Технология защиты черных и цветных металлов c использованием азотсодержащих органических соединений

Автор: Куанг Х.Д., Гайдар С.М., Пикина А.М., Лапсарь О.М., Нгуен Т.Т.С.

Журнал: Инженерные технологии и системы @vestnik-mrsu

Рубрика: Машиностроение

Статья в выпуске: 4, 2025 года.

Бесплатный доступ

Введение. Одним из перспективных классов ингибиторов коррозии являются летучие или парофазные, которые, испаряясь при температуре окружающей среды, адсорбируются на поверхности металлов и обеспечивают надежную антикоррозионную защиту. Летучие ингибиторы коррозии проникают в щели и зазоры, недоступные контактным ингибиторам, обеспечивают торможение коррозионных процессов по слоям продуктов коррозии. Их применение оправдано при герметизации защищаемого пространства, предотвращающей улетучивание ингибиторов. В настоящее время не существует слаболетучих ингибиторов коррозии, устойчивых к температуре выше 80 оС, поэтому используются различные упаковочные материалы, обладающие малой влаго- и газопроницаемостью. В процессе применения таких материалов при консервации металлических изделий выявлены недостатки: гигроскопичность бумаги, процесс деструкции летучих ингибиторов коррозии при температуре экструзии полимеров, большая доля ручного труда при консервации. Цель исследования. Разработать эффективную технологию защиты черных и цветных металлов с использованием азотсодержащих органических соединений – летучих ингибиторов коррозии. Материалы и методы. По результатам проведенных электрохимических и ускоренных испытаний рассчитаны скорость коррозии, степень защиты и коэффициент торможения. В качестве образцов, на которых было испытано антикоррозионное действие летучих ингибиторов коррозии, выбраны пластины из стали марки Ст3. Для определения защитной эффективности полученных ингибиторов проведены лабораторные испытания. Реагенты были представлены этаноламином, борной кислотой, моно(аминоэтил)боратом, ди(аминоэтил)боратом и три(аминоэтил)боратом; соотношение реагентов и температура реакции варьировались в процессе исследований. Результаты исследования. По результатам работы получена серия летучих ингибиторов коррозии. Определено, что при электрохимическом исследовании в 0,1 моль/л растворе хлорида натрия наилучшие результаты зафиксированы в составе на основе этаноламина и борной кислоты в соотношении три к одному, а именно три(аминоэтил)бората. Оптимальная концентрация ингибитора на стальных поверхностях при ускоренных испытаниях в среде с относительной влажностью воздуха 100 % составляет 200 г/м3. Обсуждение и заключение. Полученные результаты имеют потенциал для прикладного применения по защите от атмосферной коррозии черных и цветных металлов. Перспективной сферой их использования является защита с помощью летучих ингибиторов стального оборудования и систем электрозащиты, содержащих цветные (медь, латунь) металлы, в сельскохозяйственном производстве, машиностроении и других областях.

Еще

Ингибитор коррозии, реакция конденсации, аминоэтилборат, ди(аминоэтил)борат, три(аминоэтил)борат, этаноламин, борная кислота

Короткий адрес: https://sciup.org/147252716

IDR: 147252716   |   УДК: 620.197.3   |   DOI: 10.15507/2658-4123.035.202504.606-622

Investigation of the Protective Effectiveness of Nitrogen-Containing Organic Compounds in Protecting Ferrous and Non-Ferrous Metals

