпочитают творог и творожные изделия. На выбор функциональных продуктов в первую очередь влияет цена - 45% и качество товара - 32%. Экологические свойства товара интересуют – 10%. Меньше всего потребителей интересуют мнение окружающих - 6%, наличие на упаковке знака, удостоверяющего безопасность товара - 5% и узнаваемость бренда -2%.
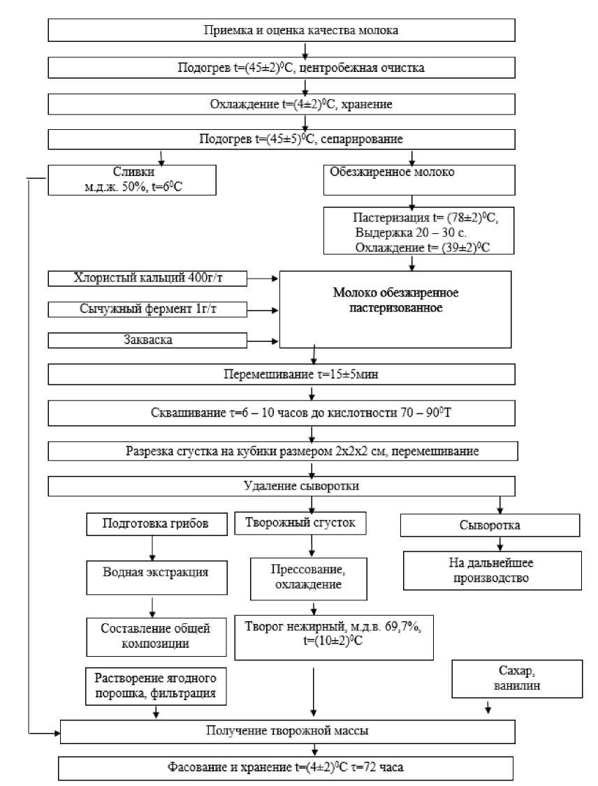
Технология производства творога включает в себя последующие технологические процессы: приемка и подготовка сырья; сепарирование, пастеризация и охлаждение до температуры заквашивания; заквашивание и сквашивание обезжиренного молока; обработка сгустка; удаление сыворотки, прессование и охлаждение сгустка; подготовка компонентов; приготовление замеса; расфасовка; упаковка, маркировка; хранение готового продукта.
В процессе проектирования продуктов питания была разработана творожная масса, включающая в себя кроме собственно творога, водный экстракт из двух видов древесных грибов, которые служили растворителем ягодному порошку, полученному из ягод винограда амур- ского (рисунок 1).
Не молочным компонентом в разработанной рецептуре являются водные экстракты двух видов древесных грибов Hericium erinaceus (ежовик гребенчатый) и Ganoderma lucidum (трутовик лакированный). Полученные экстракты исследовали на наличие флавоноидов, которые широко распространены в растительном царстве, в грибах же они встречаются гораздо реже и в значительно меньшем количестве, зато проявляют высокую антиоксидантную активность. [10,11]. Химический состав экстрактов, определяющий их пищевую ценность и органолептические показатели, зависели от возраста плодовых тел, субстрата, условий выращивания. Биологическая активность грибов обусловлена веществами, которые в них содержатся. [12,13]. Определение свободных аминокислот производилось методом высокоэффективной жидкостной хроматографии, полученные результаты свидетельствуют о наличии свободных аминокислот, обнаруженных в экстракте гриба H. Erinaceus , в количестве 6 мг/г для водного экстракта, что представляет практический интерес питательной ценности как сырья, удовлетворяющей потребности человека в аминокислотах [14]. Исходя из полученных данных, в полученном 2% экстракте полисахариды составляют 10% от адекватного потребления в 200 мг. Другие соединения, в том числе минеральные, были обнаружены в очень малом объёме и не представляют интерес, поэтому они не были внесены в результаты. Если сравнить полученные данные по содержанию флавоноидов, то в Hericium erinaceus они составляют 390,0 ±0,3 мкг/г, а в Ganoderma lucidum – 360,5±0,2 мкг/г, что более чем в два раза превышает показатели известной чаги [14].
Из полученных водных экстрактов была составлена общая композиция, в соотношении 1:1, в которой проводили растворение экспериментального ягодного порошка, произведенного из ягод винограда амурского в лаборатории.
Технология производства ягодного порошка заключается в его высушивании разными способами. Сначала ягоду сортируют и промывают водой при t = 12-15°С, затем производят удаление веточек и косточки, оставшийся жмых высушивают при t=55-60оС, продолжительностью τ=180-240 мин до остаточной влажности 5-8%. Высушенную массу охлаждают, измельчают до частиц < 50 мкм, просеивают, расфасовывают и упаковывают. Выбор способа сушки зависит от морфолого-анатомического строения сырья, его химического состава.
