Основной фрагмент собственного магнитного поля магнитных систем электротехнических устройств – спиновый магнитный поток
Автор: Павлов В.Д.
Журнал: Журнал Сибирского федерального университета. Серия: Техника и технологии @technologies-sfu
Рубрика: Исследования. Проектирование. Опыт эксплуатации
Статья в выпуске: 1 т.19, 2026 года.
Бесплатный доступ
Отмечено, что спиновый магнитный поток электрона, являясь основой собственного магнитного поля ферромагнетиков, до сих пор не установлен. Считается, что квант магнитного потока создается исключительно куперовскими парами, что он вдвое меньше кванта Ф. Лондона и со спинами электронов не связан. Цель исследования заключается в установлении спинового магнитного потока электрона. Проблема при этом заключается в том, что общепринятая концепция спина электрона не позволяет его вычислить, что связано с неопределенностью структуры электрона. Задача работы поэтому состоит в принятии дополнительных временных (рабочих) допущений.
Электрон, куперовская пара, квант кинетического момента, квант магнитного потока, квант Ф. Лондона, спин, суперпозиция, квазиквант
Короткий адрес: https://sciup.org/146283252
IDR: 146283252 | УДК: 621.3.026.5
The Main Fragment of the Own Magnetic Field of Magnetic Systems of Electrical Devices Is the Spin Magnetic Flux
It is noted that the spin magnetic flux of an electron, being the basis of the proper magnetic field of ferromagnets, has not yet been established. It is believed that the quantum of magnetic flux is created exclusively by Cooper pairs, that it is half the quantum of F. London and is not associated with the spins of electrons. The purpose of the study is to establish the spin magnetic flux of an electron. The problem here is that the generally accepted concept of electron spin does not allow it to be calculated, which is due to the uncertainty of the electron structure. The task of the work, therefore, is to accept additional temporary (working) assumptions.
Текст научной статьи Основной фрагмент собственного магнитного поля магнитных систем электротехнических устройств – спиновый магнитный поток
Цитирование: Павлов В. Д. Основной фрагмент собственного магнитного поля магнитных систем электротехнических устройств – спиновый магнитный поток / В. Д. Павлов // Журн. Сиб. федер. ун-та. Техника и технологии, 2026, 19(1). С. 42–48. EDN: GQCDGX
Актуальность работы определяется тем, что спиновый магнитный поток электрона, являясь основой собственного магнитного поля ферромагнетиков [1–5], до сих пор не установлен.
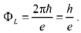
В 1948 г. Ф. Лондон вычислил квант магнитного потока от электрического тока, созданного одним электроном. Ключевым условием вычисления явилось приписывание электрону кванта кинетического момента ћ .
В 1956 г. Л. Купер описал двухчастичные системы коррелированных электронов (куперов-ские пары), возникающие в проводниках вследствие электрон-фононного взаимодействия [6]. Приписывание двухчастичной системе кванта кинетического момента ћ приводит к уменьшению вычисляемого значения кванта магнитного потока вдвое.
Ни Ф. Лондон, ни Л. Купер в своих расчетах не учитывали магнитные потоки, обусловленные спинами электронов.
В 1961 г. Б. С. Дивер и У. М. Фэрбэнк и независимо Р. Долл и М. Небауэр измерили квант магнитного потока. Результат оказался вдвое меньше кванта Ф. Лондона.
С тех пор считается, что квант магнитного потока создается исключительно куперовски-ми парами, что он вдвое меньше кванта Ф. Лондона и со спинами электронов не связан.
Цель исследования состоит в установлении спинового магнитного потока электрона.
Проблема при этом заключается в том, что общепринятая концепция спина электрона не позволяет его вычислить, что связано с неопределенностью структуры электрона.
Задача работы поэтому состоит в принятии дополнительных временных (рабочих) допущений.
Первый вывод формулы для кванта магнитного потока, обусловленного спином электрона
Геометрическая форма электрона неизвестна. Однако считается, что это не шар и не сфера. Это следует из формулы его классического радиуса
° 4шпе
Здесь μ 0 – постоянная магнитная, е – заряд электрона, me – масса электрона.