Introduction. A promising class of corrosion inhibitors is volatile or vapor-phase ones. They evaporate at ambient temperatures adsorbing on metal surfaces and providing reliable corrosion protection. Volatile corrosion inhibitors penetrate crevices and gaps inaccessible to contact inhibitors, inhibiting corrosion processes along layers of corrosion products. Their use is justified by sealing the protected space, preventing inhibitor evaporation. Currently, there are no low-volatile corrosion inhibitors resistant to temperatures above 80°C, so various packaging materials with low moisture and gas permeability are used. The use of such materials for preserving metal products has revealed several disadvantages: the hygroscopic nature of paper, the degradation of volatile corrosion inhibitors at polymer extrusion temperatures, and the high degree of manual labor required during preservation. Aim of the Study. The study is aimed at developing an effective technology for protecting ferrous and non-ferrous metals using nitrogen-containing organic compounds – volatile corrosion inhibitors. Materials and Methods. Based on the results of electrochemical and accelerated tests, the corrosion rate, protection level, and inhibition coefficient were calculated. St3 steel plates were selected as the samples on which the anticorrosive effect of volatile corrosion inhibitors was tested. Laboratory tests were conducted to determine the protective effectiveness of the resulting inhibitors. The reagents included ethnalolamine, boric acid, mono(aminoethyl)borate, di(aminoethyl)borate, and tri(aminoethyl)borate. The reagent ratio and reaction temperature were varied during the study. Results. A series of volatile corrosion inhibitors were obtained in this study. It was determined that, in electrochemical testing in a 0.1 mol/l sodium chloride solution, the best results were obtained with a composition based on ethanolamine and boric acid in a three-to-one ratio, namely, tri(aminoethyl)borate. The optimal inhibitor concentration on steel surfaces during accelerated testing in an environment with 100% relative humidity is 200 g/m³. As a result of theoretical and experimental studies, there was found the dependence of the traction coefficient of the driving wheels on pneumatic tires during the general case of motion. Discussion and Conclusion. The results obtained have potential for practical application in atmospheric corrosion protection of ferrous and non-ferrous metals. A promising area of application is the protection of steel equipment and electrical protection systems containing non-ferrous metals (copper, brass) using volatile inhibitors in agricultural production, mechanical engineering, and other fields.

Еще

Текст научной статьи Технология защиты черных и цветных металлов c использованием азотсодержащих органических соединений

МАШИНОСТРОЕНИЕ / MECHANICAL ENGINEERING

EDN:

Изделия из металлов под действием различных природных, физико-химических и биологических факторов корродируют и теряют свои потребительские качества. Выбор оптимального способа защиты металлов, зависящего от области применения изделия, позволяет значительно снизить материальный ущерб, вызванный коррозией [1; 2]. В настоящее время одним из распространенных методов защиты металлов от коррозии является использование ингибиторов [3–5]. Основное его преимущество - возможность значительного снижения коррозионного разрушения при наименьших затратах. Многочисленные исследования в области защиты металлов от коррозии связаны с поиском новых и изучением уже существующих ингибирующих составов.

Среди наиболее перспективных классов ингибиторов коррозии выделяются летучие ингибиторы коррозии (ЛИК) [6; 7], применение которых возможно при наличии изолированного защищаемого пространства. При переходе ЛИК в газообразное состояние его молекулы проникают в зазоры, недоступные другим видам ингибиторов, адсорбируются на поверхности металла и образуют защитную пленку, обеспечивающую замедление коррозионных процессов и, как следствие, защиту металлоизделия.

В качестве летучих ингибиторов коррозии металлов используются органические соединения различных классов: азотсодержащие (амины, азолы, нитросоединения), кислородсодержащие (спирты, сложные эфиры органических и неорганических кислот) и другие соединения [8].

Высокую антикоррозионную активность по отношению к черным и цветным металлам показали аминоспирты. Антикоррозионное действие таких производных спиртов можно объяснить образованием комплексных соединений между гетероатомами (азотом или кислородом) и ионом металла. Использование борных эфиров аминоспиртов позволяет также получать прочные хелатные комплексы. Это приводит к образованию на поверхности металла труднорастворимых защитных пленок, которые формируются за счет донорно-акцепторной связи между атомами азота и кислорода, с одной стороны, и атомом металла – с другой [9].

Взаимодействие этаноламинов с борной кислотой может приводить к большому количеству различных продуктов в зависимости от условий проведения реакции. В настоящем исследовании синтезирована серия веществ в результате взаимодействия этаноламина и борной кислоты, а также изучены антикоррозионные свойства новых ингибиторов коррозии на образцах из стали Ст3.