На следующем этапе определяли факторы, считающиеся наиболее значимыми, которые могут оказать влияние на качественные характеристики, творожной массы, чтобы получить математические модели. В качестве критерия оптимизации технологического процесса получе- ния творожной массы был принят основной критерий качества по пятибалльной шкале, учитывающий внешний вид, цвет, запах, вкус, консистенцию и общую оценку качества. В результате обработки априорной информации были выделены факторы, оказывающие наибольшее влияние на качественные показатели продукта [15,16].
При обосновании технологических параметров получения функциональной творожной массы был исследован процесс растворения порошка из ягод Vitis amurensis (винограда амурского) в водном грибном экстракте. Особое внимание уделено влиянию дозировки полученной смеси на органолептические свойства готового продукта.
Установлено, что качество творожной массы определяется совокупным действием трёх ключевых факторов:
-
- температурой растворения порошка ягод амурского, t раств , °C;
-
- количеством водного грибного экстракта Кэкстр , г;
-
- массовой долей (дозировки смесь экстракта и порошка винограда амурского) внесённой смеси в рецептуру творожной пасты, D пор , г на 100 г основы.
Рисунок 1 - Технологическая схема производства творожной массы
На основе полученных данных построена регрессионная модель зависимости органолептической оценки от указанных параметров, что позволило оптимизировать технологический режим и обеспечить максимальный балл по комплексному показателю качества [17,18]. Факторы и уровни варьирования представлены в таблице 1.
Таблица 1 – Факторы и уровни варьирования
|
Уровни варьирования |
t раств , 0С (Х 1 ) Температура растворения порошка винограда амурского, 0С |
Факторы К экстр , г (Х 2 ) Количество (г, кг) водного экстракта древесных грибов |
D пор , г (Х 3 ) Количество порошка винограда амурского |
|
Верхний уровень |
40,0 |
21,0 |
15 |
|
Основной уровень |
30,0 |
19,0 |
10 |
|
Нижний уровень |
20,0 |
17,0 |
5 |
|
Интервал варьирования |
10,0 |
2,0 |
5 |
После реализации эксперимента по стандартной матрице ортогонального центрально-композиционного плана и в результате регрессионного анализа получили следующую математическую модель процесса получения функциональной творожной массы:
Y =27,227+0,1143Х1-0,1953Х3+0,1Х1Х2-0,1667Х1Х3-0,3667Х2Х3 +0,1667Х1Х2Х3-0,2084Х12-0,4052Х22-0,3068Х32 → max
После преобразования формула примет вид:
Y =24,44-0,0722 Х1+0,2322Х2+0,64578Х3+0,005Х1Х2-0,0065Х1Х3-0,0084Х2Х3-0,00016Х1Х2Х3-0,002084Х12-0,0010Х22-0,0123Х32 → max
Перейдя от кодированных значений факторов (X1; X2; X3) к натуральным (t раств ; Кэкстр ; D пор ), получили модель производства творожной массы функционального назначения в следующем виде:
Y=24,11-0,0722 t раств +0,2322 К экстр +0,64578 D пор +0,005 t раств К экстр -0,0065 t раств D пор -0,0084 К экстр D пор -0,00016 t раств К экстр D пор - 0,002084 t2 раств -0,0010 К2экстр -0,01223 D2 пор → max
При t раств =30 формула примет вид:
Y=20,3984+0,3822 К экстр -0,841 D пор +0,84078 D пор -0,0132 К экстр D пор 0,0010 К2экстр -0,06123 D2 пор
-
При Кэкстр =19 формула примет вид:
Y=28,4 р 908+0,0228 t раств +0,46618D пор -0,00954 t раств D пор 0,02084 t2 раств -0,0123 D2 пор
-
При Dпор =11 формула примет вид :
Y=29,667-0,1372 t раств +0,14822 К экстр +0,0034 t раств К экстр
-0,062084 t2 раств -0,0010 К2 экстр
Адекватность моделей оценивалась по критерию Фишера. Сумма квадратов, определяющая неадекватность результатов эксперимента, определялась по формуле со степенью свободы:
F1=N-R-1
Сумма квадратов, связанная с дисперсией и характеризующая ошибку опыта, определялась по формуле со степенью свободы:
F=N-(m-1)
Адекватность модели подтверждается с вероятностью Pp=0,95 при коэффициенте корреляции R=0,872.
Расчётные значения Фишера составили F=7,97. Полученное уравнение регрессии адекватно описывает процесс в пределах исследуемой области.