В случае шара формула имела бы вид:
e 5 4mne
В случае сферы формула имела бы вид:
r ° 2 4nme
Полная неопределенность формы электрона позволяет непротиворечиво представить его спин в виде момента импульса, образованного материальной точкой с массой электрона, обращающейся по окружности неопределенного радиуса (сколь угодно малого, причем его величина значения не имеет; предложенное допущение не рассматривается в качестве конкурирующего по отношению к известным описаниям спина электрона, например, в работах Белинфанте или [7]). Этот подход может иметь недостатки, но он имеет и существенное достоинство в виде возможности использовать готовую формулу для магнитного потока, созданного «током» одного электрона, полученную в [8] по схеме:
/Ф
r_2nR v ’
E = —— 2
л 2nRmv
Ф =----^—
e
Окончательно
Здесь Е – энергия, I – ток электрона, Т – период обращения электрона, R – радиус лабораторной трубки (в опытах Б. С. Дивера, У. М. Фэрбэнка, Р. Долла и М. Небауэра), v – линейная скорость единичного электрона, p – импульс единичного электрона.
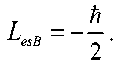
Спин электрона равен
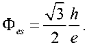
С учетом (1) квант магнитного потока, обусловленного спином электрона, равен
, 2nRp 2лЛ 2л д/з , ф ---- i-----^----/?
es е е е 2
Окончательно
Замечание 1 . Классический радиус ( r e ) в выкладках статьи не используется и поэтому на результаты не влияет. Упомянут исключительно для иллюстрации неопределенности формы электрона.
Замечание 2 . Выбирать R для формулы (1) не приходится. В полученную формулу (3) для спинового кванта магнитного потока радиус не входит («растворился» в спине). Поэтому его величина значения не имеет. По крайней мере, вполне можно считать, что он достаточно большой, чтобы не развивалась чрезмерная энергия.
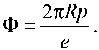
Экспериментальная верификация спинового кванта магнитного потока
Круговой ток в лабораторной трубке, образованный одним электроном, создает магнитный поток
Это формула Ф. Лондона [9].
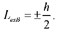
Спин электрона может иметь лишь две проекции на направление магнитного поля потока (4), а именно:
В силу закона сохранения момента импульса спин противоположен орбитальному моменту. Поэтому
Следовательно, магнитный поток, обусловленный спином электрона, вычитается из потока (4) (его проекция).
Таким образом, в 1961 г. Б. С. Дивер, У. М. Фэрбэнк, Р. Долл и М. Небауэр измерили орбитальный квант магнитного потока ОДНОГО электрона за вычетом проекции спинового кванта магнитного потока (через торцевые поверхности их лабораторных трубок)
л л _ л
е 2е 2е
Это квазиквант, а не квант от куперовской пары
ф
° 2е
Совпадение измеренного значения (5) с (6) является совершенно случайным.
Однако это совпадение является надежной экспериментальной верификацией формул (1), (3)–(5) и принятого допущения о спине электрона.
Второй вывод формулы для кванта магнитного потока, обусловленного спином электрона
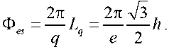
И квант магнитного потока Ф. Лондона (4), и квант от куперовской пары (6) представимы в виде ф,=-=—■
<7 9
Окончательно где q – заряд, Lq – квант кинетического момента.
Подстановка в эту формулу заряда электрона и его кинетического момента (спина) (2) непосредственно дает
Окончательно
Совпадает с (3), что также является надежной верификацией формул (1), (3)–(5) и принятого допущения о спине электрона.
Заключение
В [10] подробно показано, что приписывание куперовской паре электронов кванта ћ кинетического момента является неприемлемым. Поэтому в такой же степени неприемлемой является связанная с этим формула для кванта магнитного потока от куперовской пары (6).
В действительности существуют квант Ф. Лондона (4), квант магнитного потока (3), обусловленный спином электрона, и их суперпозиция (5) (квазиквант).
Его (квазиквант) и измерили в 1961 г.
Спиновый магнитный поток электрона равен
Именно он является основой собственного магнитного поля ферромагнетиков.
При этом принятые в работе допущения о спине электрона не отразились на окончательном результате и поэтому могут считаться временными (рабочими) и не противопоставляться общепринятой концепции спина.