Цель исследования – разработать технологию синтеза летучих ингибиторов коррозии с использованием азотсодержащих органических соединений и провести оценку их защитной эффективности по отношению к черным и цветным металлам.

Задачи исследования:

  • 1)    разработать рецептуру летучего ингибитора коррозии;

  • 2)    оптимизировать концентрацию ингибитора в защищаемой среде;

  • 3)    определить защитную эффективность полученных ингибиторов.

ОБЗОР ЛИТЕРАТУРЫ

Один из наиболее перспективных классов ингибиторов коррозии – летучие ингибиторы [10; 11]. Их применение оправдано в случае наличия возможности частичной изоляции защищаемого пространства. Испаряясь при температуре окружающей среды, такие ингибиторы в виде паров достигают металла, адсорбируются на его поверхности и, насыщая конденсированные фазы, обеспечивают надежную защиту изделия. Пары летучего ингибитора коррозии проникают в щели и зазоры, недоступные контактным ингибиторам, обеспечивают торможение коррозионных процессов под слоями продуктов коррозии и отложений [12–14].

Началом проведения ежегодных симпозиумов по теме коррозионных разрушений и защите изделий от коррозия является 1960 г. [15]. В результате учеными были разработаны многие виды летучих ингибиторов, которые не имели недостатков предыдущих материалов и были способны замедлять анодные и катодные процессы коррозии [16; 17].

К настоящему времени уже выпущен огромный ряд безвредных для человека ингибиторов: VIBATAN Metal Antiox01792 – защищает от коррозии как черные, так и цветные металлы, используется для защиты металлических изделий, электронных и электротехнических их частей [18].

Наиболее распространенными летучими ингибиторами отечественного производства являются производные и соли алифатических, ароматических, циклических и гетероциклических аминов [19]: НДА, Г-2, КЦА, ИФХАН-100 и ВНХЛ-49, а также добавился целый ряд новых образцов: ВНХ-Л-20, Н-М1, ФМТ, ИФХАН-34, ИФХАН-67, ИФХАН-118, НДА, ХЦА, КЦА, СП-В, КПГ-ПК.

Ингибитор атмосферной коррозии Н-М-1 применяют для защиты металлов от атмосферной и биологической коррозии в процессе всей эксплуатации изделия в различных климатических условиях. К подобным ингибиторам также относится состав ВНХ-Л-20 [19]. Основное назначение средства – защита сложных металлических поверхностей и неметаллических материалов от биоповреждений. Его применяют внутри изолированного пространства для консервации, хранения и при транспортировке грузов на дальние расстояния.

ИФХАН-118 – универсальный ингибитор коррозии 4-го поколения, его применение на практике регламентируется ГОСТ 9.014-78 «ЕСЗКС. Временная противокоррозионная защита изделий. Общие требования» [20]. Эффективен при защите широкого спектра черных и цветных металлов (с покрытиями и без) в агрессивных атмосферах, а также для защиты железа, алюминия, меди, цинка, олова и их сплавов. Технология использования ингибитора зависит от конкретной задачи.

Анализ существующих аналогичных защитных материалов показал, что технической проблемой в данной сфере является необходимость расширения ассортимента антикоррозионных составов для защиты металлических поверхностей. Проведенные исследования по разработке состава и оценке его эффективности актуальны ввиду повышенных требований к коррозионной стойкости изделий из черных металлов в условиях высокой влажности и температуры, а также воздействия соляного тумана [20].

Полученное соединение при малой летучести образует достаточное давление насыщенного пара для эффективной защиты.

Разработанный состав ЛИК позволяет его применять в виде растворов, аэрозолей, а также на специальных носителях – силикагеле, оксиде алюминия, поропластах и др.

Несмотря на многочисленные публикации по изучаемой проблематике, до сих пор отсутствуют исследования по механизму защитного действия ингибиторов, не установлены зависимости защитного эффекта от количества функциональных групп. В данном исследовании проведен анализ получаемых продуктов конденсации этаноламинов и борной кислоты, представлена структурная формула полученного вещества, а также установлена зависимость защитной эффективности летучего ингибитора от количества функциональных групп. Потенциометрические исследования позволили описать механизм защитного действия ингибитора.