После получения адекватных математических моделей с отклонениями и обусловленным влиянием каких-либо неучтенных факторов на качество творожной массы, не превышающих допустимые, определялись координаты оптимума и изучались поверхности отклика (рисунки 2-5).
Рисунок 2 – Поверхность отклика N = f (t раст = 30 ºС; К экстр ; D пор )
отклика N = f
Рисунок 3 – Поверхность ( экстр ; раст ; пор )
Рисунок 5 – Фото опытных образцов
Рисунок 4 – Поверхность отклика
N = f (D пор =11г; t раст ; К экстр ; )
Проведенные исследования позволяют сделать вывод, что оптимальными значениями факторов являются:
-
- температура растворения порошка 31,60С (tраст);
-
- количество вводимого растворителя (экстракта древесных грибов) 19 (гр., кг) или 19%; ( Кэкстр );
-
- количество вносимого порошка из ягод винограда Амурского 11г на 100 основы ( D пор ) или 11%.
С учетом полученных параметров разработана рецептура творожной массы функционального назначения (таблица 2).
Таблица 2 - Рецептура
Количество, г (кг)
Наименование сырья
|
Творог нежирный с м.д.в. 69,7% |
553,15 |
|
Сливки с м.д.ж. 50% |
112,8 |
|
Сахар-песок |
60,0 |
|
Порошок винограда амурский |
60,0 |
|
Ванилин |
0,05 |
|
Экстракт водный грибов |
214,0 |
|
Итого |
1000,0 |
Согласно разработанной технологии, сырьё контролируют по показателям качества и безопасности в соответствии с действующей нор- мативно-технической документацией [19].
Результаты проведения анализа по определению остатков пестицидов в порошке из ягод винограда амурского представлены в таблице 3.
Таблица 3 – Определение остатков пестицидов в порошке из ягод винограда амурского
|
Наименование кода пестицида |
Ягодный порошок |
СанПиН 1.2.368521 |
|
1. ID17:gamma-BHC |
0,03408 |
0,5 |
|
2. ID64:p.p-DDТ |
0,00014 |
0,1 |
|
3. ID16:peta- BHC |
0,00002 |
0,001 |
|
4. ID59: p.p-DDD |
0,00007 |
0,1 |
|
5. ID60: o.p-DDТ |
0,00010 |
0,1 |
|
6. ID49: p.p-DDE |
0,00001 |
0,1 |
|
7. ID53: o.p-DDD |
0,00007 |
0,1 |
|
8. ID23:Metribuzin |
0,01422 |
0,1 |
|
9. ID43: o.p-DDE |
0,00001 |
0,1 |
|
10. ID12:Mexachlorobenzene |
0,00010 |
0,001 |
|
11. ID15:Clomazone |
0,01138 |
0,1 |
|
12. ID2:Diehlorvos |
- |
0,05 |
|
13. ID11:alpha-BHC |
0,00002 |
0,001 |
Содержание пестицидов в винограде влияет на здоровье человека и состояние окружающей среды. Высокое содержание пестицидов может привести к отравлениям, а также к накоплению токсичных веществ в организме, что со временем может вызвать серьезные заболевания. По данным таблицы 3 пестициды, содержащиеся в ягодах винограда амурского, не превышают установленные предельно допустимые значения, что подтверждает возможность использования ягод в производстве продуктов питания.
Готовая творожная масса была исследована по микробиологическим показателям, представленным в таблице 4.
Таблица 4 - Микробиологические показатели
|
Наименование показателя |
Нормы не более КОЕ/г |
Показатели в продукте КОЕ/г |
|
Количество мезофильных аэробных и факультативноанаэробных микроорганизмов (КМАФАнМ) |
5 * 104 |
2*104 |
|
Бактерии группы кишечных палочек (БГКП, колиформы), в 0,1г |
Не допускается |
Не обнаружены |
|
Патогенные микроорганизмы, в т.ч. сальмонеллы, в 10 г |
Не допускается |
Не обнаружены |
Вывод
Проведена апробация разработанной регрессионной модели оптимизации технологического процесса получения творожной массы функционального назначения. Полученные математические зависимости адекватно описывают влияние варьируемых факторов на показатели качества продукта и могут использоваться в качестве критериального основания при формировании множества рецептурно-технологических решений. Применение модели позволяет осуществлять виртуальный анализ перспективных технологических режимов, в том числе выходящих за пределы экспериментально реализованной области, что особенно актуально при ограничениях физической реализуемости опытов на лабораторном этапе. Внедрение предложенного подхода сократило общую продолжительность исследований по оптимизации процесса более чем в 2 раза, повысив эффективность проектирования новых продуктов. Полученный творожный продукт отвечает всем требованиям безопасности.