МАТЕРИАЛЫ И МЕТОДЫ

Химические материалы

В качестве химических материалов использованы сталь марки Ст3 по ГОСТ 380 -20051, борная кислота, этаноламин, NaCl.

Методы исследования

Синтез летучих ингибиторов коррозии

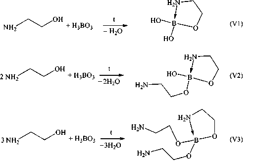
Синтез аминоэтилбората (V1). В колбе, снабженной термометром и прямым холодильником, 30,5 г (0,5 моль) этаноламина нагревали при перемешивании до 70 °С, после чего добавляли 31,0 г (0,5 моль) борной кислоты. Получившаяся смесь нагревалась до 130 °C, в ходе чего происходила реакция конденсации с выделением воды. Температуру реакционной смеси увеличили до 160 °С, вследствии чего была получена прозрачная однородная масса. Полученный продукт (V1) после охлаждения до комнатной температуры принял вид стеклянной твердости.

Синтез ди(аминоэтил)бората (V2). В колбе, снабженной термометром и прямым холодильником, 61,0 г (1,0 моль) этаноламина нагревали при перемешивании до 70 °С, затем добавляли 31,0 г (0,5 моль) борной кислоты. Смесь нагревали до 130 °C, в ходе чего происходила реакция конденсации с выделением воды. Температуру реакционной смеси увеличили до 160 °С, вследствие чего была получена прозрачная однородная масса. Полученный продукт (V2) после охлаждения до комнатной температуры принял вид прозрачной однородной жидкости (78,2 г) с аминовым числом 395,9 мгHCl/г.

Синтез три(аминоэтил)бората (V3). В колбе, снабженной термометром и прямым холодильником, 91,5 г (1,5 моль) этаноламина нагревали при перемешивании до 70 °С, затем добавляли 31,0 г (0,5 моль) борной кислоты. Смесь нагревали до 130 °C, в ходе чего происходила реакция конденсации с выделением воды. Температуру реакционной смеси поднимали до 160 °С, вследствие чего была получена прозрачная однородная масса. Полученный продукт (V3) после охлаждения до комнатной температуры принял вид прозрачной однородной жидкости (105,2 г) с аминовым числом 499,9 мгHCl/г.

Электрохимические исследования

Образцы рабочих электродов из стали Ст3 механически и химически (раствор C2H5OH в 3 %-м HNO3) полировались с последующим обезжириванием в смеси ацетона и этилового спирта. Площадь рабочего электрода составляла 0,785 см2.

Электрохимические исследования выполнялись на потенциостате PGSTAT302N с трехэлектродной системой: рабочий электрод был изготовлен из исследуемого материала (сталь Cт3); в качестве электрода сравнения применяли хлорсеребряный электрод, помещенный в капилляр Габера – Луггина (рис. 1); противоэлектродиз из нержавеющей стали. В качестве фонового раствора использовался 0,1 моль/л раствор NaCl. Диапазон сканирующего потенциала, рассчитанный по хлорсеребряному электроду сравнения, составляет от -0,5 до +0,5 В; скорость сканирования - 0,25 В/с; время погружения образца перед измерением - 300 с, что регламентируется ГОСТ 9.509-892. Температура во всех измерениях была постоянной t = 25 °С. Параметры коррозии стали Ст3 рассчитывались методом тафелевской экстраполяции с использованием программного обеспечения NOVA 2.1.

Р и с. 1. Рабочий электрод (сталь Ст3) и держатель рабочего электрода

F i g. 1. Working electrode (St3 steel) and working electrode holder

Источник: рисунки составлены авторами статьи в программе AdobePhotoshop.

Source: the figures were created by the authors of the article using Adobe Photoshop.

Степень защиты ( Z , %) определяли по формуле [21]:

Z = 1 1 - — 1- 100 , — 0 )

где K 0 – скорость коррозии стали Ст3 в фоновом растворе в отсутствии ингибитора, мм/г; К – скорость коррозии стали Ст3 в фоновом растворе в присутствии ингибитора, мм/г.

Коэффициент торможения γ рассчитывали по формуле:

K

.

Антикоррозионное ускоренное испытание

Испытательные пластинки из стали Ст3 с площадью поверхности (50,0 × 50,0) ± 0,2 мм, толщиной 3,0–3,5 мм зачищали наждачной бумагой, промывали в спирте, ацетоне и высушивали. Образцы подвешивали вертикально на штативах из нержавеющей стали так, чтобы расстояние между ними составляло не менее 10 мм и не менее 100 мм от дна банки, а испытательный штатив помещали в банку-эксикатор с плотной крышкой.

Образцы летучих ингибиторов коррозии помещали в колбу, концентрация ингибитора составляла 100…300 г/м3. Испытания проводили в течение трех дней при температуре 25 оС для обеспечения адсорбции ингибитора на поверхности исследуемых образцов. Контрольный образец был также обработан ЛИК, но в колбу не помещался.

Относительная влажность в колбе составила 100 % (относительную влажность поддерживали добавлением на дно колбы дистиллированной воды в объеме 1/100 колбы). Исследования проводили в 20 циклов, длительность одного цикла составляла 24 ч. При начале каждого цикла в первые 7 ч камеру нагревали до 40 ± 2 °С. Далее камера остывала до комнатной температуры (25 ± 2 °С). Образцы выдерживались при данной температуре в течение последующих 17 ч для конденсации влаги на исследуемых образцах.

После окончания периода испытаний (20 циклов) образец вынимали из испытательного сосуда, промывали этанолом, ацетоном и сушили.

РЕЗУЛЬТАТЫ ИССЛЕДОВАНИЯ

Результаты синтеза ингибиторов

Взаимодействие этаноламина с борной кислотой может приводить к образованию различных продуктов, что зависит от соотношения исходных реагентов и условий проведения реакции (рис. 2).

При нагревании происходит конденсация борной кислоты и этаноламина с выделением воды. Строение образующихся эфиров борной кислоты зависит от соотношения исходных реагентов. При проведении реакции в мольном соотношении 1:1, 2:1 и 3:1 образуются аминоэтилборат, ди(аминоэтил)борат и три(аминоэтил) борат соответственно (рис. 2); в мольном соотношении 1:1 – аминоэтилборат (V1) в виде стеклянной твердости, не обладающей летучестью, поэтому рассматривать их в качестве летучих ингибиторов коррозии было нецелесообразно.

Р и с. 2. Взаимодействие этаноламина с борной кислотой в различных мольных соотношениях

F i g. 2. Interaction of ethanolamine with boric acid in various molar ratios

Источник: рисунок составлен авторами статьи.

Source: the diagram was compiled by the authors of the article.

По результатам проведенных электрохимических и ускоренных испытаний были рассчитаны скорость коррозии, степень защиты и коэффициент торможения.

Результаты электрохимических исследований

Сравнение защитной способности различных ингибиторов

Для сравнения защитной способности ингибиторов электрохимическом методом были взяты образцы ингибиторов V1, V2, V3 в одной концентрации 2,0 % в фоновом 0,1 моль/л растворе NaCl. Результаты исследования представлены на рисунке 3 и в таблице 1.

Потенциометрическое исследование показало, что присутствие в 0,1 моль/л растворе NaCl ингибитора ускоряют катодную и сильно замедляют анодную реакции, при этом потенциал коррозии смещается в положительную сторону. Mechanical engineering                                                                   613

Таким образом, ингибиторы V1 , V2 , V3 по характеру защитного действия являются соответственно анодными. Наблюдаемый синергетический эффект ингибиторов можно объяснить их воздействием на анодные участки. Анодные ингибиторы – доноры электронов по отношению к металлу, уменьшают энергию выхода электрона из металла. Данный ингибитор образует хемосорбционные соединения прежде всего на положительно заряженных электроноакцепторных участках, т. е. на анодных участках корродирующего металла.

Р и с. 3. Поляризационные кривые на стали Ст3 при различных ингибиторах:

1 – фоновый раствор; 2 – V1; 3 – V2; 4 – V3

F i g. 3. Polarization curves on St3 steel with using different inhibitors:

1 – background solution; 2 – V1; 3 – V2; 4 – V3

Источник: рисунки 3, 4 составлены авторами статьи в программе Nova 2.1.

Source: the figures 3, 4 were created by the authors of the article using the Nova 2.1 program.

Примечание: ингибиторы V1, V2 и V3 в одинаковой концетрации 2 %.

Note: V1, V2 and V3 inhibitors at the concentration of 2%.

Т а б л и ц а 1

T a b l e 1

Параметры коррозии стали Ст3 в 0,1 моль/л растворе NaCl в зависимости от различных ингибиторов

Corrosion parameters of St3 steel in a 0.1 mol/l NaCl solution depending on various inhibitors

Ингибитор / Inhibitor

1 b a l V/ dec

| b j, V/dec

- E , corr мВ / mB

i , corr µA/см2 / A/cm2

К, мм/г/ mm/g

Z , %

γ

1

*

0,280

0,101

808

93,508

0,6168

2

V1

0,477

0,141

571

31,198

0,2058

66,640

3,000

3

V2

0,197

0,096

473

26,925

0,1776

71,210

3,470

4

V3

0,220

0,096

458

22,821

0,1505

75,590

4,100

Примечание: * - контрольный опыт в фоновом растворе; V2 - ингибитор 2; V3 - ингибитор 3. Note: * - control experiment in the background solution; V2 - inhibitor 2; V3 - inhibitor 3.

614                                                              Машиностроение

Наблюдается увеличение ингибирования коррозии в следующем порядке: моноэтаноламин < ди(аминоэтил)борат < три(аминоэтил)борат. Ингибитор V3 обеспечивает наиучшее торможение процесса коррозии происходит при использовании, что согласуется с ускоренными испытаниями. Как видно из поляризационных кривых, такой ингибитор перемещает потенциал в положительную сторону (ΔEcorr = 350мВ), по сравнению с Ecorr в фоновом растворе.

Исследования защитной способности ингибитора V3 при различных концентрациях

Для исследования были взяты ингибитор V3 в диапазоне концентрации 0,5 ^ 3,0 % в 0,1 моль/л фоновом растворе NaCl. Результаты исследования представлены на рисунке 4, 5 и в таблице 2.

Р и с. 4. Электрохимические исследования стали Ст3 при различных концентрациях ингибитора V3:

1 – фоновый раствор; 2 – 0,5 %; 3 – 1,0 %; 4 – 1,5 %; 5 – 2,0 %; 6 – 3,0 %

F i g. 4. Electrochemical studies of St3 steel at various concentrations of V3 inhibitor:

1 – background solution; 2 – 0.5%; 3 – 1.0%; 4 – 1.5%; 5 – 2.0%; 6 – 3.0%

Т а б л и ц а 2

T a b l e 2

Параметры коррозии стали Ст3 в 0,1 моль/л растворе NaCl в зависимости от различных концентраций ингибитора V3

St3 steel сcorrosion parameters in a 0.1 mol/l NaCl solution, depending on different concentrations of the V3 inhibitor

Концентрация, % / Concentration, %

I ba\, V/dec

I b c I, V/dec

E , corr

мВ / mB

icorr , µA/см2 / A/cm2

К, мм/г / mm/g

Z , %

γ

1

0,0

0,280

0,101

808

93,508

0,6168

2

0,5

0,203

0,136

648

46,526

0,3069

50,24

2,01

3

1,0

0,193

0,132

588

42,247

0,2787

54,82

2,21

4

1,5

0,197

0,126

561

35,478

0,2340

62,06

2,64

5

2,0

0,220

0,096

458

22,821

0,1505

75,59

4,10

6

3,0

0,226

0,092

452

22,348

0,1474

76,10

4,18

Потенциометрическое исследование показало, что присутствие в 0,1 моль/л растворе NaCl ингибитора V3 при концентрации от 0,5 до 3 % ускоряет катодную и сильно замедляют анодную реакции, потенциал коррозии смещается при этом в положительную сторону. Защитная способность стали СтЗ от коррозии постепенно значительно увеличивается с концентрацией V3 от 0,5 до 2,0 % и достигает 75,59 % при концентрации 2 %; при концентрации V3 более 2 % защитная способность незначительно увеличивается. Это обусловлено тем, что при концентрации 2 % поверхность металлического образца практически полностью покрывается ингибитором. Дальнейшее повышение концентрации не приводит к значительному увеличению уровня покрытия стальной поверхности.

Р и с. 5. Изображение поверхности рабочего электрода стали Ст3 после электрохимического исследования при различных концентрациях V3: a) контроль; b) 0,5 %; c) 1,0 %; d) 1,5 %; e) 2,0 %; f) 3,0 %

F i g. 5. Image of the surface of the St3 steel working electrode after electrochemical testing at various concentrations of V3: a) control; b) 0.5%; c) 1.0%; d) 1.5%; e) 2.0%; f) 3.0%

Источник : фотографии для рисунков 5, 6 сделаны С. М. Гайдаром в Тропическом центре Социалистической Республики Вьетнам (10.12.2024 г.).

Source : the photos for figures 5 and 6 were taken during the study of S. M. Gaidar at the SVR Center on December 10, 2024.

Результаты испытаний методом ускоренного испытания на воздействие тепла и влаги с конденсацией влаги

Защитная способность от коррозии стали Ст3 ингибитором V3 при 100, 200, 300 г/м3 концентраций определялась методом ускоренных испытаний на воздействие тепла и влаги с конденсацией влаги.

Р и с. 6. Внешний вид образцов из стали Ст3 после ускоренных испытаний при различных концентрациях V3:

a) контроль; b) 100 г/м3; c) 200 г/м3; d) 300 г/м3

F i g. 6. Appearance of St3 steel samples after accelerated test at different V3 concentrations:

  • a) control; b) 100 g/m3; c) 200 g/m3; d) 300 g/m3

Результаты визуальной оценки показали, что на поверхности контрольных образцов появились первые признаки коррозии после двух циклов испытаний, после 20 циклов испытаний на поверхности образцов (рис. 6 а) образовались коррозионные пятна, коррозионные раковины, помутнение и потеря блеска; на поверхности испытуемых образцов при 100 г/м3 концентрации V3 первые очаги коррозионного разрушения начали проявляться после 12 циклов, далее по окончании 20 циклов испытаний на образцах новых очагов не зафиксировано (рис. 6 b); на поверхности испытуемых образцов при 200 и 300 г/м3 концентрации V3 после 20 циклов испытаний нет признаков коррозии (рис. 6 c, d).

ОБСУЖДЕНИЕ И ЗАКЛЮЧЕНИЕ

Разработаны методики получения летучих ингибиторов коррозии черных металлов на основе этаноламина и борной кислоты, взятых в различных мольных соотношениях. Установлено, что наилучшую эффективность проявляет ингибитор, представляющий собой три(аминоэтил)борат (V3). Наибольший защитный эффект данное соединение показало в отношении стали Ст3.

Электрохимическая оценка защитной эффективности ЛИК на основе измерения поляризационных кривых в присутствии одного стимулятора коррозии коррелирует с результатами гравиметрических коррозионных испытаний. Высокая защитная эффективность позволяет применять полученный ингибитор для консервации изделий из черных и цветных металлов.

Несмотря на обширность рынка ингибиторов, создание новых защитных материалов не прекращается. Основной упор делается на универсальность защиты от атмосферной и микробиологической коррозии, а также на применение с широким спектром материалов и максимальным сроком действия. В связи с этим разработка новых современных составов, а также проведение лабораторных и натурных испытаний по определению их физико-химических и эксплуатационных свойств в условиях различного климата остается актуальным на сегодняшний день.